Geant4 Simulation of the Effect of Different Composites on Polyimide Photon and Neutron Shielding Properties
Abstract
1. Introduction
2. Materials and Methods
2.1. Materials
2.2. Photon Attenuation
2.3. Neutron Attenuation
3. Results
3.1. Photon Shielding Properties
3.2. Neutron Shielding Properties
3.3. Polyimide with Composites
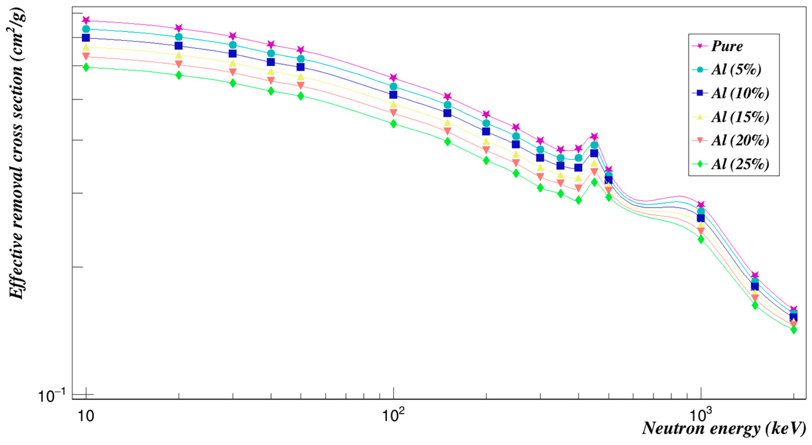
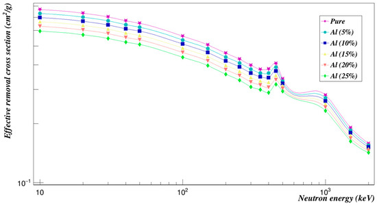
3.3.1. Aluminum
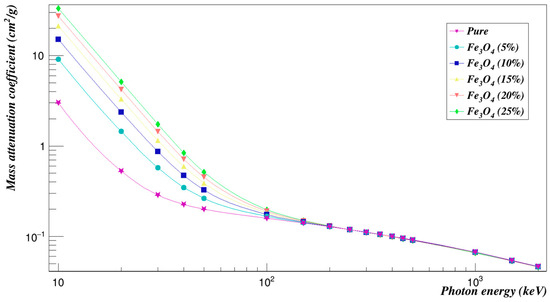
3.3.2. Iron Oxide
3.3.3. Zinc Oxide
3.3.4. Titanium Dioxide
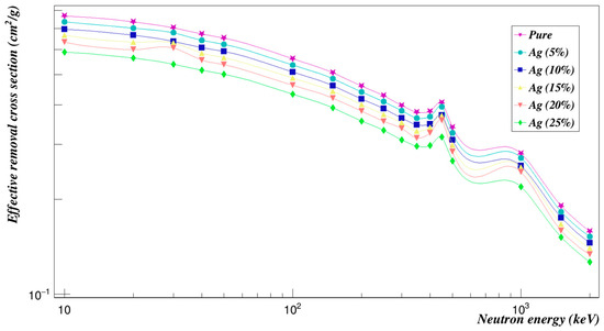
3.3.5. Silver
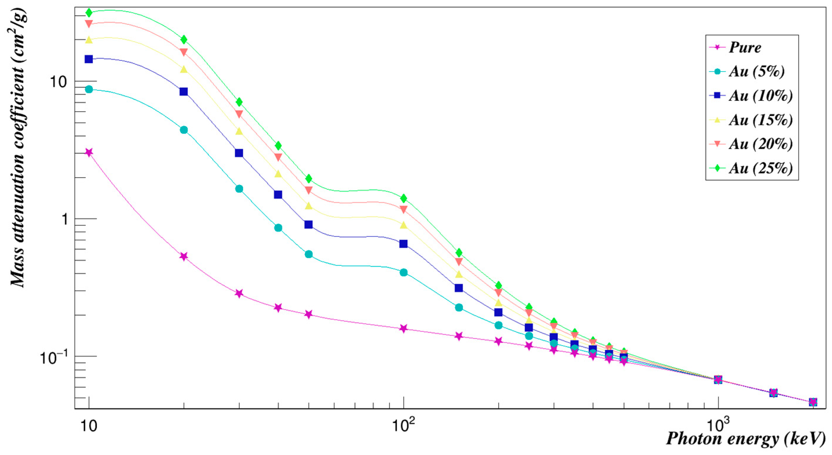
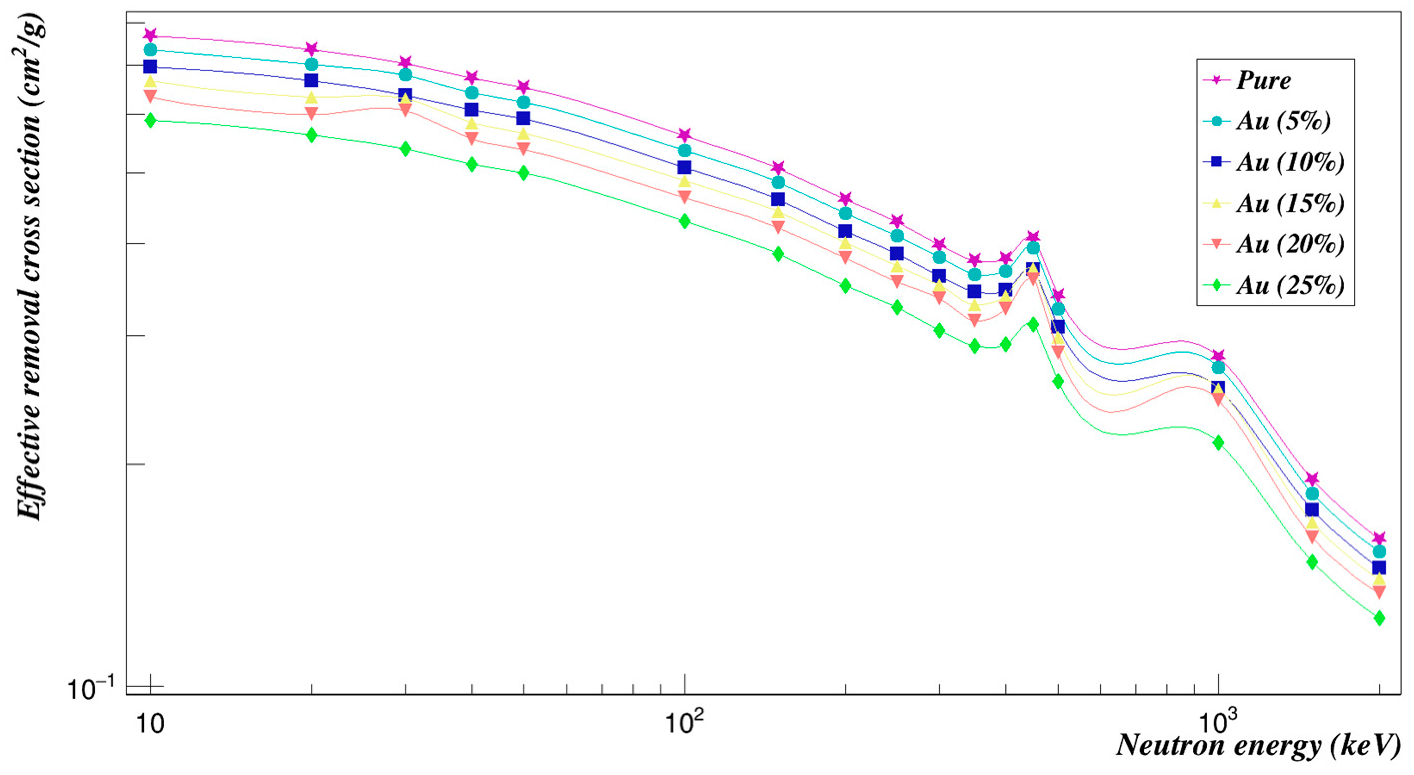
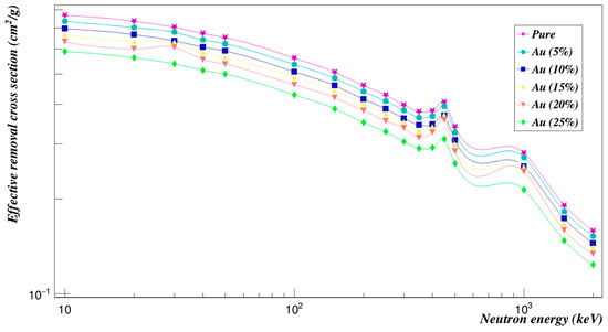
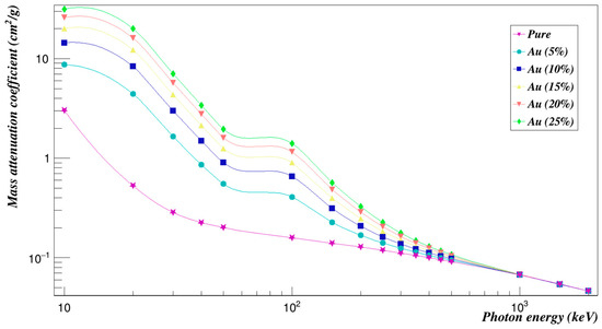
3.3.6. Gold
3.3.7. Comparison between All Studied Composites
4. Discussion
5. Conclusions
Author Contributions
Funding
Institutional Review Board Statement
Informed Consent Statement
Data Availability Statement
Conflicts of Interest
References
- Akhdar, H. Theoretical Investigation of Gamma- and Neutron-Shielding Properties of Polysulfone (PSU) Polymer Material Using geant4. Polymers 2022, 14, 3374. [Google Scholar] [CrossRef] [PubMed]
- Akhdar, H.; Marashdeh, M.W.; AlAqeel, M. Investigation of Gamma Radiation Shielding Properties of Polyethylene Glycol in the Energy Range from 8.67 to 23.19 Kev. Nucl. Eng. Technol. 2022, 54, 701–708. [Google Scholar] [CrossRef]
- Singh, T.; Kaur, U.; Singh, P.S. Photon Energy Absorption Parameters for Some Polymers. Ann. Nucl. Energy 2010, 37, 422–427. [Google Scholar] [CrossRef]
- Mehrara, R.; Malekie, S.; Kotahi, S.M.S.; Kashian, S. Introducing a Novel Low Energy Gamma Ray Shield Utilizing Polycarbonate Bismuth Oxide Composite. Sci. Rep. 2021, 11, 10614. [Google Scholar] [CrossRef]
