Preparation and Investigation of High Surface Area Aerogels from Crosslinked Polypropylenes
Abstract
1. Introduction
2. Experimental Section
2.1. Materials
2.2. Characterization
2.3. Typical Procedure for the Synthesis of Crosslinked PP Materials
2.4. Typical Gelation Procedure
2.5. Drying
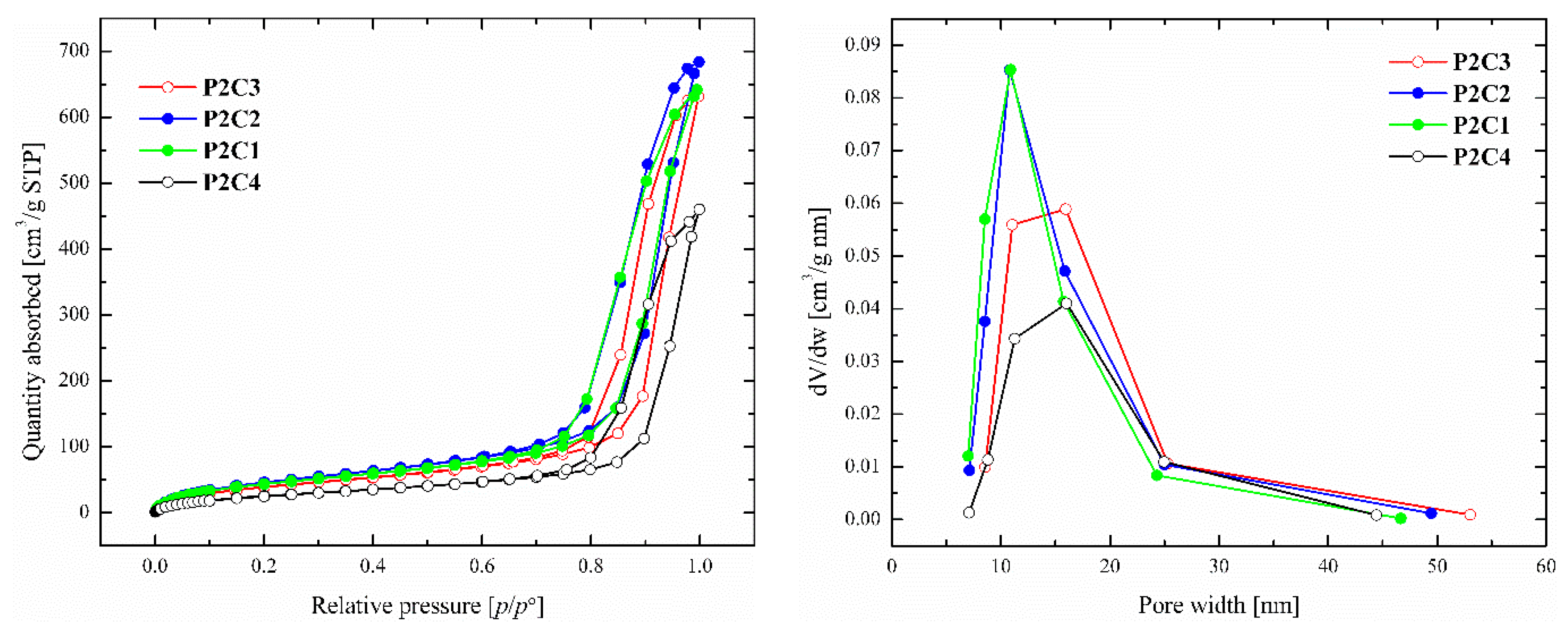
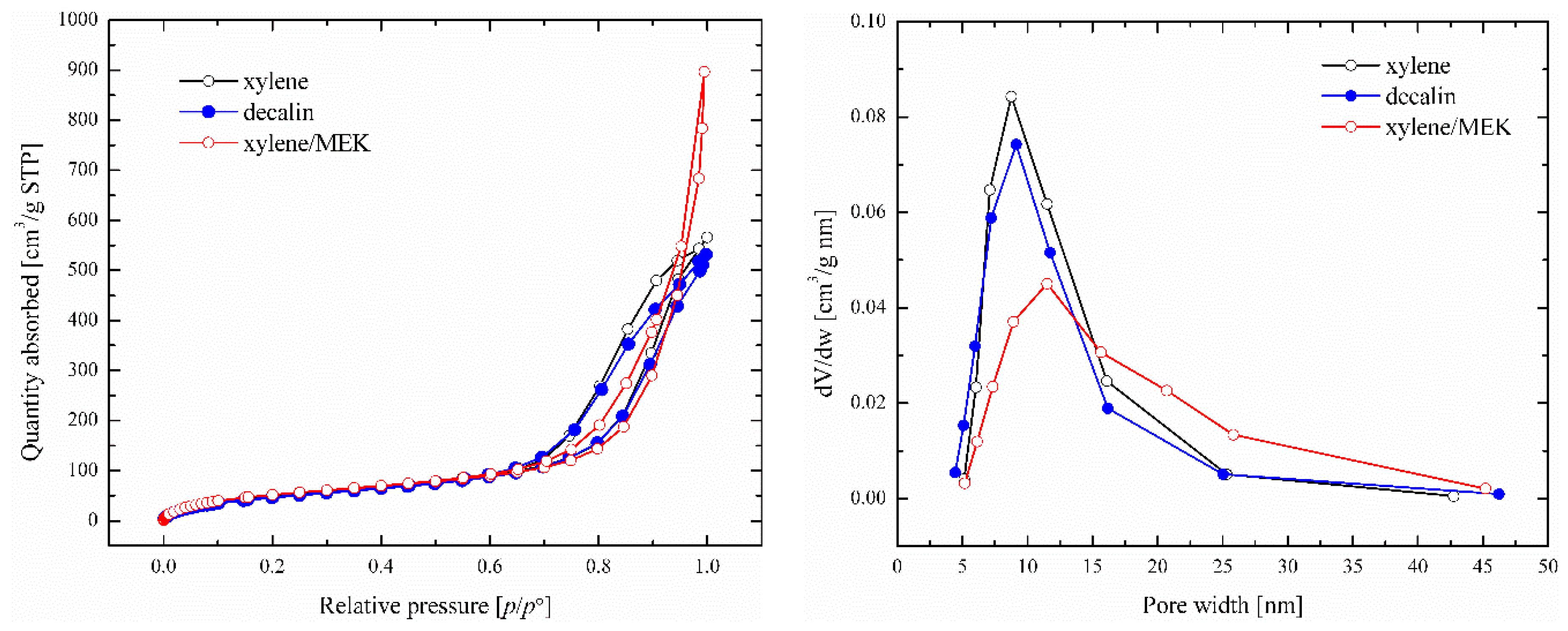
3. Results and Discussion
4. Conclusions
Supplementary Materials
Author Contributions
Funding
Institutional Review Board Statement
Data Availability Statement
Acknowledgments
Conflicts of Interest
References
- Maleki, H.; Durães, L.; García-González, C.A.; del Gaudio, P.; Prtugal, A.; Mahmoudi, M. Synthesis and biomedical applications of aerogels: Possibilities and challenges. Adv. Colloid Interface Sci. 2016, 236, 1–27. [Google Scholar] [CrossRef]
- Moreno-Castilla, C.; Maldonado-Hódar, F.J. Carbon aerogels for catalysis applications: An overview. Carbon 2005, 43, 455–465. [Google Scholar] [CrossRef]
- Wang, R.; Li, G.; Dong, Y.; Chi, Y.; Chen, G. Carbon Quantum Dot-Functionalized Aerogels for NO2 Gas Sensing. Anal. Chem. 2013, 85, 8065–8069. [Google Scholar] [CrossRef] [PubMed]
- Yang, J.; Zhang, E.; Li, X.; Zhang, Y.; Qu, J.; Yu, Z.-Z. Cellulose/graphene aerogel supported phase change composites with high thermal conductivity and good shape stability for thermal energy storage. Carbon 2016, 98, 50–57. [Google Scholar] [CrossRef]
- Ferreira-Gonçalves, T.; Constantin, C.; Neagu, M.; Reis, C.P.; Sabri, F.; Simón-Vázquez, R. Safety and efficacy assessment of aerogels for biomedical applications. Biomed. Pharmocother. 2021, 144, 112356. [Google Scholar] [CrossRef] [PubMed]
- Kistler, S.S. Coherent Expanded Aerogels and Jellies. Nature 1931, 127, 741. [Google Scholar] [CrossRef]
- Shea, K.J.; Loy, D.A. Bridged Polysilsesquioxanes. Molecular-EngineeredHybrid Organic-Inorganic Materials. Chem. Mater. 2001, 13, 3306–3319. [Google Scholar] [CrossRef]
- Yun, S.; Luo, H.; Gao, Y. Low-density, hydrophobic, highly flexible ambient-pressure-dried monolithic bridged silsesquioxane Aerogels. J. Mater. Chem. A 2015, 3, 3390–3398. [Google Scholar] [CrossRef]
- Rao, A.V.; Bhagat, S.D.; Hirashima, H.; Pajonk, G.M. Synthesis of flexible silica aerogels using methyltrimethoxysilane (MTMS) precursor. J. Colloid Interface Sci. 2006, 300, 279–285. [Google Scholar]
