Star-Shaped Thermoplastic Elastomers Prepared via RAFT Polymerization
Abstract
1. Introduction
2. Materials and Methods
2.1. Materials
2.2. Sample Preparation
2.2.1. Synthesis of Poly(styrene-b-isoprene) (PS-b-PI) Diblock Copolymer
2.2.2. Synthesis of Poly(styrene-b-isoprene-b-styrene) (SIS) Linear Triblock Copolymer
2.2.3. Synthesis of Poly(styrene-b-isoprene-b-styrene) (SIS) Star Polymer
2.3. Characterization
2.3.1. 1H NMR Analysis
2.3.2. GPC Analysis
2.3.3. Tensile Tests
2.3.4. DSC Analysis
2.3.5. AFM Observations
2.3.6. TEM Observations
2.3.7. SAXS Tests
3. Results
3.1. Synthesis of (PS-b-PI) Diblock Copolymer
3.2. Synthesis of SIS Linear and Star Triblock Copolymers
3.2.1. Influence Factors of Star-Forming Reaction
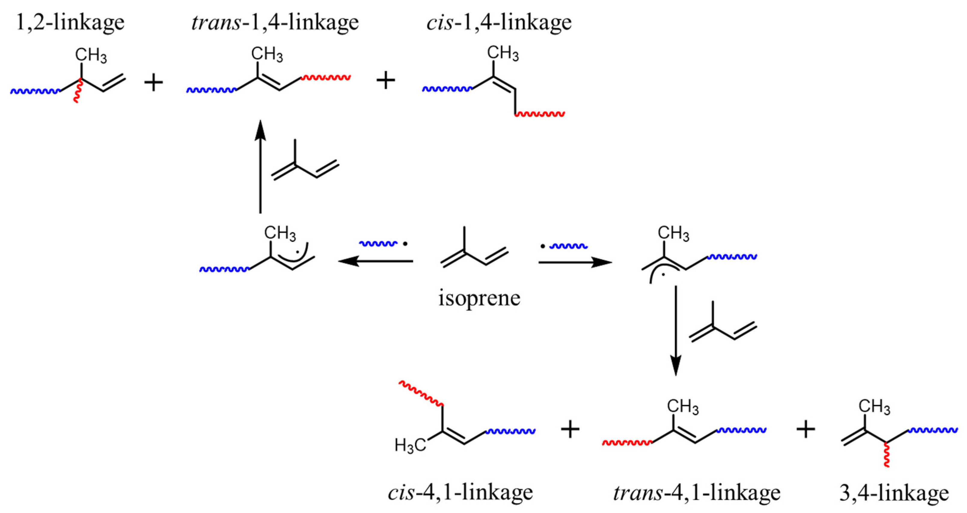
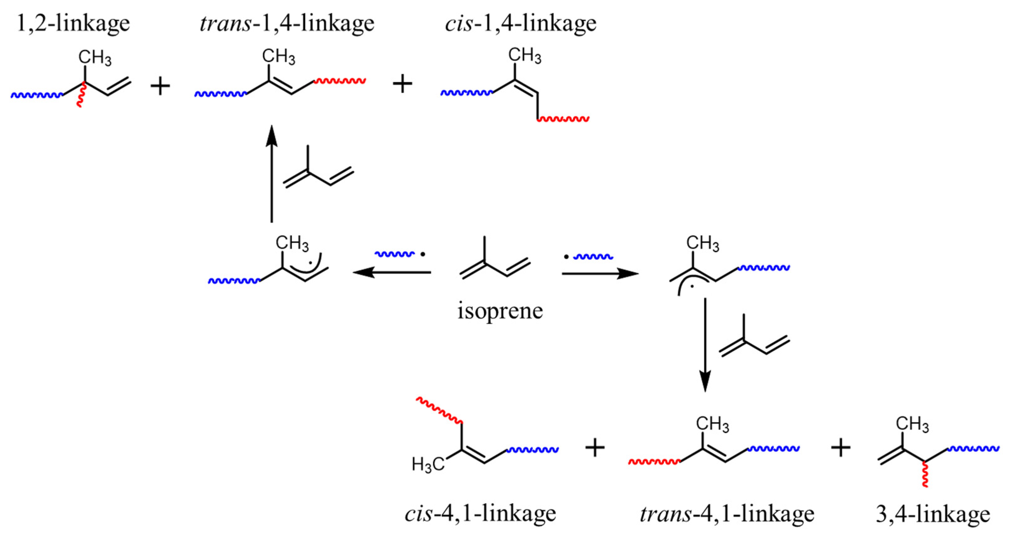
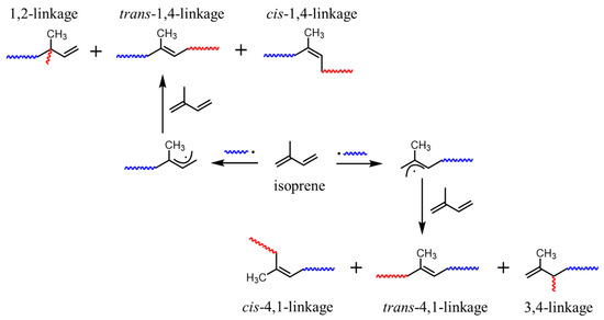
3.2.2. Characterization of the Molecular Structure of SIS
3.3. Characterization of SIS Linear and Star Triblock Copolymers
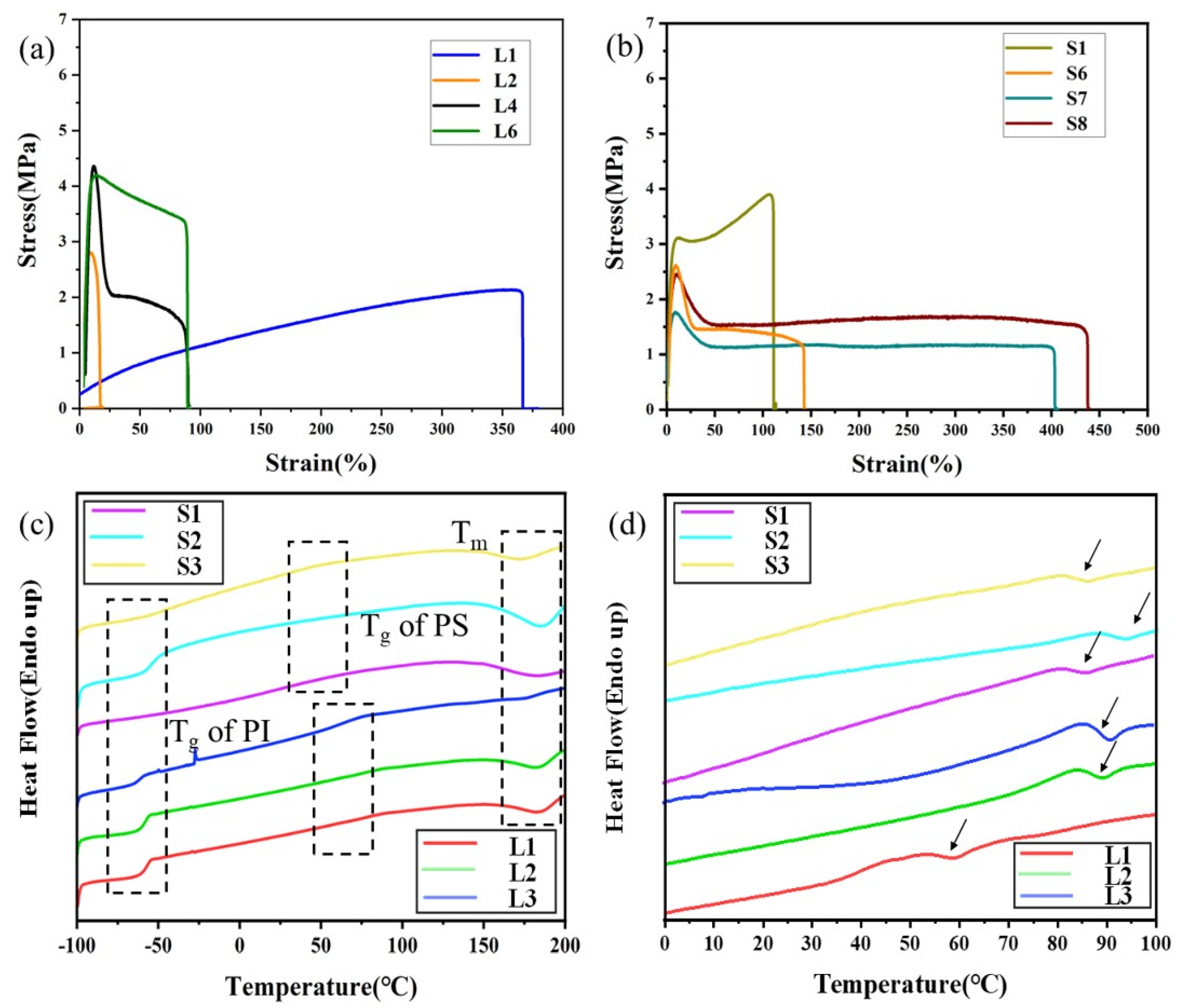
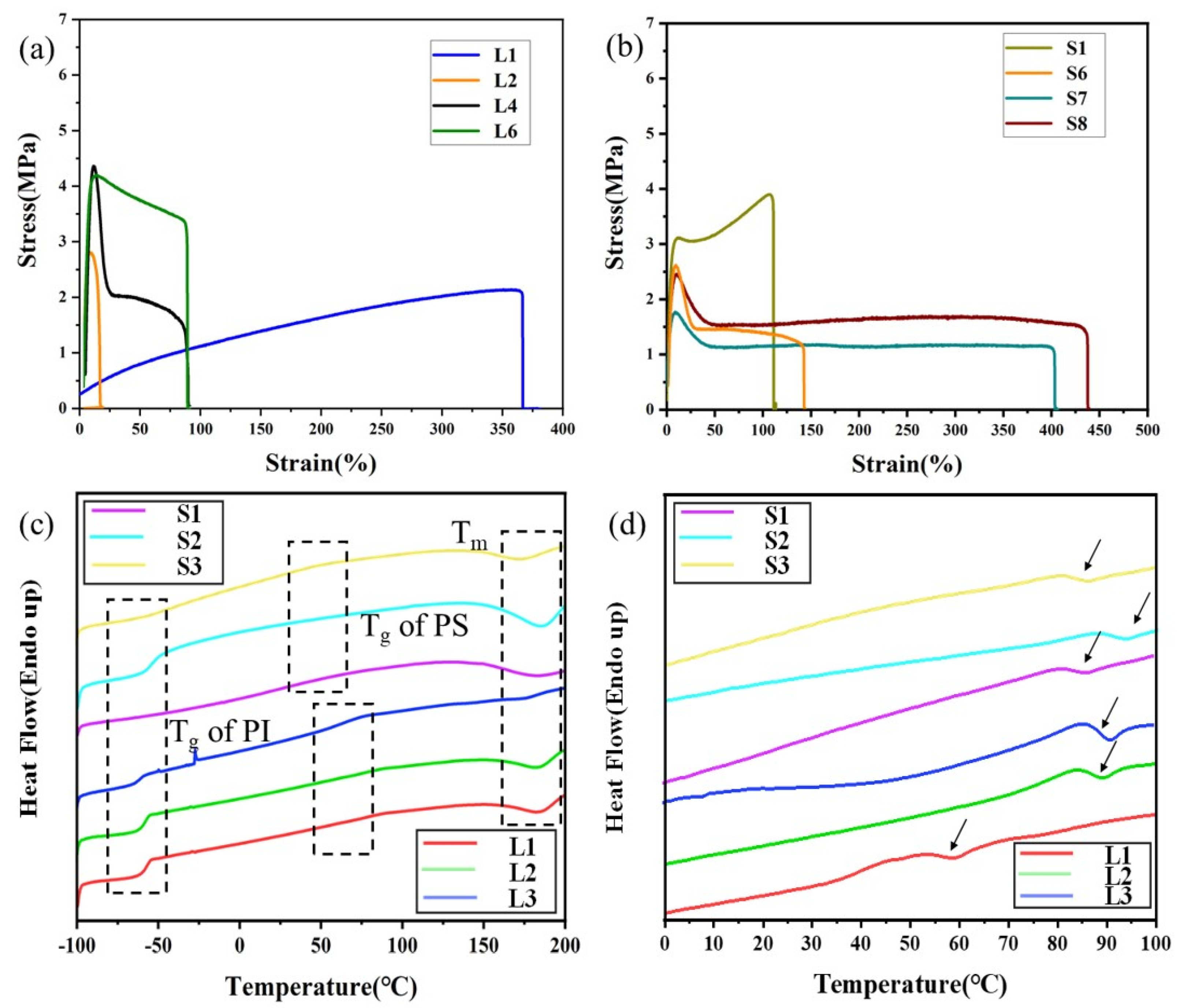
3.3.1. Thermal and Mechanical Properties
3.3.2. Morphology
4. Conclusions
Supplementary Materials
Author Contributions
Funding
Institutional Review Board Statement
Informed Consent Statement
Data Availability Statement
Acknowledgments
Conflicts of Interest
References
- Whelan, D. Thermoplastic Elastomers. In Brydson’s Plastics Materials; Butterworth-Heinemann: Woburn, MA, USA, 2017; pp. 653–703. [Google Scholar] [CrossRef]
- Bruder, U. Thermoplastic Elastomers. In User’s Guide to Plastic; Carl Hanser Verlag GmbH Co.: Munich, Germany, 2019; pp. 36–45. [Google Scholar] [CrossRef]
- Wang, W.; Lu, W.; Goodwin, A.; Wang, H.; Yin, P.; Kang, N.-G.; Hong, K.; Mays, J.W. Recent advances in thermoplastic elastomers from living polymerizations: Macromolecular architectures and supramolecular chemistry. Prog. Polym. Sci. 2019, 95, 1–31. [Google Scholar] [CrossRef]
- Hutchings, L.R.; Dodds, J.M.; Rees, D.; Kimani, S.M.; Wu, J.J.; Smith, E. HyperMacs to HyperBlocks: A Novel Class of Branched Thermoplastic Elastomer. Macromolecules 2009, 42, 8675–8687. [Google Scholar] [CrossRef]