- Akhdar, H. Theoretical Investigation of Fast Neutron and Gamma Radiation Properties of Polycarbonate-Bismuth Oxide Composites Using geant4. Nanomaterials 2022, 12, 3577. [Google Scholar] [CrossRef]
- Verny, L.; Ylla, N.; Da Cruz-Boisson, F.; Espuche, E.; Mercier, R.; Sudre, G.; Bounor-Legaré, V. Solvent-Free Reactive Extrusion as an Innovative and Efficient Process for the Synthesis of Polyimides. Ind. Eng. Chem. Res. 2020, 59, 16191–16204. [Google Scholar] [CrossRef]
- Liu, Y.-W.; Tang, L.-S.; Qu, L.-J.; Liu, S.-W.; Chi, Z.-G.; Zhang, Y.; Xu, G.-R. Synthesis and Properties of High Performance Functional Polyimides Containing Rigid Nonplanar Conjugated Fluorene Moieties. Chin. J. Polym. Sci. 2019, 37, 416–427. [Google Scholar] [CrossRef]
- Liaw, D.-J.; Wang, K.-L.; Huang, Y.C.; Lee, K.R.; Lai, J.Y.; Ha, C.S. Advanced Polyimide Materials: Syntheses, Physical Properties and Applications. Prog. Polym. Sci. 2012, 37, 907–974. [Google Scholar] [CrossRef]
- Kaçal, M.R.; Akman, F.; Sayyed, M.I. Evaluation of Gamma-Ray and Neutron Attenuation Properties of Some Polymers. Nucl. Eng. Technol. 2019, 51, 818–824. [Google Scholar] [CrossRef]
- Mann, H.S.; Brar, G.S.; Mudahar, G.S. Gamma-Ray Shielding Effectiveness of Novel Light-Weight Clay-Flyash Bricks. Radiat. Phys. Chem. 2016, 127, 97–101. [Google Scholar] [CrossRef]
- Hubbell, J.H. Photon Mass Attenuation and Energy-Absorption Coefficients. Int. J. Appl. Radiat. Isot. 1982, 33, 1269–1290. [Google Scholar] [CrossRef]
- Kaewkhao, J.; Laopaiboon, J.; Chewpraditkul, W. Determination of Effective Atomic Numbers and Effective Electron Densities for Cu/Zn Alloy. J. Quant. Spectrosc. Radiat. Transf. 2008, 109, 1260–1265. [Google Scholar] [CrossRef]
- Un, A.; Faruk, D. Determination of Mass Attenuation Coefficients, Effective Atomic Numbers and Effective Electron Numbers for Heavy-Weight and Normal-Weight Concretes. Appl. Radiat. Isot. 2013, 80, 73–77. [Google Scholar] [CrossRef] [PubMed]
