Rheological and Aging Properties of Vegetable Oil-Based Polyurethane (V-PU) Modified Asphalt
Abstract
:1. Introduction
2. Materials and Methods
2.1. Materials
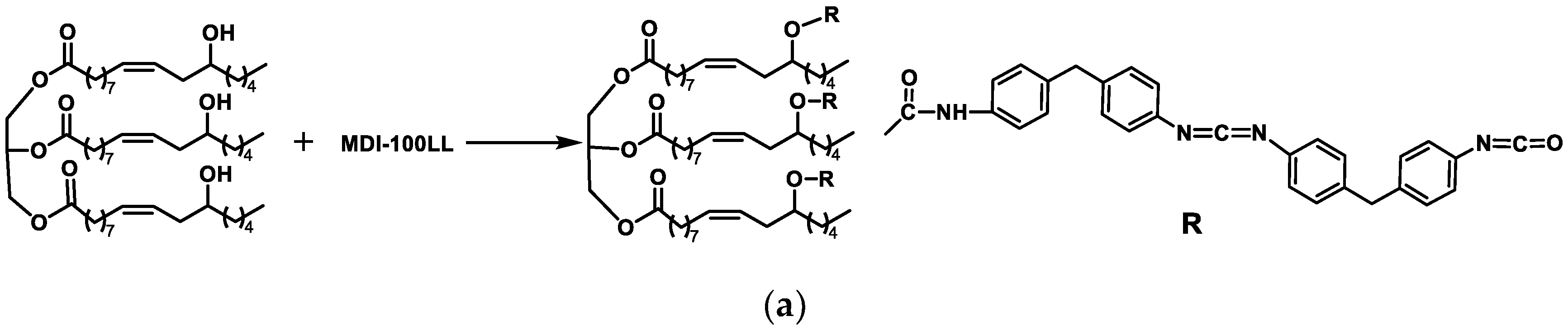
2.2. Preparation of V-PU
2.3. Preparation of V-PU Modified Asphalt
2.4. Classical Performance
2.5. Rheological Properties
- (1)
- High temperature classification test
- (2)
- MSCR test
- (3)
- LAS test
2.6. Fourier Transformation Infrared Spectroscopy (FTIR)
2.7. Fluorescence Microscope Dispersion Observation Test
3. Results and Discussion
3.1. Rheological Study of V-PU modified Asphalt
3.1.1. High Temperature Grading Performance of V-PU Modified Asphalt
3.1.2. Permanent Deformation Resistance of V-PU Modified Asphalt
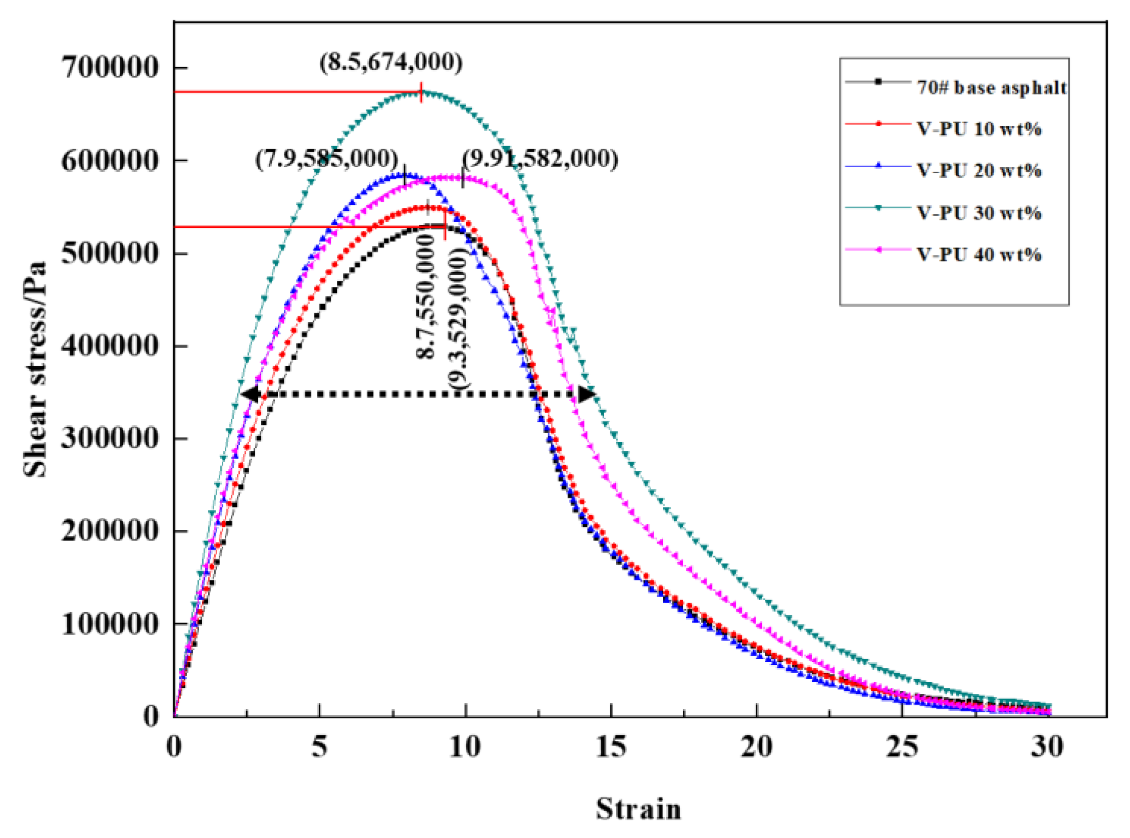
3.1.3. Resistance to Fatigue Cracking of V-PU Modified Asphalt
3.2. Aging Resistance and Mechanism of V-PU Modified Asphalt
3.2.1. Aging Resistance of V-PU Modified Asphalt
3.2.2. Aging Mechanism of V-PU Modified Asphalt
4. Conclusions
- The high and low temperature performance and fatigue resistance of the modified asphalt improved compared with the base asphalt. The rheological tests showed that increasing the V-PU clearly increased the modulus and the high temperature grade of the modified asphalts, while the phase angle decreased, which indicated that the elastic components of the asphalt increased significantly and that the ability to resist deformation was clearly enhanced.
- The R of the V-PU modified asphalts was significantly higher than that of the base asphalt, while the Jnr was less than that of the base asphalt at the same stress level, which indicated that the V-PU modified asphalt had significantly better resistance to permanent deformation and recovery deformation than the base asphalt.
- The yield stress and yield strain of the V-PU modified asphalts increased, which indicated that the addition of V-PU modifier enhanced the fatigue resistance of the asphalt. The 30 wt% sample showed phase inversion. The 30 wt% V-PU modified asphalt had the best performance.
- Both the penetration and ductility of the V-PU modified asphalt showed marked attenuation after TFOT at 130 °C. Comprehensive FTIR, GPC, and fluorescence microscopy analysis showed oxygenates. The molecular weight, particularly Mz and Mz + 1, significantly increased, and the V-PU molecules agglomerated after the TFOT and PAV tests. V-PU prepolymer can react with water in the air and the active hydrogen in the asphalt system and finally form a cross-linked three-dimensional network structure with the asphalt to improve performance. Oxidation, polymerization, chain breakage, and degradation of the V-PU modifier resulted in phase separation and attenuation of performance.
