Study of a Novel Fluorine-Containing Polyether Waterborne Polyurethane with POSS as a Cross-Linking Agent
Abstract
1. Introduction
2. Experiment
2.1. Materials
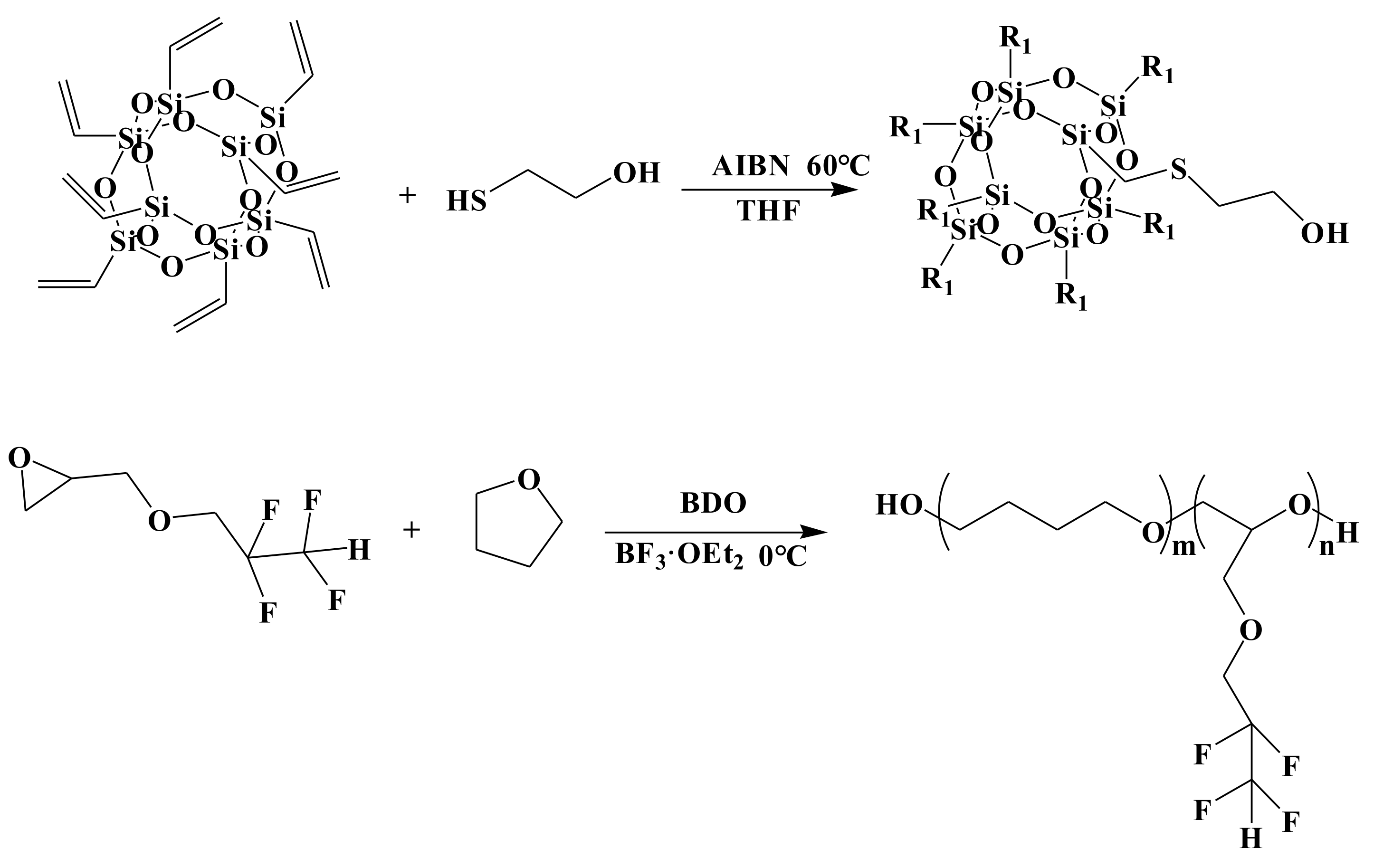
2.2. Synthesis of Hydroxyl Terminated POSS-(OH)8
2.3. Synthesis of Fluorine-Containing Hydroxyl Terminated Polyether P(FPO/THF)
2.4. Preparation of POSS-Based FWPU Dispersions
2.5. Preparation of POSS-Based FWPU Films
2.6. Characterizations
3. Results and Discussion
3.1. H NMR and FT−IR Analysis of the Monomer and Different Polymers
3.2. Thermal Analysis of the Different Films
3.3. Water Contact Angle (WCA) and Mechanical Properties of the Different Films
3.4. Morphology Analysis
4. Conclusions
Author Contributions
Funding
Institutional Review Board Statement
Informed Consent Statement
Data Availability Statement
Acknowledgments
Conflicts of Interest
References
- Kang, S.-Y.; Ji, Z.; Tseng, L.-F.; Turner, S.A.; Villanueva, D.A.; Johnson, R.; Albano, A.; Langer, R. Design and synthesis of waterborne polyurethanes. Adv. Mater. 2018, 30, 1706237. [Google Scholar] [CrossRef] [PubMed]
- Li, F.; Liang, Z.; Li, Y.; Wu, Z.; Yi, Z. Synthesis of waterborne polyurethane by inserting polydimethylsiloxane and constructing dual crosslinking for obtaining the superior performance of waterborne coatings. Compos. Part B Eng. 2022, 238, 109889. [Google Scholar] [CrossRef]
- Saetung, A.; Rungvichaniwat, A.; Tsupphayakorn-ake, P.; Bannob, P.; Tulyapituk, T.; Saetung, N. Properties of waterborne polyurethane films: Effects of blend formulation with hydroxyl telechelic natural rubber and modified rubber seed oils. J. Polym. Res. 2016, 23, 264. [Google Scholar] [CrossRef]
- Xu, Y.; Yang, Y.; Yan, D.-X.; Duan, H.; Zhao, G.; Liu, Y. Gradient structure design of flexible waterborne polyurethane conductive films for ultraefficient electromagnetic shielding with low reflection characteristic. ACS Appl. Mater. Interfaces 2018, 10, 19143–19152. [Google Scholar] [CrossRef] [PubMed]
- Zhengkai, W.; Zhimeng, L.; Xiaowei, F.; Yuechuan, W.; Anqian, Y.; Jingxin, L. Effect of crystalline structure on water resistance of waterborne polyurethane. Eur. Polym. J. 2021, 157, 110647. [Google Scholar] [CrossRef]
- Choi, S.M.; Lee, M.W.; Shin, E.J. One-pot processing of regenerated cellulose nanoparticles/waterborne polyurethane nanocomposite for eco-friendly polyurethane matrix. Polymers 2019, 11, 356. [Google Scholar] [CrossRef]