- Singh, K.; Singh, H.; Sharma, V.; Nathuram, R.; Khanna, A.; Kumar, R.; Bhatti, S.S.; Sahota, H.S. Gamma-Ray Attenuation Coefficients in Bismuth Borate Glasses. Nucl. Instrum. Methods Phys. Res. Sect. B Beam Interact. Mater. At. 2002, 194, 1–6. [Google Scholar] [CrossRef]
- Olukotun, S.F.; Mann, K.S.; Gbenu, S.T.; Ibitoye, F.I.; Oladejo, O.F.; Joshi, A.; Tekin, H.O.; Sayyed, M.I.; Fasasi, M.K.; Balogun, F.A.; et al. Neutron-Shielding Behaviour Investigations of Some Clay-Materials. Nucl. Eng. Technol. 2019, 51, 1444–1450. [Google Scholar] [CrossRef]
- Singh Mann, K. Toolkit for Fast Neutron Removal Cross-Section. In Proceedings of the 3rd International Conference Advancements in Engineering and Technology, Kuantan, Malaysia, 18–19 August 2015; Bhai Gurdas Institute of Engineering and Technology: Punjab, India, 2015. [Google Scholar]
- Ivanchenko, V. Geant4 toolkit for simulation of HEP experiments. Nuclear Instruments and Methods in Physics Research Section 257 A: Accelerators, Spectrometers. Detect. Assoc. Equip. 2003, 502, 666–668. [Google Scholar] [CrossRef]
- Hila, F.C.; Asuncion-Astronomo, A.; Dingle, C.A.M.; Jecong, J.F.M.; Javier-Hila, A.M.V.; Gili, M.B.Z.; Balderas, C.V.; Lopez, G.E.P.; Guillermo, N.R.D.; Amorsolo, A.V., Jr. EpiXS: A Windows-based program for photon attenuation, 254 dosimetry and shielding based on EPICS2017 (ENDF/B-VIII) and EPDL97 (ENDF/B-VI.8). Radiat. Phys. Chem. 2021, 182, 109331. [Google Scholar] [CrossRef]
- Uddin, Z.; Yasin, T.; Shafiq, M.; Raza, A.; Zahur, A. On the Physical, Chemical, and Neutron Shielding Properties of Polyethylene/Boron Carbide Composites. Radiat. Phys. Chem. 2020, 166, 108450. [Google Scholar] [CrossRef]
- Huang, X.Y.; Jiang, P.K.; Kim, C.U. Electrical Properties of Polyethylene/Aluminum Nanocomposites. J. Appl. Phys. 2007, 102, 124103. [Google Scholar] [CrossRef]