- Petr, M.; Katzman, B.-a.; DiNatale, W.; Hammond, P.T. Synthesis of a New, Low-Tg Siloxane Thermoplastic Elastomer with a Functionalizable Backbone and Its Use as a Rapid, Room Temperature Photoactuator. Macromolecules 2013, 46, 2823–2832. [Google Scholar] [CrossRef]
- Wang, H.; Lu, W.; Wang, W.; Shah, P.N.; Misichronis, K.; Kang, N.G.; Mays, J.W. Design and Synthesis of Multigraft Copolymer Thermoplastic Elastomers: Superelastomers. Macromol. Chem. Phys. 2017, 219, 1700254–1700264. [Google Scholar] [CrossRef]
- Zhang, Z.-Y.; Zhang, Q.-K.; Shen, Z.; Yu, J.-P.; Wu, Y.-X.; Fan, X.-H. Synthesis and Characterization of New Liquid Crystalline Thermoplastic Elastomers Containing Mesogen-Jacketed Liquid Crystalline Polymers. Macromolecules 2016, 49, 475–482. [Google Scholar] [CrossRef]
- Zhang, Z.-Y.; Zhang, Q.-K.; Yu, J.-P.; Wu, Y.-X.; Shen, Z.; Fan, X.-H. Synthesis and properties of a new high-temperature liquid crystalline thermoplastic elastomer based on mesogen-jacketed liquid crystalline polymer. Polymer 2017, 108, 50–57. [Google Scholar] [CrossRef]
- Xie, H.-Q.; Pan, S.-B.; Guo, J.-S. Ring-opening copolymerization of epoxy-terminated polystyrene macromer with epichlorohydrin and study on properties of the copolymers. Eur. Polym. J. 2003, 39, 715–724. [Google Scholar] [CrossRef]
- Shin, J.; Lee, Y.; Tolman, W.B.; Hillmyer, M.A. Thermoplastic elastomers derived from menthide and tulipalin A. Biomacromolecules 2012, 13, 3833–3840. [Google Scholar] [CrossRef]
- Satoh, K. Controlled/living polymerization of renewable vinyl monomers into bio-based polymers. Polym. J. 2015, 47, 527–536. [Google Scholar] [CrossRef]
- Keles, E.; Hazer, B.; Comert, F.B. Synthesis of antibacterial amphiphilic elastomer based on polystyrene-block-polyisoprene-block-polystyrene via thiol-ene addition. Mater. Sci. Eng. C 2013, 33, 1061–1066. [Google Scholar] [CrossRef]
- Singha, N.K.; Choudhury, S.; Ponnupandian, S.; Mandal, P. Tuning Properties and Morphology in High Vinyl Content Sbs Block Copolymer, a Thermoplastic Elastomer Via Thiol-Ene Modification. Rubber Chem. Technol. 2017, 90, 550–561. [Google Scholar] [CrossRef]