- Guo, B.-F.; Wang, Y.-J.; Qu, Z.-H.; Yang, F.; Qin, Y.-Q.; Li, Y.; Zhang, G.-D.; Gao, J.-F.; Shi, Y.; Song, P.; et al. Hydrosilylation Adducts to Produce Wide-Temperature Flexible Polysiloxane Aerogel under Ambient Temperature and Pressure Drying. Small 2023, 20, 2309272. [Google Scholar] [CrossRef]
- Zhang, Z.-H.; Chen, Z.-Y.; Tang, Y.-H.; Li, Y.-T.; Ma, D.; Zhang, G.-D.; Boukherroub, R.; Cao, C.-F.; Gong, L.-X.; Song, P.; et al. Silicone/graphene oxide co-cross-linked aerogels with wide-temperature mechanical flexibility, super-hydrophobicity and flame resistance for exceptional thermal insulation and oil/water separation. J. Mater. Sci. Technol. 2022, 114, 131–142. [Google Scholar] [CrossRef]
- Pekala, R.W. Organic aerogels from the polycondensation of resorcinol with formaldehyde. J. Mater. Sci. 1989, 24, 3221–3227. [Google Scholar] [CrossRef]
- Cashman, J.L.; Nquyen, B.N.; Dosa, B.; Meador, M.A.B. Flexible Polyimide Aerogels Derived from the Use of a Neopentyl Spacer in the Backbone. ACS Appl. Polym. Mater. 2020, 2, 2179–2189. [Google Scholar] [CrossRef]
- Meador, M.A.B.; Wright, S.; Sandberg, A.; Nguyen, B.N.; Van Keuls, F.W.; Mueller, C.H.; Rodríguez-Solís, R.; Miranda, F.A. Low Dielectric Polyimide Aerogels as Substrates for Lightweight Patch Antennas. ACS App. Mater. Interfaces 2012, 4, 6346–6353. [Google Scholar] [CrossRef] [PubMed]
- Meador, M.A.B.; McMillon, E.; Sandberg, A.; Barrios, E.; Wilmoth, N.G.; Mueller, C.H.; Miranda, F.A. Dielectric and Other Properties of Polyimide Aerogels Containing Fluorinated Blocks. ACS Appl. Mater. Interfaces 2014, 6, 6062–6068. [Google Scholar] [CrossRef] [PubMed]
- Guo, H.; Meador, M.A.B.; McCorkle, L.; Quade, D.J.; Guo, J.; Hamilton, B.; Cakmak, M. Tailoring Properties of Cross-Linked Polyimide Aerogels for Better Moisture Resistance, Flexibility, and Strength. ACS Appl. Mater. Interfaces 2012, 4, 5422–5429. [Google Scholar] [CrossRef]
- Pantoja, M.; Boynton, N.; Cavicchi, K.A.; Dosa, B.; Cashman, J.L.; Meador, M.A.B. Increased Flexibility in Polyimide Aerogels Using Aliphatic Spacers in the Polymer Backbone. ACS Appl. Mater. Interfaces 2019, 11, 9425–9437. [Google Scholar] [CrossRef] [PubMed]