- Huang, X.; Kim, C.; Jiang, P.; Yin, Y.; Li, Z. Influence of Aluminum Nanoparticle Surface Treatment on the Electrical Properties of Polyethylene Composites. J. Appl. Phys. 2009, 105, 014105. [Google Scholar] [CrossRef]
- Brun, R.; Rademakers, F. ROOT—An object oriented data analysis framework. Nucl. Instrum. Methods Phys. Res. Sect. A Accel. Spectrometers Detect. Assoc. Equip. 1997, 389, 81–86. [Google Scholar] [CrossRef]
- Wang, L.; Qiu, H.; Liang, C.; Song, P.; Han, Y.; Han, Y.; Gu, J.; Kong, J.; Pan, D.; Guo, Z. Electromagnetic Interference Shielding MWCNT-Fe3O4@Ag/Epoxy Nanocomposites with Satisfactory Thermal Conductivity and High Thermal Stability. Carbon 2019, 141, 506–514. [Google Scholar] [CrossRef]
- Badawy, S.M.; Abd El-Latif, A.A. Synthesis and Characterizations of Magnetite Nanocomposite Films for Radiation Shielding. Polym. Compos. 2015, 38, 974–980. [Google Scholar] [CrossRef]
- Kubiak, A.; Kubacka, M.; Gabala, E.; Anna, D.; Karol, S.; Katarzyna, S.C.; Katarzyna, C.; Teofil, J. Hydrothermally Assisted Fabrication of Tio2-Fe3O4 Composite Materials and Their Antibacterial Activity. Materials 2020, 13, 4715. [Google Scholar] [CrossRef] [PubMed]
- Khalaf, M.A.; Cheah, C.B.; Ramli, M.; Ahmed, N.M.; Al-Shwaiter, A. Effect of Nano Zinc Oxide and Silica on Mechanical, Fluid Transport and Radiation Attenuation Properties of Steel Furnace Slag Heavyweight Concrete. Constr. Build. Mater. 2021, 274, 121785. [Google Scholar] [CrossRef]
- Abbas, M.I.; Alahmadi, A.H.; Elsafi, M.; Alqahtani, S.A.; Yasmin, S.; Sayyed, M.I.; Gouda, M.M.; Ahmed, M.E. Effect of Kaolin Clay and Zno-Nanoparticles on the Radiation Shielding Properties of Epoxy Resin Composites. Polymers 2022, 14, 4801. [Google Scholar] [CrossRef]
- Nikbin, I.M.; Mohebbi, R.; Dezhampanah, S.; Mehdipour, S.; Mohammadi, R.; Nejat, T. Gamma Ray Shielding Properties of Heavy-Weight Concrete Containing Nano-tio2. Radiat. Phys. Chem. 2019, 162, 157–167. [Google Scholar] [CrossRef]