- Gurunathan, T.; Chung, J.S. Physicochemical properties of amino–silane-terminated vegetable oil-based waterborne polyurethane nanocomposites. ACS Sustain. Chem. Eng. 2016, 4, 4645–4653. [Google Scholar] [CrossRef]
- Naz, F.; Zuber, M.; Mehmood Zia, K.; Salman, M.; Chakraborty, J.; Nath, I.; Verpoort, F. Synthesis and characterization of chitosan-based waterborne polyurethane for textile finishes. Carbohyd. Polym. 2018, 200, 54–62. [Google Scholar] [CrossRef]
- Yu, Q.; Pan, P.; Du, Z.; Du, X.; Wang, H.; Cheng, X. The study of cationic waterborne polyurethanes modified by two different forms of polydimethylsiloxane. RSC Adv. 2019, 9, 7795–7802. [Google Scholar] [CrossRef]
- Wang, L.; Gao, Q.; Li, J.; Jiang, L.; Wang, S.; Fan, H.; Chen, Y.; Yan, J.; Xiang, J. Tuning the hydrophobicity of bio-based waterborne polyurethane by leveraging a diol derived from oleic acid. Ind. Crop. Prod. 2022, 187, 115400. [Google Scholar] [CrossRef]
- Gao, T.; Gu, X.; Guo, S.; Wang, G. Synthesis, self-assembly of perfluoropolyether based ABA-triblock copolymers for superhydrophobic surface applications. Polymer 2020, 205, 122732. [Google Scholar] [CrossRef]
- Król, P.; Pielichowska, K.; Król, B.; Nowicka, K.; Walczak, M.; Kowal, M. Polyurethane cationomers containing fluorinated soft segments with hydrophobic properties. Colloid Polym. Sci. 2021, 299, 1011–1029. [Google Scholar] [CrossRef]
- Wang, X.; Cui, Y.; Wang, Y.; Ban, T.; Zhang, Y.; Zhang, J.; Zhu, X. Preparation and characteristics of crosslinked fluorinated acrylate modified waterborne polyurethane for metal protection coating. Prog. Org. Coat. 2021, 158, 106371. [Google Scholar] [CrossRef]
- Yang, W.; Cheng, X.; Wang, H.; Liu, Y.; Du, Z. Surface and mechanical properties of waterborne polyurethane films reinforced by hydroxyl-terminated poly(fluoroalkyl methacrylates). Polymer 2017, 133, 68–77. [Google Scholar] [CrossRef]
- Yu, Y.; Wang, J.; Zong, J.; Zhang, S.; Deng, Q.; Liu, S. Synthesis of a fluoro-diol and preparation of fluorinated waterborne polyurethanes with high elongation at break. J. Macromol. Sci. A 2017, 55, 183–191. [Google Scholar] [CrossRef]
- Zhang, Y.; Lin, R.; Shi, Y.; Li, H.; Liu, Y.; Zhou, C. Synthesis and surface migration of polydimethylsiloxane and perfluorinated polyether in modified waterborne polyurethane. Polym. Bull. 2019, 76, 5517–5535. [Google Scholar] [CrossRef]