- Braunecker, W.A.; Matyjaszewski, K. Controlled/living radical polymerization: Features, developments, and perspectives. Prog. Polym. Sci. 2007, 32, 93–146. [Google Scholar] [CrossRef]
- Chatterjee, D.P.; Mandal, B.M. The ATRP Synthesis of the Potential Thermoplastic Elastomer Poly(methyl methacrylate)–b-(lauryl methacrylate)-b-(methyl methacrylate) Hitherto Unrealized by Ionic Polymerization. Macromol. Symp. 2006, 240, 224–231. [Google Scholar] [CrossRef]
- Cui, L.; Tong, X.; Yan, X.; Liu, G.; Zhao, Y. Photoactive Thermoplastic Elastomers of Azobenzene-Containing Triblock Copolymers Prepared through Atom Transfer Radical Polymerization. Macromolecules 2004, 37, 7097–7104. [Google Scholar] [CrossRef]
- Wang, S.; Vajjala Kesava, S.; Gomez, E.D.; Robertson, M.L. Sustainable Thermoplastic Elastomers Derived from Fatty Acids. Macromolecules 2013, 46, 7202–7212. [Google Scholar] [CrossRef]
- Fonagy, T.; Iván, B.; Szesztay, M. New Thermoplastic Elastomers by Quasiliving Atom Transfer Free Radical Grafting. J. Reinf. Plast. Compos. 2002, 21, 1411–1419. [Google Scholar] [CrossRef]
- Yi; Fan, X.; Wan, X.; Li, L.; Zhao, N.; Chen, X.; Xu, J.; Zhou, Q.-F. ABA Type Triblock Copolymer Based on Mesogen-Jacketed Liquid Crystalline Polymer: Design, Synthesis, and Potential as Thermoplastic Elastomer. Macromolecules 2004, 37, 7610–7618. [Google Scholar] [CrossRef]
- Jeusette, M.; Leclère, P.; Lazzaroni, R.; Simal, F.; Vaneecke, J.; Lardot, T.; Roose, P. New “All-Acrylate” Block Copolymers: Synthesis and Influence of the Architecture on the Morphology and the Mechanical Properties. Macromolecules 2007, 40, 1055–1065. [Google Scholar] [CrossRef]
- Simal, F.; Jeusette, M.; Leclère, P.H.; Lazzaroni, R.; Roose, P. Adhesive properties of a radial acrylic block co-polymer with a rosin ester resin. J. Adhes. Sci. Technol. 2007, 21, 559–574. [Google Scholar] [CrossRef]
- Sonnier, R.; Leroy, E.; Clerc, L.; Bergeret, A.; Lopez-Cuesta, J.M.; Bretelle, A.S.; Ienny, P. Compatibilizing thermoplastic/ground tyre rubber powder blends: Efficiency and limits. Polym. Test. 2008, 27, 901–907. [Google Scholar] [CrossRef]