- Rachel, R.; Vidhya, J.; Azhagarasan, N.S.; Jayakrishnakumar, S.; Hariharan, R. Evaluation of the Effect of Titanium Dioxide and Gold Nanoparticles Surface Treatment on the Flexural Strength of Polymethyl Methacrylate Heat Cure Denture Base Resin. J. Clin. Adv. Dent. 2022, 6, 1–9. [Google Scholar] [CrossRef]
- Gonon, P.; Boudefel, A. Electrical Properties of Epoxy/Silver Nanocomposites. J. Appl. Phys. 2006, 99, 024308. [Google Scholar] [CrossRef]
- Abdali, K. Crystal Structural, Morphological and Gamma Ray Shielding (γ-S) Efficiency of PVA/PAAM/PAA Polymer Blend Loaded with Silver Nanoparticles via Casting Method. Res. Sq. 2021, preprint. [Google Scholar] [CrossRef]
- Köroğlu, A.; Şahin, O.; Kürkçüoğlu, I.; Ömür Dede, D.; Özdemir, T.; Hazer, B. Silver Nanoparticle Incorporation Effect on Mechanical and Thermal Properties of Denture Base Acrylic Resins. J. Appl. Oral Sci. 2016, 24, 590–596. [Google Scholar] [CrossRef] [PubMed]
- Jeon, H.; Kangtaek, L. Effect of Gold Nanoparticle Morphology on Thermal Properties of Polyimide Nanocomposite Films. Colloids Surf. A Physicochem. Eng. Asp. 2019, 579, 123651. [Google Scholar] [CrossRef]
- Li, J.; Liu, H.; Hu, Z.; Wang, Z.; Wang, B.; Liu, L.; Huang, Y.; Guo, Z. Flexible, Conductive, Porous, Fibrillar Polymer–Gold Nanocomposites with Enhanced Electromagnetic Interference Shielding and Mechanical Properties. J. Mater. Chem. C 2017, 5, 1095–1105. [Google Scholar] [CrossRef]



















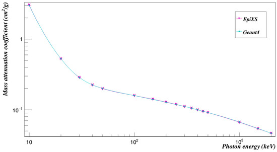
| Photon Energy (keV) | HVL (cm) | ||
|---|---|---|---|
| EpiXS | Geant4 | % ∆ | |
| 10 | 0.19040 | 0.1918 | −0.74% |
| 20 | 1.09314 | 1.0942 | −0.10% |
| 30 | 2.01375 | 2.0197 | −0.30% |
| 40 | 2.56578 | 2.5672 | −0.06% |
| 50 | 2.89111 | 2.8809 | 0.35% |
| 100 | 3.63350 | 3.6386 | −0.14% |
| 150 | 4.09191 | 4.1185 | −0.65% |