Author Contributions
Funding
Institutional Review Board Statement
Informed Consent Statement
Data Availability Statement
Conflicts of Interest
References
- Dong, F.Q.; Yu, X.; Liu, S.J.; Wei, J.M. Rheological Behaviors and Microstructure of SBS/CR Composite Modified Hard Asphalt. Constr. Build. Mater. 2016, 115, 285–293. [Google Scholar] [CrossRef]
- Moghadas Nejad, F.; Azarhoosh, A.R.; Hamedi, G.H.; Azarhoosh, M.J. Influence of Using Nonmaterial to Reduce the Moisture Susceptibility of Hot Mix Asphalt. Constr. Build. Mater. 2012, 31, 384–388. [Google Scholar] [CrossRef]
- Moghadas Nejad, F.; Azarhoosh, A.R.; Hamedi, G.H. Effect of High Density Polyethylene on the Fatigue and Rutting Performance of Hot Mix Asphalt-laboratory Study. Road Mater. Pavem. Des. 2014, 15, 746–756. [Google Scholar]
- Behnood, A.; Olek, J. Rheological Properties of Asphalt Binders Modified with Styrene-butadiene-styrene (SBS), Ground Tire Rubber (GTR), or Polyphosphoric Acid (PPA). Constr. Build. Mater. 2017, 151, 464–478. [Google Scholar] [CrossRef]
- Rizvi, H.R.; Khattak, M.J.; Gallo, A.A. Rheological and Mechanistic Characteristics of Bone Glue Modified Asphalt Binders. Constr. Build. Mater. 2015, 88, 64–73. [Google Scholar] [CrossRef]
- Qu, F.T.; Lv, S.T.; Gao, J.F.; Liu, C.C. Performance and Mechanism of Asphalt Modified by Buton-Rock Asphalt and Different Types of Styrene-Butadiene-Rubber. Appl. Sci. 2020, 10, 3077. [Google Scholar] [CrossRef]
- Cao, D.W.; Tan, H.; Yang, Z.; Chen, H.X.; Kuang, D.L. Research on Performance of Natural Rubber Latex Composite-Modified Asphalt. J. Test. Eval. 2022, 50, 1962–1976. [Google Scholar] [CrossRef]
- Zakieva, R.R.; Gussamov, I.I.; Gadel’shin, R.M.; Petrov, S.M.; Ibragimova, D.A.; Fakhrutdinov, R.Z. Effect of Modification of a Copolymer of Ethylene with Vinyl Acetate on the Performance of Cement and Asphalt Concrete Based on It. Chem. Tech. Fuels Oil. 2015, 51, 480–486. [Google Scholar] [CrossRef]
- He, W.T.; Zhao, Z.F.; Yuan, J.; Xiao, F.P. Recent Development of Ethylene-Vinyl Acetate Modified Asphalt. Constr. Build. Mater. 2023, 363, 129800. [Google Scholar] [CrossRef]
- Moghadas Nejad, F.; Gholami, M.; Naderi, K.; Rahi, M. Evalution of Rutting Properties of High Denity Polyethylene Modified binders. Mater. Struct. 2015, 48, 3295–3305. [Google Scholar] [CrossRef]
- Zarroodi, R.; Naderi, K.; Goodarzi, M.M.; Nazari, H.; Nejad, F.M. Using Polyphosphoric Acid and Sulfur to Improve Storage Stability, Aging, and Rheological Properties of High-Density Polyethylene-Modified Asphalt Binder. J. Test. Eval. 2021, 49, 4593–4606. [Google Scholar] [CrossRef]
- Duan, K.X.; Wang, C.H.; Liu, J.K.; Song, L.; Chen, Q.; Chen, Y.Z. Research Progress and Performance Evaluation of Crumb-Rubber-Modified Asphalts and Their Mixtures. Constr. Build. Mater. 2022, 361, 129687. [Google Scholar] [CrossRef]
- Zhang, W.G.; Luan, Y.C.; Ma, T.; Wang, S.J.; Chen, J.B.; Li, J.P.; Wu, M. Multilevel Analysis of the Aging Mechanisms and Performance Evolution of Rubber-Modified Asphalt. J. Mater. Civ. Eng. 2021, 33, 04021365. [Google Scholar] [CrossRef]
- Yan, K.Z.; You, L.Y.; Wang, D.C. High-Temperature Performance of Polymer-Modified Asphalt Mixes: Preliminary Evaluation of the Usefulness of Standard Technical Index in Polymer-Modified Asphalt. Polymers 2019, 11, 1404. [Google Scholar] [CrossRef]
- Li, Y.M.; Lv, C.Y.; Cheng, P.F.; Chen, Y.J.; Zhang, Z.M. Application of Bio-Resin in Road Materials: Rheological and Chemical Properties of Asphalt Binder Modified by Lignin-Phenolic Resin. Case Stud. Constr. Mater. 2023, 18, e01989. [Google Scholar] [CrossRef]
- Tang, D.; Cong, Y.F.; Zhao, Y.L.; Huang, W. Influence of C-9 Petroleum Resin on the Property of Rubber Modified Asphalt. New Chem. Mater. 2019, 47, 255–258, 263. [Google Scholar]
- Zhang, Y.; Wang, X.C.; Ji, G.Y.; Fan, Z.Y.; Guo, Y.C.; Gao, W.Z.; Xin, L. Mechanical Performance Characterization of Lignin-Modified Asphalt Mixture. Appl. Sci. 2020, 10, 3324. [Google Scholar] [CrossRef]