- Mosnáček, J.; Yoon, J.A.; Juhari, A.; Koynov, K.; Matyjaszewski, K. Synthesis, morphology and mechanical properties of linear triblock copolymers based on poly(α-methylene-γ-butyrolactone). Polymer 2009, 50, 2087–2094. [Google Scholar] [CrossRef]
- Schneider, Y.; Lynd, N.A.; Kramer, E.J.; Bazan, G.C. Novel Elastomers Prepared by Grafting n-Butyl Acrylate from Polyethylene Macroinitiator Copolymers. Macromolecules 2009, 42, 8763–8768. [Google Scholar] [CrossRef]
- Kurokawa, N.; Endo, F.; Bito, K.; Maeda, T.; Hotta, A. Antithrombogenic poly(2-methoxyethyl acrylate) elastomer via triblock copolymerization with poly(methyl methacrylate). Polymer 2021, 228, 123876–123887. [Google Scholar] [CrossRef]
- Cheng, S.; Beyer, F.L.; Mather, B.D.; Moore, R.B.; Long, T.E. Phosphonium-Containing ABA Triblock Copolymers: Controlled Free Radical Polymerization of Phosphonium Ionic Liquids. Macromolecules 2011, 44, 6509–6517. [Google Scholar] [CrossRef]
- Moad, G.; Rizzardo, E.; Thang, S.H. Living Radical Polymerization by the RAFT Process. Aust. J. Chem. 2005, 58, 379–410. [Google Scholar] [CrossRef]
- Moad, G.; Rizzardo, E.; Thang, S.H. Living Radical Polymerization by the RAFT Process—A Second Update. Aust. J. Chem. 2009, 62, 1402–1472. [Google Scholar] [CrossRef]
- Moad, G.; Rizzardo, E.; Thang, S.H. Living Radical Polymerization by the RAFT Process—A Third Update. Aust. J. Chem. 2012, 65, 985–1076. [Google Scholar] [CrossRef]
- Satoh, K.; Lee, D.H.; Nagai, K.; Kamigaito, M. Precision synthesis of bio-based acrylic thermoplastic elastomer by RAFT polymerization of itaconic acid derivatives. Macromol. Rapid Commun. 2014, 35, 161–167. [Google Scholar] [CrossRef]
- Hendrich, M.; Lewerdomski, L.; Vana, P. Biomimetic triblock and multiblock copolymers containing l-Phenylalanine moieties showing healing and enhanced mechanical properties. J. Polym. Sci. Part A Polym. Chem. 2015, 53, 2809–2819. [Google Scholar] [CrossRef]