- Leventis, N.; Sotiriou-Leventis, C.; Mohite, D.P.; Larimore, Z.J.; Mang, J.T.; Churu, G.; Lu, H. Polyimide Aerogels by Ring-Opening Metathesis Polymerization (ROMP). Chem. Mater. 2011, 23, 2250–2261. [Google Scholar] [CrossRef]
- Bang, A.; Buback, C.; Sotiriou-Leventis, C.; Leventis, N. Flexible Aerogels from Hyperbranched Polyurethanes: Probing the Role of Molecular Rigidity with Poly(Urethane Acrylates) Versus Poly(Urethane Norbornenes). Chem. Mater. 2014, 26, 6979–6983. [Google Scholar] [CrossRef]
- Shinko, A.; Jana, S.C.; Meador, M.A. Crosslinked polyurea-co-polyurethane aerogels with hierarchical structures and low stiffness. J. Non Cryst. Solids 2018, 487, 19–27. [Google Scholar] [CrossRef]
- Chidambareswarapattar, C.; McCarver, P.M.; Luo, H.; Lu, H.; Sotiriou-Leventis, C.; Leventis, N. Fractal Multiscale Nanoporous Polyurethanes: Flexible to Extremely Rigid Aerogels from Multifunctional Small Molecules. Chem. Mater. 2013, 25, 3024–3205. [Google Scholar] [CrossRef]
- Donthula, S.; Mandal, C.; Leventis, T.; Schisler, J.; Saeed, A.M.; Sotiriou-Leventis, C.; Leventis, N. Shape Memory Superelastic Poly(isocyanurate-urethane) Aerogels (PIR-PUR) for Deployable Panels and Biomimetic Applications. Chem. Mater. 2017, 29, 4461–4477. [Google Scholar] [CrossRef]
- Erbil, H.Y.; Demirel, A.L.; Avci, Y.; Mert, O. Transformation of a Simple Plastic into a Superhydrophobic Surface. Science 2003, 299, 1377–1380. [Google Scholar] [CrossRef] [PubMed]
- Lin, Y.K.; Chen, G.; Yang, J.; Wang, X.L. Formation of isotactic polyprolylene membranes with bicontinuous structure and good strength via thermally induced phase separation method. Desalination 2009, 236, 8–15. [Google Scholar] [CrossRef]
- Lang, X.H.; Zhu, T.Y.; Zou, L.; Prakashan, K.; Zhang, Z.X. Fabrication and characterization of polypropylene aerogel coated hybrid materials for oil-water separation applications. Prog. Org. Coat. 2019, 137, 105370. [Google Scholar] [CrossRef]
- Hong, H.; Pan, Y.; Sun, H.; Zhu, Z.; Ma, C.; Wang, B.; Liang, W.; Yang, B.; Li, A. Superwetting polypropylene aerogel supported form-stable phase change materials with extremely high organics loading and enhanced thermal conductivity. Sol. Energy Mater. Sol. Cells 2018, 174, 307–313. [Google Scholar] [CrossRef]
- Wang, G.; Uyama, H. Facile synthesis of flexible microporous polypropylene sponges for separation of oil and water. Sci. Rep. 2016, 6, 21265–21270. [Google Scholar] [CrossRef]