- Gaudenzi, E.; Cardone, F.; Lu, X.H.; Canestrari, F. Performance Assessment of Asphalt Mixtures Produced with a Bio-Binder Containing 30% of Lignin. Mater. Struct. 2022, 55, 221. [Google Scholar] [CrossRef]
- Zhang, H.Y.; Wu, X.W.; Cao, D.W.; Zhang, Y.J.; He, M. Effect of Linear Low Density-Polyethylene Grafted with Maleic Anhydride (LLDPE-g-MAH) on Properties of High Density-Polyethylene/styrene-butadien e-styrene (HDPE/SBS) Modified Asphalt. Constr. Build. Mater. 2013, 47, 192–198. [Google Scholar] [CrossRef]
- Liang, M.; Liang, P.; Fan, W.Y.; Qian, C.D.; Xin, X.; Shi, J.T.; Nan, G.Z. Thermo-Rheological Behavior and Compatibility of Modified Asphalt with Various Styrene-Butadiene Structures in SBS Copolymers. Mater. Des. 2015, 88, 177–185. [Google Scholar] [CrossRef]
- Kok, B.V.; Yilmaz, M.; Geckil, A. Evaluation of Low-Temperature and Elastic Properties of Crumb Rubber-and SBS-Modified Bitumen and Mixtures. J. Mater. Civ. Eng. 2013, 25, 257–265. [Google Scholar] [CrossRef]
- Michel, B. Vegetal Binder for the Realization of Materials for Buildings and/or Public Work. FR Patent 2853647 (A1), 15 October 2004. [Google Scholar]
- Xia, L.; Cao, D.W.; Zhang, H.Y.; Guo, Y.S. Study on the Classical and Rheological Properties of Castor Oil- Polyurethane Pre-Polymer (C-PU) Modified asphalt. Constr. Build. Mater. 2016, 112, 949–955. [Google Scholar] [CrossRef]
- Li, C.X. Preparation of Polyurethane Modified Asphalt and Evaluation of Pavement Performance of Mixture. J. Wuhan Univ. Technol. 2017, 41, 958–963. [Google Scholar]
- Liu, Y.; Xin, X. Study on the Preparation Process of Polyurethane Modification Request for Road Use. Chin. For. Highw. 2015, 35, 255–259. [Google Scholar]
- Behrokh, B.; Tahersima, M.; Behravan, A. Influence of Thermoplastic of Polyurethane and Synthesized Polyurethane Additive in Performance of Asphalt Pavements. Constr. Build. Mater. 2018, 166, 1–11. [Google Scholar]
- Zhang, Z.P.; Sun, J.; Jia, M.; Ban, X.Y.; Wang, L.; Chen, L.Q.; Huang, T.; Liu, H. Effects of Polyurethane Thermoplastic Elastomer on Properties of Asphalt Binder and Asphalt Mixture. J. Mater. Civ. Eng. 2021, 33, 04020477. [Google Scholar] [CrossRef]
- Yan, W.; Qu, Y.J.; Xie, J.; Huang, T.; Peng, X.H. Study on Properties of Bone Glue/Polyurethane Composite Modified Asphalt and Its Mixture. Materials 2021, 14, 3769. [Google Scholar] [CrossRef]
- Chen, B.; Dong, F.Q.; Yu, X.; Zheng, C.J. Evaluation of Properties and Micro-Characteristics of Waste Polyurethane/Styrene-Butadiene-Styrene Composite Modified Asphalt. Polymers 2021, 13, 2249. [Google Scholar] [CrossRef]
- He, Q.S.; Zhang, H.L.; Li, J.; Duan, H.H. Performance Evaluation of Polyurethane/Epoxy Resin Modified Asphalt as Adhesive Layer Material for Steel-UHPC Composite Bridge Deck Pavements. Constr. Build. Mater. 2021, 291, 123364. [Google Scholar] [CrossRef]
- Sun, J.; Zhang, Z.P.; Wang, L.; Liu, H.; Ban, X.Y.; Ye, J.J. Investigation on the Epoxy/Polyurethane Modified Asphalt Binder Cured with Bio-Based Curing Agent: Properties and Optimization. Constr. Build. Mater. 2021, 320, 126221. [Google Scholar] [CrossRef]
- Yu, R.E.; Zhu, X.J.; Zhang, M.R.; Fang, C.Q. Investigation on the Short-Term Aging-Resistance of Thermoplastic Polyurethane- Modified Asphalt Binders. Polymers 2019, 10, 1189. [Google Scholar] [CrossRef] [PubMed]
- Sun, M.; Zheng, M.L.; Bi, Y.F.; Zhu, L.L.; Gao, Y. Modification Mechanism and Properties of Polyurethane Modified Asphalt. J. Tfc. Trans. Eng. 2019, 19, 49–58. [Google Scholar]
- Kazemi, M.; Mohammadi, A.; Goli, A.; Fini, E. Introducing a Sustainable Bio-Based Polyurethane to Enhance the Healing Capacity of Bitumen. J. Mater. Civ. Eng. 2022, 34, 04021465. [Google Scholar] [CrossRef]
- JTG F40-2004; Technical Specifications for Construction of Highway Asphalt Pavements. Communication Press: Beijing, China, 2004.