| 200 | 4.48423 | 4.5156 | −0.70% |
| 250 | 4.84129 | 4.8642 | −0.47% |
| 300 | 5.17144 | 5.1843 | −0.25% |
| 350 | 5.48591 | 5.4838 | 0.04% |
| 400 | 5.77899 | 5.7714 | 0.13% |
| 450 | 6.06421 | 6.0431 | 0.35% |
| 500 | 6.33206 | 6.3013 | 0.49% |
| 1000 | 8.67631 | 8.6105 | 0.76% |
| 1500 | 10.6646 | 10.6311 | 0.31% |
| 2000 | 12.4339 | 12.4220 | 0.10% |
| Photon Energy (keV) | Effective Atomic Number (Zeff) | ||
|---|---|---|---|
| EpiXS | Geant4 | % ∆ | |
| 10 | 5.81050 | 6.41677 | −10.43% |
| 20 | 5.57293 | 5.54240 | 0.55% |
| 30 | 5.15411 | 4.87071 | 5.50% |
| 40 | 4.80646 | 4.59039 | 4.50% |
| 50 | 4.61173 | 4.47689 | 2.92% |
| 100 | 4.36176 | 4.30716 | 1.25% |
| 150 | 4.32577 | 4.26577 | 1.39% |
| 200 | 4.31508 | 4.25744 | 1.34% |
| 250 | 4.31026 | 4.26223 | 1.11% |
| 300 | 4.30772 | 4.27016 | 0.87% |
| 350 | 4.30606 | 4.28162 | 0.57% |
| 400 | 4.30493 | 4.28786 | 0.40% |
| 450 | 4.30427 | 4.29682 | 0.17% |
| 500 | 4.30383 | 4.30007 | 0.09% |
| 1000 | 4.30232 | 4.30941 | −0.16% |
| 1500 | 4.30380 | 3.39023 | 21.23% |
| 2000 | 4.31066 | 3.38299 | 21.52% |
| Photon Energy (keV) | The Effective Electron Density Neff (×1023 Electrons g−1) | ||
|---|---|---|---|
| EpiXS | Geant4 | % ∆ | |
| 10 | 4.28027 | 4.72666 | −10.43% |
| 20 | 4.10527 | 4.08259 | 0.55% |
| 30 | 3.79675 | 3.58781 | 5.50% |
| 40 | 3.54065 | 3.38133 | 4.50% |
| 50 | 3.39721 | 3.29772 | 2.93% |
| 100 | 3.21306 | 3.1727 | 1.26% |
| 150 | 3.18656 | 3.14221 | 1.39% |
| 200 | 3.17868 | 3.13607 | 1.34% |
| 250 | 3.17513 | 3.1396 | 1.12% |
| 300 | 3.17325 | 3.14544 | 0.88% |
| 350 | 3.17204 | 3.15388 | 0.57% |
| 400 | 3.17120 | 3.15848 | 0.40% |
| 450 | 3.17071 | 3.16508 | 0.18% |
| 500 | 3.17039 | 3.16748 | 0.09% |
| 1000 | 3.16928 | 3.17436 | −0.16% |
| 1500 | 3.17037 | 2.49728 | 21.23% |
| 2000 | 3.17542 | 2.49194 | 21.52% |