- Gallagher, J.J.; Hillmyer, M.A.; Reineke, T.M. Acrylic Triblock Copolymers Incorporating Isosorbide for Pressure Sensitive Adhesives. ACS Sustain. Chem. Eng. 2016, 4, 3379–3387. [Google Scholar] [CrossRef]
- Wang, S.; Ding, W.; Yang, G.; Robertson, M.L. Biorenewable Thermoplastic Elastomeric Triblock Copolymers Containing Salicylic Acid-Derived End-Blocks and a Fatty Acid-Derived Midblock. Macromol. Chem. Phys. 2016, 217, 292–303. [Google Scholar] [CrossRef]
- Huang, Y.; Zheng, Y.; Sarkar, A.; Xu, Y.; Stefik, M.; Benicewicz, B.C. Matrix-Free Polymer Nanocomposite Thermoplastic Elastomers. Macromolecules 2017, 50, 4742–4753. [Google Scholar] [CrossRef]
- Jia, Y.; Wang, W.-J.; Li, B.-G.; Zhu, S. Design and Synthesis of Mechano-Responsive Color-Changing Thermoplastic Elastomer Based on Poly(n-Butyl Acrylate)-Spiropyran-Polystyrene Comb-Structured Graft Copolymers. Macromol. Mater. Eng. 2018, 303, 1800154. [Google Scholar] [CrossRef]
- Luo, Y.; Wang, X.; Zhu, Y.; Li, B.-G.; Zhu, S. Polystyrene-block-poly(n-butyl acrylate)-block-polystyrene Triblock Copolymer Thermoplastic Elastomer Synthesized via RAFT Emulsion Polymerization. Macromolecules 2010, 43, 7472–7481. [Google Scholar] [CrossRef]
- Wei, R.; Luo, Y.; Zeng, W.; Wang, F.; Xu, S. Styrene–Butadiene–Styrene Triblock Copolymer Latex via Reversible Addition–Fragmentation Chain Transfer Miniemulsion Polymerization. Ind. Eng. Chem. Res. 2012, 51, 15530–15535. [Google Scholar] [CrossRef]
- Wang, F.; Luo, Y.; Li, B.-G.; Zhu, S. Synthesis and Redispersibility of Poly(styrene-block-n-butyl acrylate) Core–Shell Latexes by Emulsion Polymerization with RAFT Agent–Surfactant Design. Macromolecules 2015, 48, 1313–1319. [Google Scholar] [CrossRef]
- Fang, J.; Wang, S.; Luo, Y. One-pot synthesis of octablock copolymers of high-molecular weight via RAFT emulsion polymerization. AlChE J. 2019, 66, 16781–16792. [Google Scholar] [CrossRef]
- Fang, J.; Gao, X.; Luo, Y. Synthesis of (hard-soft-hard)x multiblock copolymers via RAFT emulsion polymerization and mechanical enhancement via block architectures. Polymer 2020, 201, 122602–122610. [Google Scholar] [CrossRef]
