Numerical Modeling of the Mixing of Highly Viscous Polymer Suspensions in Partially Filled Sigma Blade Mixers
Abstract
1. Introduction
2. Materials and Methods
2.1. Experiments
2.2. Numerical Model
3. Results and Discussion
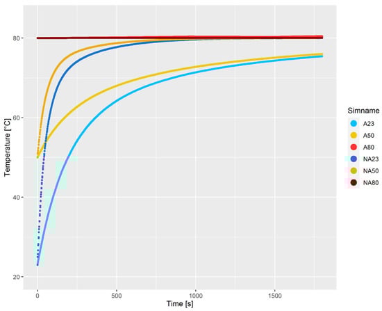
3.1. Calibration
3.2. Temperature Distribution
3.3. Velocity Field
3.4. Dispersive Mixing
3.5. Distributive Mixing
4. Conclusions
Author Contributions
Funding
Institutional Review Board Statement
Informed Consent Statement
Data Availability Statement
Acknowledgments
Conflicts of Interest
References
- Lacey, P.M.C. Developments in the theory of particle mixing. J. Appl. Chem. 2007, 4, 257–268. [Google Scholar] [CrossRef]
- Danckwerts, P.V. Theory of mixtures and mixing. In Insights Into Chemical Engineering; Elsevier: Amsterdam, The Netherlands, 1981; pp. 262–268. [Google Scholar] [CrossRef]
- Abdillah, L.H.; Winardi, S.; Sumarno, S.; Nurtono, T. Effect of Mixing Time to Homogeneity of Propellant Slurry. IPTEK J. Proc. Ser. 2018, 4, 94. [Google Scholar] [CrossRef]
- Yang, M.; Li, X.; Shi, T.; Yang, S. Mixture homogeneity in a high-viscous flow mixer. Nongye Gongcheng Xuebao/Trans. Chin. Soc. Agric. Eng. 2011, 27, 137–142. [Google Scholar] [CrossRef]
- Watano, S. Powder Technology Handbook, 4th ed.; Higashitani, K., Makino, H., Matsusaka, S., Eds.; CRC Press: Boca Raton, FL, USA, 2019; pp. 401–409. [Google Scholar] [CrossRef]
- Manas-Zloczower, I.; Cheng, H. Analysis of mixing efficiency in polymer processing equipment. Macromol. Symp. 1996, 112, 77–84. [Google Scholar] [CrossRef]
- Wang, W.; Manas-Zloczower, I. Temporal distributions: The basis for the development of mixing indexes for scale-up of polymer processing equipment. Polym. Eng. Sci. 2001, 41, 1068–1077. [Google Scholar] [CrossRef]
- Cheng, H.; Manas-Zloczower, I. Chaotic Features of Flow in Polymer Processing Equipment-Relevance to Distributive Mixing. Int. Polym. Process. 1997, 12, 83–91. [Google Scholar] [CrossRef]
- Manas-Zloczower, I.; Feke, D.L. Analysis of Agglomerate Rupture in Linear Flow Fields. Int. Polym. Process. 1989, 4, 3–8. [Google Scholar] [CrossRef]
- Yang, H.-H.; Manas-Zloczower, I. Analysis of Mixing Performance in a VIC Mixer. Int. Polym. Process. 1994, 9, 291–302. [Google Scholar] [CrossRef]
- Yang, H.-H.; Manas-Zloczower, I. Flow field analysis of the kneading disc region in a co-rotating twin screw extruder. Polym. Eng. Sci. 1992, 32, 1411–1417. [Google Scholar] [CrossRef]
- Ahmed, I.; Chandy, A.J. 3D numerical investigations of the effect of fill factor on dispersive and distributive mixing of rubber under non-isothermal conditions. Polym. Eng. Sci. 2018, 59, 535–546. [Google Scholar] [CrossRef]
- Wang, J.; Tan, G.; Wang, J.; Feng, L.-F. Numerical study on flow, heat transfer and mixing of highly viscous non-newtonian fluid in Sulzer mixer reactor. Int. J. Heat Mass Transf. 2021, 183, 122203. [Google Scholar] [CrossRef]
