Examining the Water–Polymer Interactions in Non-Isocyanate Polyurethane/Polyhedral Oligomeric Silsesquioxane Hybrid Hydrogels
Abstract
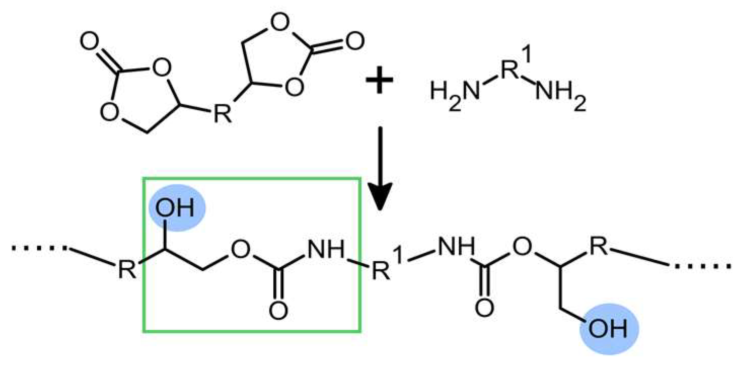
:1. Introduction
2. Materials and Methods
2.1. Materials
2.2. Specimen Conditioning
2.3. Analysis of Equilibrium Sorption Isotherms
2.4. Fourier Transform Infrared Spectroscopy (FTIR)
2.5. Differential Scanning Calorimetry (DSC)
3. Results and Discussion
3.1. Water Uptake and Equilibrium Sorption Isotherms
3.2. Water Influence on Carbonyl Region—FTIR
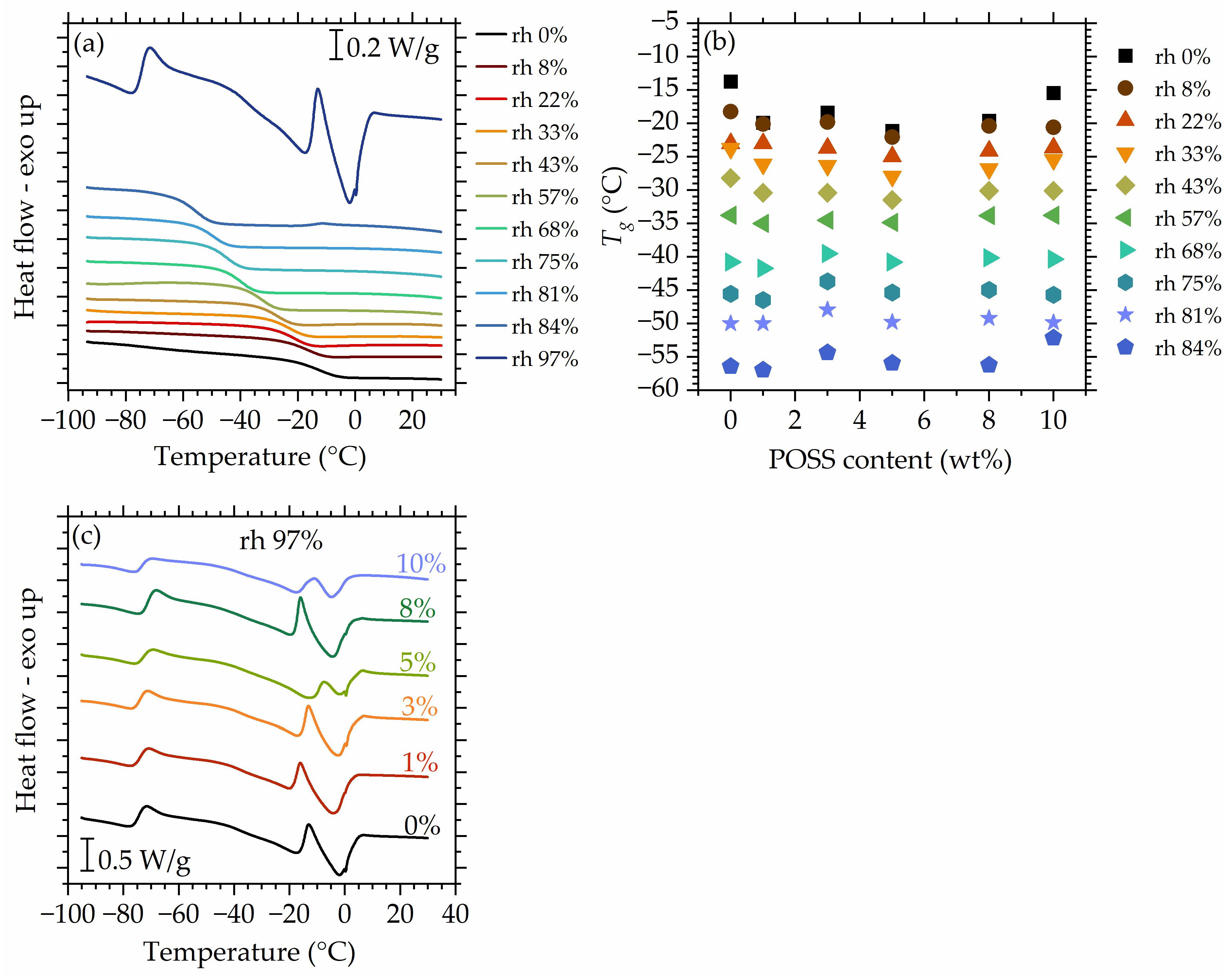
3.3. Influence of Absorbed Water on Glass Transition Temperature
4. Conclusions
Author Contributions
Funding
Institutional Review Board Statement
Data Availability Statement
Acknowledgments
Conflicts of Interest
References
- Gomez-Lopez, A.; Elizalde, F.; Calvo, I.; Sardon, H. Trends in Non-Isocyanate Polyurethane (NIPU) Development. Chem. Commun. 2021, 57, 12254–12265. [Google Scholar] [CrossRef] [PubMed]
- Khatoon, H.; Iqbal, S.; Irfan, M.; Darda, A.; Rawat, N.K. A Review on the Production, Properties and Applications of Non-Isocyanate Polyurethane: A Greener Perspective. Prog. Org. Coatings 2021, 154, 106124. [Google Scholar] [CrossRef]
- Stachak, P.; Łukaszewska, I.; Hebda, E.; Pielichowski, K. Recent Advances in Fabrication of Non-Isocyanate Polyurethane-Based Composite Materials. Materials 2021, 14, 3497. [Google Scholar] [CrossRef] [PubMed]
- Gennen, S.; Grignard, B.; Thomassin, J.M.; Gilbert, B.; Vertruyen, B.; Jerome, C.; Detrembleur, C. Polyhydroxyurethane Hydrogels: Synthesis and Characterizations. Eur. Polym. J. 2016, 84, 849–862. [Google Scholar] [CrossRef]
- Zhang, K.; Nelson, A.M.; Talley, S.J.; Chen, M.; Margaretta, E.; Hudson, A.G.; Moore, R.B.; Long, T.E. Non-Isocyanate Poly(Amide-Hydroxyurethane)s from Sustainable Resources. Green Chem. 2016, 18, 4667–4681. [Google Scholar] [CrossRef]
- Radzi, A.M.; Sapuan, S.M.; Jawaid, M.; Mansor, M.R. Water Absorption, Thickness Swelling and Thermal Properties of Roselle/Sugar Palm Fibre Reinforced Thermoplastic Polyurethane Hybrid Composites. J. Mater. Res. Technol. 2019, 8, 3988–3994. [Google Scholar] [CrossRef]
- Atiqah, A.; Jawaid, M.; Ishak, M.R.; Sapuan, S.M. Moisture Absorption and Thickness Swelling Behaviour of Sugar Palm Fibre Reinforced Thermoplastic Polyurethane. Procedia Eng. 2017, 184, 581–586. [Google Scholar] [CrossRef]
- Xu, D.H.; Liu, F.; Pan, G.; Zhao, Z.G.; Yang, X.; Shi, H.C.; Luan, S.F. Softening and Hardening of Thermal Plastic Polyurethane Blends by Water Absorbed. Polymer 2021, 218, 123498. [Google Scholar] [CrossRef]
- Guan, J.; Song, Y.; Lin, Y.; Yin, X.; Zuo, M.; Zhao, Y.; Tao, X.; Zheng, Q. Progress in Study of Non-Isocyanate Polyurethane. Ind. Eng. Chem. Res. 2011, 50, 6517–6527. [Google Scholar] [CrossRef]
- Kathalewar, M.S.; Joshi, P.B.; Sabnis, A.S.; Malshe, V.C. Non-Isocyanate Polyurethanes: From Chemistry to Applications. RSC Adv. 2013, 3, 4110–4129. [Google Scholar] [CrossRef]
- Wang, X.; Soucek, M.D. Investigation of Non-Isocyanate Urethane Dimethacrylate Reactive Diluents for UV-Curable Polyurethane Coatings. Prog. Org. Coatings 2013, 76, 1057–1067. [Google Scholar] [CrossRef]
- Bourguignon, M.; Thomassin, J.; Grignard, B.; Vertruyen, B.; Detrembleur, C. Water-Borne Isocyanate-Free Polyurethane Hydrogels with Adaptable Functionality and Behavior. Macromol. Rapid Commun. 2021, 42, 2000482. [Google Scholar] [CrossRef] [PubMed]
- Fanjul-Mosteirín, N.; Aguirresarobe, R.; Sadaba, N.; Larrañaga, A.; Marin, E.; Martin, J.; Ramos-Gomez, N.; Arno, M.C.; Sardon, H.; Dove, A.P. Crystallization-Induced Gelling as a Method to 4D Print Low-Water-Content Non-Isocyanate Polyurethane Hydrogels. Chem. Mater. 2021, 33, 7194–7202. [Google Scholar] [CrossRef] [PubMed]