- Saleem, J.; Moghal, Z.K.B.; McKay, G. Designing super-fast trimodal sponges using recycled polypropylene for organics cleanup. Sci. Rep. 2023, 13, 14163–14174. [Google Scholar] [CrossRef] [PubMed]
- Choi, H.; Parale, V.G.; Lee, K.-Y.; Nah, H.-Y.; Driss, Z.; Driss, D.; Bouabidi, A.; Euchy, S.; Park, H.-H. Polypropylene/Silica Aerogel Composite Incorporating a Conformal Coating of Methyltrimethoxysilane-Based Aerogel. J. Nanosci. Nanotehnol. 2019, 19, 1376–1381. [Google Scholar] [CrossRef]
- Yoda, S.; Takeshita, S.; Ono, T.; Tada, R.; Ota, H. Development of a New Silica Aerogel-Polypropylene Foam Composite as a Highly Flexible Thermal Insulation Material. Front. Mater. 2021, 8, 674846. [Google Scholar] [CrossRef]
- Othman, N.; Harruddin, N.; Idris, A.; Ooi, Z.-Y.; Fatiha, N.; Norimie, R.; Sulaiman, R. Fabrication of polypropylene membrane via thermally induced phase separation as a support matrix of tridodecylamine supported liquid membrane for red 3BS dye removal. Desalin. Water Treat. 2015, 57, 12287. [Google Scholar] [CrossRef]
- Létoffé, A.; García-Rodríguez, S.M.; Hoppe, S.; Canilho, N.; Godard, O.; Pasc, A.; Royaud, I.; Ponçot, M. Switching from brittle to ductile isotactic polypropylene-g-maleic anhydride by crosslinking with capped-end polyether diamine. Polymer 2019, 164, 67–78. [Google Scholar] [CrossRef]
- Létoffé, A.; Hoppe, S.; Lainé, R.; Canilho, N.; Pasc, A.; Rouxel, D.; Riobóo, R.J.J.; Hupont, S.; Royaud, I.; Ponçot, M. Resilience improvement of an isotactic polypropylene-g-maleic anhydride by crosslinking using polyether triamine agents. Polymer 2019, 179, 121655. [Google Scholar] [CrossRef]
- Männle, F.; Tofteberg, T.R.; Skaugen, M.; Bu, H.; Peters, T.; Dietzel, P.D.C.; Pilz, M. Polymer nanocomposite coatings based on polyhedral oligosilsesquioxanes: Route for industrial manufacturing and barrier properties. J. Nanopart. Res. 2011, 13, 4691–4701. [Google Scholar] [CrossRef]
- Kruk, M.; Jaroniec, M. Gas Absorption Characterization of Ordered Organic-Inorganic Nanocomposite Materials. Chem. Mater. 2001, 13, 3169–3183. [Google Scholar] [CrossRef]









| Polymer | Crosslinker | Specific Surface Area [m2/g] | Pore Volume [cm3/g] | Average Pore Width [nm] |
|---|---|---|---|---|
| P1 | C2 | 216/163 a | 1.17/0.71 a | 13/11 a |
| P1 | C3 | 38 | 0.30 | 14 |