- Pandey, V.; Maia, J.M. Comparative computational analysis of dispersive mixing in extension-dominated mixers for single-screw extruders. Polym. Eng. Sci. 2020, 60, 2390–2402. [Google Scholar] [CrossRef]
- Marschik, C.; Osswald, T.A.; Roland, W.; Albrecht, H.; Skrabala, O.; Miethlinger, J. Numerical analysis of mixing in block-head mixing screws. Polym. Eng. Sci. 2018, 59, E88–E104. [Google Scholar] [CrossRef]
- Danda, C.; Pandey, V.; Schneider, T.; Norman, R.; Maia, J.M. Enhanced Dispersion and Mechanical Behavior of Polypropylene Composites Compounded Using Extension-Dominated Extrusion. Int. Polym. Process. 2020, 35, 281–301. [Google Scholar] [CrossRef]
- Ahmed, I.; Poudyal, H.; Chandy, A.J. Fill Factor Effects in Highly-Viscous Non-Isothermal Rubber Mixing Simulations. Int. Polym. Process. 2019, 34, 182–194. [Google Scholar] [CrossRef]
- Cheng, W.; Xin, S.; Chen, S.; Zhang, X.; Chen, W.; Wang, J.; Feng, L. Hydrodynamics and mixing process in a horizontal self-cleaning opposite-rotating twin-shaft kneader. Chem. Eng. Sci. 2021, 241, 116700. [Google Scholar] [CrossRef]
- Danckwerts, P.V. The definition and measurement of some characteristics of mixtures. Appl. Sci. Res. Sect. A 1952, 3, 279–296. [Google Scholar] [CrossRef]
- Connelly, R.K.; Kokini, J.L. Examination of the mixing ability of single and twin screw mixers using 2D finite element method simulation with particle tracking. J. Food Eng. 2007, 79, 956–969. [Google Scholar] [CrossRef]
- Lacey, P. The mixing of solid particles. Chem. Eng. Res. Des. 1997, 75, S49–S55. [Google Scholar] [CrossRef]
- Kramer, H.A. Effect of Grain Velocity and Flow Rate Upon the Performance of a Diverter-Type Sampler; U.S. Dept. of Agriculture, Agricultural Research Service: Washington, DC, USA, 1968.
- Ashton, M.D.; Valentin, F.H.H. The mixing of powders and particles in industrial mixers. Trans. Inst. Chem. Eng. 1966, 44, 166–188. [Google Scholar]
- Ferry, J.D.; Parks, G.S. Viscous Properties of Polyisobutylene. Physics 1935, 6, 356–362. [Google Scholar] [CrossRef]
- Bird, R.B.; Stewart, W.E.; Lightfoot, E.N. Transport Phenomena; John Wiley & Sons, Inc.: Hoboken, NJ, USA, 2007. [Google Scholar]
- Wang, G.; He, Y.; Zhu, X. Numerical Simulation of Temperature and Mixing Performances of Tri-screw Extruders with Non-isothermal Modeling. Res. J. Appl. Sci. Eng. Technol. 2013, 5, 3393–3401. [Google Scholar] [CrossRef]
- Tomar, A.S.; Harish, K.G.; Prakash, K.A. Numerical estimation of thermal load in a three blade vertically agitated mixer. E3S Web Conf. 2019, 128, 08004. [Google Scholar] [CrossRef]
- Parker, N.H. How to select double-arm mixers. Chem. Eng. 1965, 72, 121–128. [Google Scholar]
- Paul, E.L.; Atiemo-Obeng, V.A.; Kresta, S.M. 16. Mixing of Highly Viscous Fluids, Polymers, and Pastes. In Handbook of Industrial Mixing-Science and Practice; John Wiley & Sons: Hoboken, NJ, USA, 2004; pp. 987–1025. Available online: https://app.knovel.com/hotlink/khtml/id:kt007EO511/handbook-industrial-mixing/mixing-highly-viscous (accessed on 10 March 2023).