- Aduba, D.C.; Zhang, K.; Kanitkar, A.; Sirrine, J.M.; Verbridge, S.S.; Long, T.E. Electrospinning of Plant Oil-Based, Non-Isocyanate Polyurethanes for Biomedical Applications. J. Appl. Polym. Sci. 2018, 135, 46464. [Google Scholar] [CrossRef]
- Hogör, Z.; Kayaman-Apohan, N.; Karata, S.; Mencelolu, Y.; Güngör, A. Preparation and Characterization of Phosphine Oxide Based Polyurethane/Silica Nanocomposite via Non-Isocyanate Route. Prog. Org. Coatings 2010, 69, 366–375. [Google Scholar] [CrossRef]
- Santos, J.J.; Lopes, J.H.; de Aguiar, K.M.F.R.; Simões, M.B.; M.´Peko, J.-C.; Jasinevicius, R.G.; Cavalheiro, E.T.; Imasato, H.; Rodrigues-Filho, U.P. Hybrid Bisphenol A Non-Isocyanate Polyurethane Composite with Mica Powder: A New Insulating Material. J. CO2 Util. 2023, 67, 102303. [Google Scholar] [CrossRef]
- Fleischer, M.; Blattmann, H.; Mülhaupt, R. Glycerol-, Pentaerythritol- and Trimethylolpropane-Based Polyurethanes and Their Cellulose Carbonate Composites Prepared via the Non-Isocyanate Route with Catalytic Carbon Dioxide Fixation. Green Chem. 2013, 15, 934–942. [Google Scholar] [CrossRef]
- El Khezraji, S.; Chaib, M.; Thakur, S.; Raihane, M.; Lopez-Manchado, M.A.; Verdejo, R.; Lahcini, M. Synthesis of Novel Non-Isocyanate Polyurethane/Functionalized Boron Nitride Composites. Polymer 2022, 14, 3934. [Google Scholar] [CrossRef]
- Huang, J.; Shao, Z.; Iswanto, A.H.; Adly, M.; Lubis, R.; Sutiawan, J.; Saifulazry, S.; Al-Edrus, O.; Lee, S.H.; Antov, P.; et al. Latest Advancements in the Development of High-Performance Lignin- and Tannin-Based Non-Isocyanate Polyurethane Adhesive for Wood Composites. Polymer 2023, 15, 3864. [Google Scholar] [CrossRef]
- Liu, G.; Wu, G.; Chen, J.; Huo, S.; Jin, C.; Kong, Z. Synthesis and Properties of POSS-Containing Gallic Acid-Based Non-Isocyanate Polyurethanes Coatings. Polym. Degrad. Stab. 2015, 121, 247–252. [Google Scholar] [CrossRef]
- Blattmann, H.; Mülhaupt, R. Multifunctional POSS Cyclic Carbonates and Non-Isocyanate Polyhydroxyurethane Hybrid Materials. Macromolecules 2016, 49, 742–751. [Google Scholar] [CrossRef]
- Liu, G.; Wu, G.; Chen, J.; Kong, Z. Synthesis, Modification and Properties of Rosin-Based Non-Isocyanate Polyurethanes Coatings. Prog. Org. Coatings 2016, 101, 461–467. [Google Scholar] [CrossRef]
- Liu, W.; Hang, G.; Mei, H.; Li, L.; Zheng, S. Nanocomposites of Polyhydroxyurethane with POSS Microdomains: Synthesis via Non-Isocyanate Approach, Morphologies and Reprocessing Properties. Polymers 2022, 14, 1331. [Google Scholar] [CrossRef] [PubMed]
- MacInnis, C.M.; Younes, G.R.; Marić, M. The Effect of Polyhedral Oligomeric Silsesquioxane Fillers in Non-Isocyanate Polyurethane Hybrid Resins. J. Appl. Polym. Sci. 2022, 139, e53225. [Google Scholar] [CrossRef]
- Blanco, I. The Rediscovery of POSS: A Molecule Rather than a Filler. Polymers 2018, 10, 904. [Google Scholar] [CrossRef] [PubMed]
- Lichtenhan, J.D.; Pielichowski, K.; Blanco, I. POSS-Based Polymers. Polymers 2019, 11, 1727. [Google Scholar] [CrossRef] [PubMed]
- Tanaka, K.; Chujo, Y. Advanced Functional Materials Based on Polyhedral Oligomeric Silsesquioxane (POSS). J. Mater. Chem. 2012, 22, 1733–1746. [Google Scholar] [CrossRef]
- Milliman, H.W.; Boris, D.; Schiraldi, D.A. Experimental Determination of Hansen Solubility Parameters for Select POSS and Polymer Compounds as a Guide to POSS-Polymer Interaction Potentials. Macromolecules 2012, 45, 1931–1936. [Google Scholar] [CrossRef]
- Ayandele, E.; Sarkar, B.; Alexandridis, P. Polyhedral Oligomeric Silsesquioxane (POSS)-Containing Polymer Nanocomposites. Nanomaterials 2012, 2, 445–475. [Google Scholar] [CrossRef]