- Ma, Z.; Xie, Y.; Mao, J.; Yang, X.; Li, T.; Luo, Y. Thermoplastic Dielectric Elastomer of Triblock Copolymer with High Electromechanical Performance. Macromol. Rapid Commun. 2017, 38, 1700268–1700273. [Google Scholar] [CrossRef]
- Jin, Y.; Gao, X.; Luo, Y. Dielectric elastomer film with anisotropic actuation deformation on film plane. J. Appl. Polym. Sci. 2019, 137, 48795–48800. [Google Scholar] [CrossRef]
- Xie, P.; Mao, J.; Luo, Y. Highly bright and stable electroluminescent devices with extraordinary stretchability and ultraconformability. J. Mater. Chem. C 2019, 7, 484–489. [Google Scholar] [CrossRef]
- Xiao, Y.; Mao, J.; Shan, Y.; Yang, T.; Chen, Z.; Zhou, F.; He, J.; Shen, Y.; Zhao, J.; Li, T.; et al. Anisotropic electroactive elastomer for highly maneuverable soft robotics. Nanoscale 2020, 12, 7514–7521. [Google Scholar] [CrossRef]
- Li, G.; Chen, X.; Zhou, F.; Liang, Y.; Xiao, Y.; Cao, X.; Zhang, Z.; Zhang, M.; Wu, B.; Yin, S.; et al. Self-powered soft robot in the Mariana Trench. Nature 2021, 591, 66–71. [Google Scholar] [CrossRef]
- He, J.; Chen, Z.; Xiao, Y.; Cao, X.; Mao, J.; Zhao, J.; Gao, X.; Li, T.; Luo, Y. Intrinsically Anisotropic Dielectric Elastomer Fiber Actuators. ACS Mater. Lett. 2022, 4, 472–479. [Google Scholar] [CrossRef]
- Dufour, B.; Koynov, K.; Pakula, T.; Matyjaszewski, K. PBA-PMMA 3-Arm Star Block Copolymer Thermoplastic Elastomers. Macromol. Chem. Phys. 2008, 209, 1686–1693. [Google Scholar] [CrossRef]
- Yu, J.; Wang, J.; Wang, C.; Liu, Y.; Xu, Y.; Tang, C.; Chu, F. UV-absorbent lignin-based multi-arm star thermoplastic elastomers. Macromol. Rapid Commun. 2015, 36, 398–404. [Google Scholar] [CrossRef]
- Li, H.; Wang, W.; Li, C.; Tan, J.; Yin, D.; Zhang, H.; Zhang, B.; Yin, C.; Zhang, Q. Synthesis and characterization of brush-like multigraft copolymers PnBA-g-PMMA by a combination of emulsion AGET ATRP and emulsion polymerization. J. Colloid Interface Sci. 2015, 453, 226–236. [Google Scholar] [CrossRef]