- Wen, J.; Sun, Z.; Xiang, J.; Fan, H.; Chen, Y.; Yan, J. Preparation and characteristics of waterborne polyurethane with various lengths of fluorinated side chains. Appl. Surf. Sci. 2019, 494, 610–618. [Google Scholar] [CrossRef]
- Sui, Z.; Li, Y.; Guo, Z.; Zhang, Q.; Xu, Y.; Zhao, X. Preparation and properties of polysiloxane modified fluorine-containing waterborne polyurethane emulsion. Prog. Org. Coat. 2022, 166, 106783. [Google Scholar] [CrossRef]
- Earley, C.W. A quantum mechanical investigation of silsesquioxane cages. J. Phys. Chem. 1994, 98, 8693–8698. [Google Scholar] [CrossRef]
- Neyertz, S.; Brachet, P.; Brown, D.; Männle, F. The structure of amino-functionalized polyhedral oligomeric silsesquioxanes (POSS) studied by molecular dynamics simulations. Comp. Mater. Sci. 2012, 62, 258–265. [Google Scholar] [CrossRef]
- Cheon, J.-M.; Lim, G.-E.; Jeong, B.-Y.; Kim, H.-D.; Lee, Y.-H.; Park, S.-Y.; Lee, D.-H.; Lee, W.-K.; Chun, J.-H. Preparation and properties of UV-curable polyurethane-acrylate coatings based on polyhedral oligomeric silsesquioxanes (POSS). Mol. Cryst. Liq. Cryst. 2019, 688, 122–129. [Google Scholar] [CrossRef]
- Xu, C.; Gao, Z.; Guo, Y.; Shu, M.; Gao, Y. Study on in-situ growth of polyhedral oligomeric silsesquioxane (POSS) layer on kapton surface and the properties of SiO2/POSS coatings. Colloid Surface A 2020, 595, 124720. [Google Scholar] [CrossRef]
- Zhang, K.; Zhuang, Q.; Liu, X.; Yang, G.; Cai, R.; Han, Z. A new benzoxazine containing benzoxazole-functionalized polyhedral oligomeric silsesquioxane and the corresponding polybenzoxazine nanocomposites. Macromolecules 2013, 46, 2696–2704. [Google Scholar] [CrossRef]
- Zhao, H.; Zhao, S.Q.; Hu, G.H.; Zhang, Q.C.; Liu, Y.; Huang, C.X.; Li, W.; Jiang, T.; Wang, S.F. Synthesis and characterization of waterborne polyurethane/polyhedral oligomeric silsesquioxane composites with low dielectric constants. Polym. Adv. Technol. 2019, 30, 2313–2320. [Google Scholar] [CrossRef]
- Zhao, H.; Zhao, S.-Q.; Li, Q.; Khan, M.R.; Liu, Y.; Lu, P.; Huang, C.-X.; Huang, L.-J.; Jiang, T. Fabrication and properties of waterborne thermoplastic polyurethane nanocomposite enhanced by the POSS with low dielectric constants. Polymer 2020, 209, 122992. [Google Scholar] [CrossRef]