- Pielichowski, K.; Njuguna, J.; Janowski, B.; Pielichowski, J. Polyhedral Oligomeric Silsesquioxanes (POSS)-Containing Nanohybrid Polymers. Adv. Polym. Sci. 2006, 201, 225–296. [Google Scholar] [CrossRef]
- Li, G.; Wang, L.; Ni, H.; Pittman, C.U. Polyhedral Oligomeric Silsesquioxane (POSS) Polymers and Copolymers: A Review. J. Inorg. Organomet. Polym. 2001, 11, 123–154. [Google Scholar] [CrossRef]
- Joshi, M.; Butola, S.B. Polymeric Nanocomposites—Polyhedral Oligomeric Silsesquioxanes (POSS) as Hybrid Nanofiller. J. Macromol. Sci. Part C Polym. Rev. 2004, 44, 389. [Google Scholar] [CrossRef]
- Wang, F.; Lu, X.; He, C. Some Recent Developments of Polyhedral Oligomeric Silsesquioxane (POSS)-Based Polymeric Materials. J. Mater. Chem. 2011, 21, 2775–2782. [Google Scholar] [CrossRef]
- Raftopoulos, K.N.; Pielichowski, K. Segmental Dynamics in Hybrid Polymer/POSS Nanomaterials. Prog. Polym. Sci. 2016, 52, 136–187. [Google Scholar] [CrossRef]
- Misra, R.; Alidedeoglu, A.H.; Jarrett, W.L.; Morgan, S.E. Molecular Miscibility and Chain Dynamics in POSS/Polystyrene Blends: Control of POSS Preferential Dispersion States. Polymer 2009, 50, 2906–2918. [Google Scholar] [CrossRef]
- Li, S.; Simon, G.P.; Matisons, J.G. Morphology of Blends Containing High Concentrations of POSS Nanoparticles in Different Polymer Matrices. Polym. Eng. Sci. 2010, 50, 991–999. [Google Scholar] [CrossRef]
- Matějka, L.; Murias, P.; Pleštil, J. Effect of POSS on Thermomechanical Properties of Epoxy–POSS Nanocomposites. Eur. Polym. J. 2012, 48, 260–274. [Google Scholar] [CrossRef]
- Liu, Z.; Hu, D.; Huang, L.; Li, W.; Tian, J.; Lu, L.; Zhou, C. Simultaneous Improvement in Toughness, Strength and Biocompatibility of Poly(Lactic Acid) with Polyhedral Oligomeric Silsesquioxane. Chem. Eng. J. 2018, 346, 649–661. [Google Scholar] [CrossRef]
- Wang, B.; Lin, Q.; Shen, C.; Han, Y.; Tang, J.; Chen, H. Synthesis of MA POSS–PMMA as an Intraocular Lens Material with High Light Transmittance and Good Cytocompatibility. RSC Adv. 2014, 4, 52959–52966. [Google Scholar] [CrossRef]
- Fox, D.M.; Novy, M.; Brown, K.; Zammarano, M.; Harris, R.H.; Murariu, M.; McCarthy, E.D.; Seppala, J.E.; Gilman, J.W. Flame Retarded Poly(Lactic Acid) Using POSS-Modified Cellulose. 2. Effects of Intumescing Flame Retardant Formulations on Polymer Degradation and Composite Physical Properties. Polym. Degrad. Stab. 2014, 106, 54–62. [Google Scholar] [CrossRef]
- Fina, A.; Abbenhuis, H.C.L.; Tabuani, D.; Camino, G. Metal Functionalized POSS as Fire Retardants in Polypropylene. Polym. Degrad. Stab. 2006, 91, 2275–2281. [Google Scholar] [CrossRef]
- Zhao, Y.; Schiraldi, D.A. Thermal and Mechanical Properties of Polyhedral Oligomeric Silsesquioxane (POSS)/Polycarbonate Composites. Polymer 2005, 46, 11640–11647. [Google Scholar] [CrossRef]
- Bukowczan, A.; Stachak, P.; Łukaszewska, I.; Majka, T.M.; Hebda, E.; Pielichowski, K. Pyrolysis and Thermal Degradation Studies of Non-Isocyanate Polyurethanes Modified by Polyhedral Oligomeric Silsesquioxanes. Thermochim. Acta 2023, 723, 179484. [Google Scholar] [CrossRef]
- Li, H.; Ren, F.Y.; Li, H.R.; He, L.N. Modification of Ricinoleic Acid Based Nonisocyanate Polyurethane Using Polyamine Containing Polyhedral Oligomeric Silsesquioxane. Polym. Eng. Sci. 2023, 63, 1507–1515. [Google Scholar] [CrossRef]
- Ozimek, J.; Pielichowski, K. Recent Advances in Polyurethane/Poss Hybrids for Biomedical Applications. Molecules 2022, 27, 40. [Google Scholar] [CrossRef] [PubMed]
- Zhao, B.; Wei, K.; Wang, L.; Zheng, S. Poly(Hydroxyl Urethane)s with Double Decker Silsesquioxanes in the Main Chains: Synthesis, Shape Recovery, and Reprocessing Properties. Macromolecules 2020, 53, 434–444. [Google Scholar] [CrossRef]