- Taton, D.; Gnanou, Y.; Matmour, R.; Angot, S.; Hou, S.; Francis, R.; Lepoittevin, B.; Moinard, D.; Babin, J. Controlled polymerizations as tools for the design of star-like and dendrimer-like polymers. Polym. Int. 2006, 55, 1138–1145. [Google Scholar] [CrossRef]
- Blencowe, A.; Tan, J.F.; Goh, T.K.; Qiao, G.G. Core cross-linked star polymers via controlled radical polymerisation. Polymer 2009, 50, 5–32. [Google Scholar] [CrossRef]
- Ren, J.M.; McKenzie, T.G.; Fu, Q.; Wong, E.H.; Xu, J.; An, Z.; Shanmugam, S.; Davis, T.P.; Boyer, C.; Qiao, G.G. Star Polymers. Chem. Rev. 2016, 116, 6743–6836. [Google Scholar] [CrossRef]
- Jitchum, V.; Perrier, S. Living Radical Polymerization of Isoprene via the RAFT Process. Macromolecules 2007, 40, 1408–1412. [Google Scholar] [CrossRef]
- Mei, H.; Mah, A.H.; Hu, Z.; Li, Y.; Terlier, T.; Stein, G.E.; Verduzco, R. Rapid Processing of Bottlebrush Coatings through UV-Induced Cross-Linking. ACS Macro Lett. 2020, 9, 1135–1142. [Google Scholar] [CrossRef] [PubMed]
- Mitra, I.; Li, X.; Pesek, S.L.; Makarenko, B.; Lokitz, B.S.; Uhrig, D.; Ankner, J.F.; Verduzco, R.; Stein, G.E. Thin Film Phase Behavior of Bottlebrush/Linear Polymer Blends. Macromolecules 2014, 47, 5269–5276. [Google Scholar] [CrossRef]
- Li, M.; De, P.; Gondi, S.R.; Sumerlin, B.S. End group transformations of RAFT-generated polymers with bismaleimides: Functional telechelics and modular block copolymers. J. Polym. Sci. Part A Polym. Chem. 2008, 46, 5093–5100. [Google Scholar] [CrossRef]
- Knoll, A.; Horvat, A.; Lyakhova, K.S.; Krausch, G.; Sevink, G.J.; Zvelindovsky, A.V.; Magerle, R. Phase behavior in thin films of cylinder-forming block copolymers. Phys. Rev. Lett. 2002, 89, 035501. [Google Scholar] [CrossRef]










| Entry | Polymer | wt%PS | Mn, NMR 1 | Mn, GPC 2 | Ð 2 | Ratio of PI (1,4) 1 | Ratio of PI (1,2) 1 | Ratio of PI (3,4) 1 |
|---|---|---|---|---|---|---|---|---|
| L1 | PS40-b-PI132-b-PS23 | 42 | 16,000 | 37,000 | 3.68 | 85 | 7 | 8 |
| L2 | PS22-b-PI70-b-PS24 | 51 | 10,000 | 51,800 | 1.75 | 87 | 7 | 6 |
| L3 | PS22-b-PI20-b-PS30 | 80 | 7200 | 32,200 | 1.54 | 88 | 6 | 6 |
| L4 | PS23-b-PI84-b-PS30 | 49 | 11,600 | 22,000 | 1.57 | 87 | 6 | 7 |