| Neutron Energy (keV) | The Neutron Effective Removal Cross-Sections (cm2/g) | Neutron Energy (keV) | The Neutron Effective Removal Cross-Sections (cm2/g) |
|---|---|---|---|
| 10 | 0.76887 | 300 | 0.39868 |
| 20 | 0.73592 | 350 | 0.37957 |
| 30 | 0.70413 | 400 | 0.38153 |
| 40 | 0.67230 | 450 | 0.40726 |
| 50 | 0.65358 | 500 | 0.33969 |
| 100 | 0.56134 | 1000 | 0.28019 |
| 150 | 0.50720 | 1500 | 0.19076 |
| 200 | 0.45903 | 2000 | 0.15843 |
| 250 | 0.42839 |
Disclaimer/Publisher’s Note: The statements, opinions and data contained in all publications are solely those of the individual author(s) and contributor(s) and not of MDPI and/or the editor(s). MDPI and/or the editor(s) disclaim responsibility for any injury to people or property resulting from any ideas, methods, instructions or products referred to in the content. |
© 2023 by the authors. Licensee MDPI, Basel, Switzerland. This article is an open access article distributed under the terms and conditions of the Creative Commons Attribution (CC BY) license (https://creativecommons.org/licenses/by/4.0/).
Share and Cite
Akhdar, H.; Alotaibi, R. Geant4 Simulation of the Effect of Different Composites on Polyimide Photon and Neutron Shielding Properties. Polymers 2023, 15, 1973. https://doi.org/10.3390/polym15081973
Akhdar H, Alotaibi R. Geant4 Simulation of the Effect of Different Composites on Polyimide Photon and Neutron Shielding Properties. Polymers. 2023; 15(8):1973. https://doi.org/10.3390/polym15081973
Chicago/Turabian StyleAkhdar, Hanan, and Rawan Alotaibi. 2023. "Geant4 Simulation of the Effect of Different Composites on Polyimide Photon and Neutron Shielding Properties" Polymers 15, no. 8: 1973. https://doi.org/10.3390/polym15081973
APA StyleAkhdar, H., & Alotaibi, R. (2023). Geant4 Simulation of the Effect of Different Composites on Polyimide Photon and Neutron Shielding Properties. Polymers, 15(8), 1973. https://doi.org/10.3390/polym15081973