- Hu, S.; Chen, X.; Bin Rusayyis, M.A.; Purwanto, N.S.; Torkelson, J.M. Reprocessable Polyhydroxyurethane Networks Reinforced with Reactive Polyhedral Oligomeric Silsesquioxanes (POSS) and Exhibiting Excellent Elevated Temperature Creep Resistance. Polymer 2022, 252, 124971. [Google Scholar] [CrossRef]
- Zhao, H.; Zhao, S.Q.; Li, Q.; Khan, M.R.; Liu, Y.; Lu, P.; Huang, C.X.; Huang, L.J.; Jiang, T. Fabrication and Properties of Waterborne Thermoplastic Polyurethane Nanocomposite Enhanced by the POSS with Low Dielectric Constants. Polymer 2020, 209, 122992. [Google Scholar] [CrossRef]
- Bizet, B.; Grau, E.; Asua, J.M.; Cramail, H. Hybrid Nonisocyanate Polyurethanes (H-NIPUs): A Pathway towards a Broad Range of Novel Materials. Macromol. Chem. Phys. 2022, 223, 2100437. [Google Scholar] [CrossRef]
- Ghanbari, H.; Cousins, B.G.; Seifalian, A.M. A Nanocage for Nanomedicine: Polyhedral Oligomeric Silsesquioxane (POSS). Macromol. Rapid Commun. 2011, 32, 1032–1046. [Google Scholar] [CrossRef]
- Yahyaei, H.; Mohseni, M.; Ghanbari, H.; Messori, M. Synthesis and Characterization of Polyhedral Oligomeric Titanized Silsesquioxane: A New Biocompatible Cage like Molecule for Biomedical Application. Mater. Sci. Eng. C 2016, 61, 293–300. [Google Scholar] [CrossRef] [PubMed]
- Gholami, H.; Yeganeh, H. Soybean Oil-Derived Non-Isocyanate Polyurethanes Containing Azetidinium Groups as Antibacterial Wound Dressing Membranes. Eur. Polym. J. 2021, 142, 110142. [Google Scholar] [CrossRef]
- Choong, P.S.; Tam, K.W.E.; Chong, N.X.; Seayad, A.M.; Seayad, J.; Jana, S. Biobased, Biodegradable, and Water-Soluble Amine-Functionalized Non-Isocyanate Polyurethanes for Potential Home Care Application. ACS Appl. Polym. Mater. 2023, 5, 5503–5513. [Google Scholar] [CrossRef]
- Zhou, X.; Guo, Y.; Zhao, F.; Shi, W.; Yu, G.; Zhou, X.; Guo, Y.; Zhao, F.; Shi, W.; Yu Materials Science, G.; et al. Topology-Controlled Hydration of Polymer Network in Hydrogels for Solar-Driven Wastewater Treatment. Adv. Mater. 2020, 32, 2007012. [Google Scholar] [CrossRef] [PubMed]
- Karoyo, A.H.; Wilson, L.D. A Review on the Design and Hydration Properties of Natural Polymer-Based Hydrogels. Materials 2021, 14, 1095. [Google Scholar] [CrossRef] [PubMed]
- Łukaszewska, I.; Bukowczan, A.; Raftopoulos, K.N.; Pielichowski, K. ‘Spider-like’ POSS in NIPU Webs: Enhanced Thermal Stability and Unique Swelling Behavior. J. Polym. Res. 2023, 30, 456. [Google Scholar] [CrossRef]
- Ozimek, J.; Łukaszewska, I.; Pielichowski, K. POSS and SSQ Materials in Dental Applications: Recent Advances and Future Outlooks. Int. J. Mol. Sci. 2023, 24, 4493. [Google Scholar] [CrossRef]
- Łukaszewska, I.; Lalik, S.; Bukowczan, A.; Marzec, M.; Pielichowski, K.; Raftopoulos, K.N. Tailoring the Physical Properties of Non-Isocyanate Polyurethanes by Introducing Secondary Amino Groups along Their Main Chain. J. Mol. Liq. 2023, 391, 123263. [Google Scholar] [CrossRef]
- Greenspan, L. Humidity Fixed Points of Binary Saturated Aqueous Solutions. J. Res. Natl. Bur. Stand. Sect. A Phys. Chem. 1977, 81A, 89–96. [Google Scholar] [CrossRef]
- Timmermann, E.O. Multilayer Sorption Parameters: BET or GAB Values? Colloids Surfaces A Physicochem. Eng. Asp. 2003, 220, 235–260. [Google Scholar] [CrossRef]
- Timmermann, E.O.; Chirife, J.; Iglesias, H.A. Water Sorption Isotherms of Foods and Foodstuffs: BET or GAB Parameters? J. Food Eng. 2001, 48, 19–31. [Google Scholar] [CrossRef]
- Donohue, M.D.; Aranovich, G.L. Classification of Gibbs Adsorption Isotherms. Adv. Colloid Interface Sci. 1998, 76–77, 137–152. [Google Scholar] [CrossRef]