| P1 | C4 | 10 | 0.06 | 15 |
| P2 | C1 | 173 | 0.99 | 11 |
| P2 | C2 | 185 | 1.04 | 14 |
| P2 | C3 | 154 | 0.97 | 16 |
| P2 | C4 | 102 | 0.68 | 16 |
| P3 | C2 | <1 | 0.0004 | 6 |
| P3 | C3 | 13 | 0.01 | 3 |
| Molar Ratio of C5 [%] a | Solvent | Quenching Temperature [°C] | Specific Surface Area [m2/g] | Pore Volume [cm3/g] | Average Pore Width [nm] |
|---|---|---|---|---|---|
| 30 | xylene | 25 | 192 | 0.76 | 11 |
| 50 | xylene | 25 | 198/203 b | 0.84/0.88 b | 11/11 b |
| 50 | xylene | 4 | 193 | 0.78 | 11 |
| 50 | xylene | 80 | 200 | 0.87 | 11 |
| 50 | decalin | 25 | 185 | 0.80 | 12 |
| 50 | xylene/MEK c | 25 | 206/67 d | 1.39/0.44 d | 21/12 d |
Disclaimer/Publisher’s Note: The statements, opinions and data contained in all publications are solely those of the individual author(s) and contributor(s) and not of MDPI and/or the editor(s). MDPI and/or the editor(s) disclaim responsibility for any injury to people or property resulting from any ideas, methods, instructions or products referred to in the content. |
© 2024 by the authors. Licensee MDPI, Basel, Switzerland. This article is an open access article distributed under the terms and conditions of the Creative Commons Attribution (CC BY) license (https://creativecommons.org/licenses/by/4.0/).
Share and Cite
Coufal, R.; Fijalkowski, M.; Adach, K.; Bu, H.; Karl, C.W.; Mikysková, E.; Petrík, S. Preparation and Investigation of High Surface Area Aerogels from Crosslinked Polypropylenes. Polymers 2024, 16, 1382. https://doi.org/10.3390/polym16101382
Coufal R, Fijalkowski M, Adach K, Bu H, Karl CW, Mikysková E, Petrík S. Preparation and Investigation of High Surface Area Aerogels from Crosslinked Polypropylenes. Polymers. 2024; 16(10):1382. https://doi.org/10.3390/polym16101382
Chicago/Turabian StyleCoufal, Radek, Mateusz Fijalkowski, Kinga Adach, Huaitian Bu, Christian W. Karl, Eliška Mikysková, and Stanislav Petrík. 2024. "Preparation and Investigation of High Surface Area Aerogels from Crosslinked Polypropylenes" Polymers 16, no. 10: 1382. https://doi.org/10.3390/polym16101382
APA StyleCoufal, R., Fijalkowski, M., Adach, K., Bu, H., Karl, C. W., Mikysková, E., & Petrík, S. (2024). Preparation and Investigation of High Surface Area Aerogels from Crosslinked Polypropylenes. Polymers, 16(10), 1382. https://doi.org/10.3390/polym16101382