| L5 | PS23-b-PI84-b-PS60 | 60 | 14,800 | 45,000 | 2.23 | 90 | 5 | 5 |
| L6 | PS40-b-PI161-b-PS50 | 46 | 20,700 | 33,200 | 2.20 | 89 | 5 | 6 |
| S1 | star-(PS22-b-PI46)30 | 42 | - | 162,900 | 1.47 | 88 | 5 | 6 |
| S2 | star-(PS25-b-PI39)13 | 50 | - | 70,300 | 1.32 | 84 | 7 | 9 |
| S3 | star-(PS13-b-PI16)40 | 55 | - | 107,500 | 3.36 | 80 | 12 | 8 |
| S4 | star-(PS20-b-PI25)40 | 55 | - | 168,200 | 2.34 | 85 | 9 | 4 |
| S5 | star-(PS34-b-PI39)16 | 57 | - | 104,600 | 1.43 | 89 | 5 | 6 |
| S6 | star-(PS23-b-PI73)19 | 33 | - | 145,700 | 2.06 | 85 | 7 | 8 |
| S7 | star-(PS23-b-PI103)14 | 25 | - | 135,600 | 1.77 | 89 | 6 | 5 |
| S8 | star-(PS23-b-PI132)9 | 21 | - | 100,500 | 2.35 | 82 | 8 | 10 |
Disclaimer/Publisher’s Note: The statements, opinions and data contained in all publications are solely those of the individual author(s) and contributor(s) and not of MDPI and/or the editor(s). MDPI and/or the editor(s) disclaim responsibility for any injury to people or property resulting from any ideas, methods, instructions or products referred to in the content. |
© 2023 by the authors. Licensee MDPI, Basel, Switzerland. This article is an open access article distributed under the terms and conditions of the Creative Commons Attribution (CC BY) license (https://creativecommons.org/licenses/by/4.0/).
Share and Cite
Ge, H.; Shi, W.; He, C.; Feng, A.; Thang, S.H. Star-Shaped Thermoplastic Elastomers Prepared via RAFT Polymerization. Polymers 2023, 15, 2002. https://doi.org/10.3390/polym15092002
Ge H, Shi W, He C, Feng A, Thang SH. Star-Shaped Thermoplastic Elastomers Prepared via RAFT Polymerization. Polymers. 2023; 15(9):2002. https://doi.org/10.3390/polym15092002
Chicago/Turabian StyleGe, Hao, Wencheng Shi, Chen He, Anchao Feng, and San H. Thang. 2023. "Star-Shaped Thermoplastic Elastomers Prepared via RAFT Polymerization" Polymers 15, no. 9: 2002. https://doi.org/10.3390/polym15092002
APA StyleGe, H., Shi, W., He, C., Feng, A., & Thang, S. H. (2023). Star-Shaped Thermoplastic Elastomers Prepared via RAFT Polymerization. Polymers, 15(9), 2002. https://doi.org/10.3390/polym15092002