- Blahovec, J.; Yanniotis, S. Modified Classification of Sorption Isotherms. J. Food Eng. 2009, 91, 72–77. [Google Scholar] [CrossRef]
- Mittal, H.; Al Alili, A.; Alhassan, S.M. Solid Polymer Desiccants Based on Poly(Acrylic Acid-Co-Acrylamide) and Laponite RD: Adsorption Isotherm and Kinetics Studies. Colloids Surf. A Physicochem. Eng. Asp. 2020, 599, 124813. [Google Scholar] [CrossRef]
- León-Martínez, F.M.; Méndez-Lagunas, L.L.; Rodríguez-Ramírez, J. Spray Drying of Nopal Mucilage (Opuntia Ficus-Indica): Effects on Powder Properties and Characterization. Carbohydr. Polym. 2010, 81, 864–870. [Google Scholar] [CrossRef]
- Mittal, H.; Al Alili, A.; Alhassan, S.M.; Agung Susantyoko, R. Zeolites and Superporous Hydrogels-Based Hybrid Composites as Solid Desiccants to Capture Water Vapors from Humid Air. Microporous Mesoporous Mater. 2022, 342, 112116. [Google Scholar] [CrossRef]
- Dolmaire, N.; Espuche, E.; Méchin, F.; Pascault, J.P. Water Transport Properties of Thermoplastic Polyurethane Films. J. Polym. Sci. Part B Polym. Phys. 2004, 42, 473–492. [Google Scholar] [CrossRef]
- Raftopoulos, K.N.; Łukaszewska, I.; Bujalance Calduch, C.; Stachak, P.; Lalik, S.; Hebda, E.; Marzec, M.; Pielichowski, K. Hydration and Glass Transition of Hybrid Non-Isocyanate Polyurethanes with POSS Inclusions. Polymer 2022, 253, 125010. [Google Scholar] [CrossRef]
- Pandis, C.; Spanoudaki, A.; Kyritsis, A.; Pissis, P.; Hernández, J.C.R.; Gõmez Ribelles, J.L.; Monleõn Pradas, M. Water Sorption Characteristics of Poly(2-Hydroxyethyl Acrylate)/Silica Nanocomposite Hydrogels. J. Polym. Sci. Part B Polym. Phys. 2011, 49, 657–668. [Google Scholar] [CrossRef]
- Rohitha, P. Prediction of Moisture Adsorption Characteristics of Dehydrated Fruits Using the GAB Isotherm Model. Agric. Crop. Sci. 2018, 3, 1036. [Google Scholar]
- Pérez-Alonso, C.; Beristain, C.I.; Lobato-Calleros, C.; Rodríguez-Huezo, M.E.; Vernon-Carter, E.J. Thermodynamic Analysis of the Sorption Isotherms of Pure and Blended Carbohydrate Polymers. J. Food Eng. 2006, 77, 753–760. [Google Scholar] [CrossRef]
- Filip, D.; Macocinschi, D.; Zaltariov, M.F.; Ciubotaru, B.I.; Bargan, A.; Varganici, C.D.; Vasiliu, A.L.; Peptanariu, D.; Balan-Porcarasu, M.; Timofte-Zorila, M.M. Hydroxypropyl Cellulose/Pluronic-Based Composite Hydrogels as Biodegradable Mucoadhesive Scaffolds for Tissue Engineering. Gels 2022, 8, 519. [Google Scholar] [CrossRef] [PubMed]
- Ferrer, G.G.; Pradas, M.M.; Gómez Ribelles, J.L.; Sánchez, M.S. Thermodynamical Analysis of the Hydrogel State in Poly(2-Hydroxyethyl Acrylate). Polymer 2004, 45, 6207–6217. [Google Scholar] [CrossRef]
- Mittal, H.; Al Alili, A.; Alhassan, S.M. Adsorption Isotherm and Kinetics of Water Vapors on Novel Superporous Hydrogel Composites. Microporous Mesoporous Mater. 2020, 299, 110106. [Google Scholar] [CrossRef]
- Szyk-Warszy´nska, L.; Warszy´nska, W.; Raszka, K.; Warszy´nski, P.; Warszy´nski, W. Interactions of Casein and Polypeptides in Multilayer Films Studied by FTIR and Molecular Dynamics. Polymers 2019, 11, 920. [Google Scholar] [CrossRef]
- Haris, P.I.; Chapman, D. Analysis of Polypeptide and Protein Structures Using Fourier Transform Infrared Spectroscopy. Methods Mol. Biol. 1994, 22, 183–202. [Google Scholar] [CrossRef]
- Schmidt, P.; Dybal, J.; Rodriguez-Cabello, J.C.; Reboto, V. Role of Water in Structural Changes of Poly(AVGVP) and Poly(GVGVP) Studied by FTIR and Raman Spectroscopy and Ab Initio Calculations. Biomacromolecules 2005, 6, 697–706. [Google Scholar] [CrossRef]
- Li, T.; Zhang, C.; Xie, Z.; Xu, J.; Guo, B.H. A Multi-Scale Investigation on Effects of Hydrogen Bonding on Micro-Structure and Macro-Properties in a Polyurea. Polymer 2018, 145, 261–271. [Google Scholar] [CrossRef]