- JTG E20-2011; Standard Test Methods of Bitumen and Bituminous Mixtures for Highway Engineering. China Communication Press: Beijing, China, 2011.
- AASHTO TP 70-10; Standard Method of Test for Multiple Stress Creep Recovery (MSCR) Test of Asphalt Binder Using a Dynamic Shear Rheometer (DSR). AASHTO: Washington, DC, USA, 2010.
- Tan, Y.Q.; Wang, J.N.; Feng, Z.L.; Zhou, X.Y.; Xu, H.N. Ultraviolet Aging Mechanism of Asphalt Binder. Chin. J. Highw. Trans. 2008, 21, 19–24. [Google Scholar]
- Yang, X.; You, Z.P. High Temperature Performance Evaluation of Bio-oil Modified Asphalt Binder Using the DSR and MSCR Tests. Constr. Build. Mater. 2015, 76, 380–387. [Google Scholar] [CrossRef]
- Zhang, J.; Walubita, L.F.; Faruk, A.N.M.; Karki, P.; Simate, G.S. Use of the MSCR Test to Characterize the Asphalt Binder Properties Relative to HMA Rutting Performance-A Laboratory Study. Constr. Build. Mater. 2015, 94, 218–227. [Google Scholar] [CrossRef]
- DuBois, E.; Mehta, Y.; Nolan, A. Correlation Between Multiple Stress Creep Recovery (MSCR) Results and Polymer Modification of Binder. Constr. Build. Mater. 2014, 65, 184–190. [Google Scholar] [CrossRef]
- Shirodkar, P.; Mehta, Y.; Nolan, A.; Dahm, K.; Dusseau, R.; McCarthy, L. Characterization of Creep and Recovery Curve of Polymer Modified Binder. Constr. Build. Mater. 2012, 34, 504–511. [Google Scholar] [CrossRef]
- AASHTO MP 19-10; Standard Specification For Performance-Graded Asphalt Binder Using Multiple Stress Creep Recovery (MSCR) Test. AASHTO: Washington, DC, USA, 2010.
- Liu, Y.J. Polyurethane Resin and Its Application; Chemical Industry Press: Beijing, China, 2012; pp. 17–37. [Google Scholar]
















| Properties | Refractivity | Hydroxyl Value (mg KOH/g) | Acid Value (mg KOH/g) | Iodine Value |
|---|---|---|---|---|
| value | 1.478~1.480 | 164 | ≤1.0 | 82~90 |
| Properties | Appearance | Viscosity (25 °C) (mPa·s) | –NCO Content (wt%) | Acidity (wt%) |
|---|---|---|---|---|
| value | light yellow transparent liquid | 25~60 | 28~30 | ≤0.04 |
| Properties | Technical Requirements | Value | |
|---|---|---|---|
| penetration (25 °C, 100 g, 5 s) (0.1 mm) | 60~80 | 65 | |
| softening point (5 °C) (°C) | ≥45 | 46.0 | |
| ductility (5 cm/min, 15 °C) (cm) | ≥100 | >100 | |
| ductility (5 cm/min, 10 °C) (cm) | ≥25 | 55 | |
| dynamic viscosity (60 °C) (Pa·s) | ≥160 | 185 | |
| after TFOT | mass loss (%) | ≤±0.8 | 0.075 |
| penetration ratio (25 °C) (%) | ≥61 | 68 | |
| ductility (5 cm/min, 10 °C) (cm) | ≥6 | 8 | |
| Asphalt Type | G*/sin δ of Original Asphalt/kPa | G*/sin δ of TFOT Residual Asphalt/kPa | High Temperature Grade/°C | ||||||||||
|---|---|---|---|---|---|---|---|---|---|---|---|---|---|