- Connelly, R.K.; Kokini, J.L. 3D numerical simulation of the flow of viscous newtonian and shear thinning fluids in a twin sigma blade mixer. Adv. Polym. Technol. 2006, 25, 182–194. [Google Scholar] [CrossRef]
- Connelly, R.K.; Kokini, J.L. Mixing simulation of a viscous Newtonian liquid in a twin sigma blade mixer. AIChE J. 2006, 52, 3383–3393. [Google Scholar] [CrossRef]
- Spangenberg, J.; Scherer, G.W.; Hopkins, A.B.; Torquato, S. Viscosity of bimodal suspensions with hard spherical particles. J. Appl. Phys. 2014, 116, 184902. [Google Scholar] [CrossRef]
- Jabbari, M.; Spangenberg, J.; Hattel, J.H. Particle migration using local variation of the viscosity (LVOV) model in flow of a non-Newtonian fluid for ceramic tape casting. Chem. Eng. Res. Des. 2016, 109, 226–233. [Google Scholar] [CrossRef]
- Venkataraman, R.M.M.; Mishra, R.; Militky, J. Comparative Analysis of High Performance Thermal Insulation Materials. J. Text. Eng. Fash. Technol. 2017, 2, 1–10. [Google Scholar] [CrossRef]
- Jacobsen, S.; Cepuritis, R.; Peng, Y.; Geiker, M.R.; Spangenberg, J. Visualizing and simulating flow conditions in concrete form filling using pigments. Constr. Build. Mater. 2013, 49, 328–342. [Google Scholar] [CrossRef]
- Spangenberg, J.; Roussel, N.; Hattel, J.H.; Thorborg, J.; Geiker, M.R.; Stang, H.; Skocek, J. Prediction of the Impact of Flow-Induced Inhomogeneities in Self-Compacting Concrete (SCC). In Design, Production and Placement of Self-Consolidating Concrete; Springer: Dordrecht, The Netherlands, 2010; pp. 209–215. [Google Scholar] [CrossRef]
- Comminal, R.; da Silva, W.R.L.; Andersen, T.J.; Stang, H.; Spangenberg, J. Influence of Processing Parameters on the Layer Geometry in 3D Concrete Printing: Experiments and Modelling; Springer: Cham, Switzerland, 2020; pp. 852–862. [Google Scholar] [CrossRef]
- Mollah, T.; Comminal, R.; Serdeczny, M.P.; Pedersen, D.B.; Spangenberg, J. Stability and deformations of deposited layers in material extrusion additive manufacturing. Addit. Manuf. 2021, 46, 102193. [Google Scholar] [CrossRef]
- Hirt, C.W.; Nichols, B.D. Volume of fluid (VOF) method for the dynamics of free boundaries. J. Comput. Phys. 1981, 39, 201–225. [Google Scholar] [CrossRef]











| Name of the Property | Values | Unit |
|---|---|---|
| Density | ||
| Heat capacity | ||
| Heat conductivity |
| Symbol | Value | Unit |
|---|---|---|
| 1 | ||
| - | ||
| - | ||
| 20 | ||
| 1 |
| Simulation ID | Boundary Condition | Initial Condition | Simulation Time |
|---|---|---|---|
| Adiabatic | |||
| Adiabatic | |||
| Adiabatic | |||
| Adiabatic | |||
Disclaimer/Publisher’s Note: The statements, opinions and data contained in all publications are solely those of the individual author(s) and contributor(s) and not of MDPI and/or the editor(s). MDPI and/or the editor(s) disclaim responsibility for any injury to people or property resulting from any ideas, methods, instructions or products referred to in the content. |
© 2023 by the authors. Licensee MDPI, Basel, Switzerland. This article is an open access article distributed under the terms and conditions of the Creative Commons Attribution (CC BY) license (https://creativecommons.org/licenses/by/4.0/).
Share and Cite
Larsen, M.R.; Ottsen, T.; Holmen Olofsson, E.T.; Spangenberg, J. Numerical Modeling of the Mixing of Highly Viscous Polymer Suspensions in Partially Filled Sigma Blade Mixers. Polymers 2023, 15, 1938. https://doi.org/10.3390/polym15081938
Larsen MR, Ottsen T, Holmen Olofsson ET, Spangenberg J. Numerical Modeling of the Mixing of Highly Viscous Polymer Suspensions in Partially Filled Sigma Blade Mixers. Polymers. 2023; 15(8):1938. https://doi.org/10.3390/polym15081938
Chicago/Turabian StyleLarsen, Michael Roland, Tobias Ottsen, Erik Tomas Holmen Olofsson, and Jon Spangenberg. 2023. "Numerical Modeling of the Mixing of Highly Viscous Polymer Suspensions in Partially Filled Sigma Blade Mixers" Polymers 15, no. 8: 1938. https://doi.org/10.3390/polym15081938
APA StyleLarsen, M. R., Ottsen, T., Holmen Olofsson, E. T., & Spangenberg, J. (2023). Numerical Modeling of the Mixing of Highly Viscous Polymer Suspensions in Partially Filled Sigma Blade Mixers. Polymers, 15(8), 1938. https://doi.org/10.3390/polym15081938