- Lu, P.; Huang, W.; Shi, H.; Zhu, L. Effect of Curing Temperature on Morphology and Properties of Polyureas Based on Polyaspartic Esters. Mater. Sci. Forum 2010, 650, 33–37. [Google Scholar] [CrossRef]
- Schroeder, L.R.; Cooper, S.L. Hydrogen Bonding in Polyamides. J. Appl. Phys. 1976, 47, 4310–4317. [Google Scholar] [CrossRef]
- Skrovanek, D.J.; Painter, P.C.; Coleman, M.M. Hydrogen Bonding in Polymers. 2. Infrared Temperature Studies of Nylon 11. Macromolecules 1986, 19, 699–705. [Google Scholar] [CrossRef]
- Roberts, M.F.; Jenekhe, S.A. Site-Specific Reversible Scission of Hydrogen Bonds in Polymers. An Investigation of Polyamides and Their Lewis Acid-Base Complexes by Infrared Spectroscopy. Macromolecules 1991, 24, 3142–3146. [Google Scholar] [CrossRef]
- Wang, F.C.; Feve, M.; Lam, T.M.; Pascault, J.-P. FTIR Analysis of Hydrogen Bonding in Amorphous Linear Aromatic Polyurethanes. II. Influence of Styrene Solvent. J. Polym. Sci. Part B Polym. Phys. 1994, 32, 1315–1320. [Google Scholar] [CrossRef]
- Koberstein, J.T.; Gancarz, I.; Clarke, T.C. The Effects of Morphological Transitions on Hydrogen Bonding in Polyurethanes: Preliminary Results of Simultaneous DSC–FTIR Experiments. J. Polym. Sci. Part B Polym. Phys. 1986, 24, 2487–2498. [Google Scholar] [CrossRef]
- Sung, C.S.P.; Schneider, N.S. Infrared Studies of Hydrogen Bonding in Toluene Diisocyanate Based Polyurethanes. Macromolecules 1975, 8, 68–73. [Google Scholar] [CrossRef]
- Ke, J.; Li, X.; Jiang, S.; Liang, C.; Wang, J.; Kang, M.; Li, Q.; Zhao, Y. Promising Approaches to Improve the Performances of Hybrid Non-Isocyanate Polyurethane. Polym. Int. 2019, 68, 651–660. [Google Scholar] [CrossRef]
- Ghasemlou, M.; Daver, F.; Ivanova, E.P.; Brkljaca, R.; Adhikari, B. Assessment of Interfacial Interactions between Starch and Non-Isocyanate Polyurethanes in Their Hybrids. Carbohydr. Polym. 2020, 246, 116656. [Google Scholar] [CrossRef]
- Wolinska-Grabczy, A.; Kaczmarczyk, B.; Jankowski, A. Investigations of Hydrogen Bonding in the Poly(Urethane-Urea)-Based Membrane Materials by Using FTIR Spectroscopy. Pol. J. Chem. Technol. 2008, 10, 53–56. [Google Scholar] [CrossRef]
- Yilgor, I.; Yilgor, E.; Guler, I.G.; Ward, T.C.; Wilkes, G.L. FTIR Investigation of the Influence of Diisocyanate Symmetry on the Morphology Development in Model Segmented Polyurethanes. Polymer 2006, 47, 4105–4114. [Google Scholar] [CrossRef]
- Yildirim, E.; Yurtsever, M.; Yilgör, E.; Yilgör, I.; Wilkes, G.L. Temperature-Dependent Changes in the Hydrogen Bonded Hard Segment Network and Microphase Morphology in a Model Polyurethane: Experimental and Simulation Studies. J. Polym. Sci. Part B Polym. Phys. 2018, 56, 182–192. [Google Scholar] [CrossRef]
- Behera, B.; Das, P.K. Blue- and Red-Shifting Hydrogen Bonding: A Gas Phase FTIR and Ab Initio Study of RR′CO···DCCl3 and RR′S···DCCl3 Complexes. J. Phys. Chem. A 2018, 122, 4481–4489. [Google Scholar] [CrossRef] [PubMed]
- Kondo, T.; Sawatari, C. A Fourier Transform Infra-Red Spectroscopic Analysis of the Character of Hydrogen Bonds in Amorphous Cellulose. Polymer 1996, 37, 393–399. [Google Scholar] [CrossRef]
- Black, S.B.; Chang, Y.; Bae, C.; Hickner, M.A. FTIR Characterization of Water-Polymer Interactions in Superacid Polymers. J. Phys. Chem. B 2013, 117, 16266–16274. [Google Scholar] [CrossRef] [PubMed]
- Johansson, A.; Kollman, P.; Rothenberg, S.; McKelvey, J. Hydrogen Bonding Ability of the Amide Group. J. Am. Chem. Soc. 1974, 96, 3794–3800. [Google Scholar] [CrossRef]
- Joseph, J.; Jemmis, E.D. Red-, Blue-, or No-Shift in Hydrogen Bonds: A Unified Explanation. J. Am. Chem. Soc. 2007, 129, 4620–4632. [Google Scholar] [CrossRef]