| 58 °C | 64 °C | 70 °C | 76 °C | 82 °C | 88 °C | 58 °C | 64 °C | 70 °C | 76 °C | 82 °C | 88 °C | ||
| 70# base asphalt | 2.30 | 1.05 | 0.510 * | — | — | — | 4.32 | 1.93 Φ | — | — | — | — | PG 58 |
| V-PU 10 wt% | 2.08 | 1.32 | 0.997 * | — | — | — | 5.12 | 2.33 | 1.11 Φ | — | — | — | PG 64 |
| V-PU 15 wt% | 2.71 | 1.38 | 0.744 * | — | — | — | 5.50 | 2.77 | 1.47 Φ | — | — | — | PG 64 |
| V-PU 20 wt% | 3.45 | 1.77 | 1.420 | 0.963 * | — | — | 8.83 | 4.74 | 2.73 | 1.68 Φ | — | — | PG 70 |
| V-PU 30 wt% | 14.90 | 7.06 | 3.550 | 1.880 | 1.040 | 0.605 * | 22.30 | 13.40 | 8.61 | 5.84 | 3.21 | 2.54 | PG 82 |
| Asphalt Type | Original Asphalt | TFOT Residual Asphalt | ||
|---|---|---|---|---|
| Penetration (25 °C, 100 g, 5 s) (0.1 mm) | Ductility (5 cm/min, 5 °C) (cm) | Penetration (25 °C, 100 g, 5 s) (0.1 mm) | Ductility (5 cm/min, 5 °C) (cm) | |
| V-PU 10 wt% | 117.0 | 9.8 | 66.5 | 2.4 |
| V-PU 15 wt% | 113.0 | 9.4 | 56.5 | 3.9 |
| V-PU 20 wt% | 85.0 | 8.3 | 50.3 | 3.1 |
| V-PU 30 wt% | 63.0 | 7.7 | 44.4 | 2.9 |
| Asphalt Type | Mn | Mw | Mz | Mz + 1 | Mv | Polydispersity |
|---|---|---|---|---|---|---|
| original asphalt | 871 | 2453 | 8451 | 12,548 | 2030 | 2.815700 |
| TFOT residual asphalt | 900 | 2862 | 9221 | 17,093 | 2338 | 3.177970 |
| PAV residual asphalt | 962 | 2995 | 9826 | 17,749 | 2421 | 3.447751 |
Disclaimer/Publisher’s Note: The statements, opinions and data contained in all publications are solely those of the individual author(s) and contributor(s) and not of MDPI and/or the editor(s). MDPI and/or the editor(s) disclaim responsibility for any injury to people or property resulting from any ideas, methods, instructions or products referred to in the content. |
© 2023 by the authors. Licensee MDPI, Basel, Switzerland. This article is an open access article distributed under the terms and conditions of the Creative Commons Attribution (CC BY) license (https://creativecommons.org/licenses/by/4.0/).
Share and Cite
Xia, L.; Cao, D.; Zhang, H. Rheological and Aging Properties of Vegetable Oil-Based Polyurethane (V-PU) Modified Asphalt. Polymers 2023, 15, 2158. https://doi.org/10.3390/polym15092158
Xia L, Cao D, Zhang H. Rheological and Aging Properties of Vegetable Oil-Based Polyurethane (V-PU) Modified Asphalt. Polymers. 2023; 15(9):2158. https://doi.org/10.3390/polym15092158
Chicago/Turabian StyleXia, Lei, Dongwei Cao, and Hongliang Zhang. 2023. "Rheological and Aging Properties of Vegetable Oil-Based Polyurethane (V-PU) Modified Asphalt" Polymers 15, no. 9: 2158. https://doi.org/10.3390/polym15092158
APA StyleXia, L., Cao, D., & Zhang, H. (2023). Rheological and Aging Properties of Vegetable Oil-Based Polyurethane (V-PU) Modified Asphalt. Polymers, 15(9), 2158. https://doi.org/10.3390/polym15092158