- Kuo, S.W.; Huang, C.F.; Chang, F.C. Study of Hydrogen-Bonding Strength in Poly(ϵ-Caprolactone) Blends by DSC and FTIR. J. Polym. Sci. Part B Polym. Phys. 2001, 39, 1348–1359. [Google Scholar] [CrossRef]
- Coleman, M.M.; Moskala, E.J. FTi.r. Studies of Polymer Blends Containing the Poly(Hydroxy Ether of Bisphenol A) and Poly(ε-Caprolactone). Polymer 1983, 24, 251–257. [Google Scholar] [CrossRef]
- Guerin, A.C.; Riley, K.; Rupnik, K.; Kuroda, D.G. Determining the Energetics of the Hydrogen Bond through FTIR: A Hands-On Physical Chemistry Lab Experiment. J. Chem. Educ. 2016, 93, 1124–1129. [Google Scholar] [CrossRef]
- Teo, L.S.; Chen, C.Y.; Kuo, J.F. Fourier Transform Infrared Spectroscopy Study on Effects of Temperature on Hydrogen Bonding in Amine-Containing Polyurethanes and Poly(Urethane-Urea)S. Macromolecules 1997, 30, 1793–1799. [Google Scholar] [CrossRef]
- Kim, H.J.; Kang, M.S.; Knowles, J.C.; Gong, M.S. Synthesis of Highly Elastic Biocompatible Polyurethanes Based on Bio-Based Isosorbide and Poly(Tetramethylene Glycol) and Their Properties. J. Biomater. Appl. 2014, 29, 454. [Google Scholar] [CrossRef]
- Yu, Y.-J.; Hearon, K.; Wilson, T.S.; Maitland, D.J. The Effect of Moisture Absorption on the Physical Properties of Polyurethane Shape Memory Polymer Foams. Smart Mater. Struct. 2011, 20, 085010. [Google Scholar] [CrossRef] [PubMed]
- Kudo, S.; Nakashima, S. Changes in IR Band Areas and Band Shifts during Water Adsorption to Lecithin and Ceramide. Spectrochim. Acta Part A Mol. Biomol. Spectrosc. 2020, 228, 117779. [Google Scholar] [CrossRef] [PubMed]
- Kannan, P.P.; Karthick, N.K.; Arivazhagan, G. Hydrogen Bond Interactions in the Binary Solutions of Formamide with Methanol: FTIR Spectroscopic and Theoretical Studies. Spectrochim. Acta Part A Mol. Biomol. Spectrosc. 2020, 229, 117892. [Google Scholar] [CrossRef] [PubMed]
- Fornaro, T.; Burini, D.; Biczysko, M.; Barone, V. Hydrogen-Bonding Effects on Infrared Spectra from Anharmonic Computations: Uracil-Water Complexes and Uracil Dimers. J. Phys. Chem. A 2015, 119, 4224–4236. [Google Scholar] [CrossRef] [PubMed]
- Seki, T.; Chiang, K.Y.; Yu, C.C.; Yu, X.; Okuno, M.; Hunger, J.; Nagata, Y.; Bonn, M. The Bending Mode of Water: A Powerful Probe for Hydrogen Bond Structure of Aqueous Systems. J. Phys. Chem. Lett. 2020, 11, 8459–8469. [Google Scholar] [CrossRef] [PubMed]
- Silverstein, R.M.; Webster, F.X.; Kiemle, D.J. Spectrometric Identification of Organic Compounds, 7th ed.; John Wiley & Sons: Hoboken, NJ, USA, 2005; ISBN 0-471-39362-2. [Google Scholar]
- Coleman, M.M.; Lee, K.H.; Skrovanek, D.J.; Painter, P.C. Hydrogen Bonding in Polymers. 4. Infrared Temperature Studies of a Simple Polyurethane. Macromolecules 1986, 19, 2149–2157. [Google Scholar] [CrossRef]
- Rozenberg, M.; Jung, C.; Shoham, G. Low Temperature FTIR Spectra and Hydrogen Bonds in Polycrystalline Cytidine. Spectrochim. Acta Part A Mol. Biomol. Spectrosc. 2004, 60, 2369–2375. [Google Scholar] [CrossRef] [PubMed]
- Li, Y.; Chao, J.; Kang, Y. Variations in Amplitudes and Wave Energy along the Energy Dispersion Paths for Rossby Waves in the Quasigeostrophic Barotropic Model. Adv. Atmos. Sci. 2022, 39, 876–888. [Google Scholar] [CrossRef]
- Ni, Y.; Skinner, J.L. IR and SFG Vibrational Spectroscopy of the Water Bend in the Bulk Liquid and at the Liquid-Vapor Interface, Respectively. J. Chem. Phys. 2015, 143, 14502. [Google Scholar] [CrossRef]
- Tanaka, M.; Motomura, T.; Ishii, N.; Shimura, K.; Onishi, M.; Mochizuki, A.; Hatakeyama, T. Cold Crystallization of Water in Hydrated Poly(2-Methoxyethyl Acrylate) (PMEA). Polym. Int. 2020, 49, 1709–1713. [Google Scholar] [CrossRef]
- Combarro Palacios, I.; Olsson, C.; Kamma-Lorger, C.S.; Swenson, J.; Cerveny, S. Motions of Water and Solutes—Slaving versus Plasticization Phenomena. J. Chem. Phys. 2019, 150, 124902. [Google Scholar] [CrossRef] [PubMed]
- Shinyashiki, N.; Yamamoto, W.; Yokoyama, A.; Yoshinari, T.; Yagihara, S.; Kita, R.; Ngai, K.L.; Capaccioli, S. Glass Transitions in Aqueous Solutions of Protein (Bovine Serum Albumin). J. Phys. Chem. B 2009, 113, 14448–14456. [Google Scholar] [CrossRef] [PubMed]
- Cerveny, S.; Swenson, J. Water Dynamics in the Hydration Shells of Biological and Non-Biological Polymers. J. Chem. Phys. 2019, 150, 234904. [Google Scholar] [CrossRef] [PubMed]
- Cerveny, S.; Combarro-Palacios, I.; Swenson, J. Evidence of Coupling between the Motions of Water and Peptides. J. Phys. Chem. Lett. 2016, 7, 4093–4098. [Google Scholar] [CrossRef]
- Fenimore, P.W.; Frauenfelder, H.; McMahon, B.H.; Parak, F.G. Slaving: Solvent Fluctuations Dominate Protein Dynamics and Functions. Proc. Natl. Acad. Sci. USA 2002, 99, 16047–16051. [Google Scholar] [CrossRef]
- Lutz, T.R.; He, Y.; Ediger, M.D.; Pitsikalis, M.; Hadjichristidis, N. Dilute Polymer Blends: Are the Segmental Dynamics of Isolated Polyisoprene Chains Slaved to the Dynamics of the Host Polymer? Macromolecules 2004, 37, 6440–6448. [Google Scholar] [CrossRef]











| Salt | Relative Humidity at 25 °C (%) | rh Designation in the Manuscript |
|---|---|---|
| Potassium hydroxide (KOH) | 8.23 ± 0.72 | 8% |
| Potassium acetate (CH3COOK) | 22.51 ± 0.32 | 22% |
| Magnesium chloride (MgCl2) | 32.78 ± 0.16 | 33% |
| Potassium carbonate (K2CO3) | 43.16 ± 0.39 | 43% |
| Sodium bromide (NaBr) | 57.57 ± 0.40 | 57% |
| Potassium iodide (KI) | 68.86 ± 0.24 | 68% |
| Sodium chloride (NaCl) | 75.29 ± 0.12 | 75% |
| Potassium bromide (KBr) | 80.89 ± 0.21 | 81% |
| Potassium chloride (KCl) | 84.34 ± 0.26 | 84% |
| Potassium sulfate (K2SO4) | 97.30 ± 0.45 | 97% |
Disclaimer/Publisher’s Note: The statements, opinions and data contained in all publications are solely those of the individual author(s) and contributor(s) and not of MDPI and/or the editor(s). MDPI and/or the editor(s) disclaim responsibility for any injury to people or property resulting from any ideas, methods, instructions or products referred to in the content. |
© 2023 by the authors. Licensee MDPI, Basel, Switzerland. This article is an open access article distributed under the terms and conditions of the Creative Commons Attribution (CC BY) license (https://creativecommons.org/licenses/by/4.0/).
Share and Cite
Łukaszewska, I.; Bukowczan, A.; Raftopoulos, K.N.; Pielichowski, K. Examining the Water–Polymer Interactions in Non-Isocyanate Polyurethane/Polyhedral Oligomeric Silsesquioxane Hybrid Hydrogels. Polymers 2024, 16, 57. https://doi.org/10.3390/polym16010057
Łukaszewska I, Bukowczan A, Raftopoulos KN, Pielichowski K. Examining the Water–Polymer Interactions in Non-Isocyanate Polyurethane/Polyhedral Oligomeric Silsesquioxane Hybrid Hydrogels. Polymers. 2024; 16(1):57. https://doi.org/10.3390/polym16010057
Chicago/Turabian StyleŁukaszewska, Izabela, Artur Bukowczan, Konstantinos N. Raftopoulos, and Krzysztof Pielichowski. 2024. "Examining the Water–Polymer Interactions in Non-Isocyanate Polyurethane/Polyhedral Oligomeric Silsesquioxane Hybrid Hydrogels" Polymers 16, no. 1: 57. https://doi.org/10.3390/polym16010057
APA StyleŁukaszewska, I., Bukowczan, A., Raftopoulos, K. N., & Pielichowski, K. (2024). Examining the Water–Polymer Interactions in Non-Isocyanate Polyurethane/Polyhedral Oligomeric Silsesquioxane Hybrid Hydrogels. Polymers, 16(1), 57. https://doi.org/10.3390/polym16010057