- Zhao, H.; She, W.; Shi, D.; Wu, W.; Zhang, Q.-C.; Li, R.K.Y. Polyurethane/POSS nanocomposites for superior hydrophobicity and high ductility. Compos Part B-Eng. 2019, 177, 107441. [Google Scholar] [CrossRef]
- Ajaya, K.N.; Douglas, A.W.; Samy, A.M.; Joshua, U.O. Nanostructured polyurethane/POSS hybrid aqueous dispersions prepared by homogeneous solution polymerization. Macromolecules 2006, 39, 7037–7043. [Google Scholar] [CrossRef]
- Chen, S.; Guo, L.; Du, D.; Rui, J.; Qiu, T.; Ye, J.; Li, X. Waterborne POSS-silane-urethane hybrid polymer and the fluorinated films. Polymer 2016, 103, 27–35. [Google Scholar] [CrossRef]
- Aoyagi, N.; Endo, T. Synthesis and cationic ring-opening polymerization of oxetane monomer containing five-membered cyclic carbonate moiety via highly chemoselective addition of CO2. J. Polym. Sci. Pol. Chem. 2019, 57, 2606–2615. [Google Scholar] [CrossRef]
- Leiske, M.N.; Hartlieb, M.; Sobotta, F.H.; Paulus, R.M.; Görls, H.; Bellstedt, P.; Schubert, U.S. Cationic ring-opening polymerization of protected oxazolidine imines resulting in gradient copolymers of poly(2-oxazoline) and poly(urea). Polym. Chem-UK 2016, 9, 4924–4936. [Google Scholar] [CrossRef]
- Zheng, G.; Lu, M.; Rui, X.; Shao, B. Surface and bulk properties of waterborne polyurethane modified with fluorinated siloxane. J. Appl. Polym. Sci. 2018, 135, 46473. [Google Scholar] [CrossRef]
- Li, L.; Lu, B.; Wu, J.; Fan, Q.; Guo, X.; Liu, Z. Synthesis and self-assembly behavior of thermo-responsive star-shaped POSS–(PCL–P(MEO2MA-co-PEGMA))16 inorganic/organic hybrid block copolymers with tunable lower critical solution temperature. New J. Chem. 2016, 40, 4761–4768. [Google Scholar] [CrossRef]
- Wang, X.; Hu, J.; Li, Y.; Zhang, J.; Ding, Y. The surface properties and corrosion resistance of fluorinated polyurethane coatings. J. Fluorine Chem. 2015, 176, 14–19. [Google Scholar] [CrossRef]
- Wang, K.; Peng, H.; Thurecht, K.J.; Whittaker, A.K. Fluorinated POSS-star polymers for 19F MRI. Macromol. Chem. Phys. 2016, 217, 2262–2274. [Google Scholar] [CrossRef]
- Kim, M.G.; Jo, K.I.; Kim, E.; Park, J.H.; Ko, J.W.; Lee, J.H. Preparation of polydimethylsiloxane-modified waterborne polyurethane coatings for marine applications. Polymers 2021, 13, 4283. [Google Scholar] [CrossRef]
- Wang, X.; Hu, Y.; Song, L.; Xing, W.; Lu, H.; Lv, P.; Jie, G. UV-curable waterborne polyurethane acrylate modified with octavinyl POSS for weatherable coating applications. J. Polym. Res. 2010, 18, 721–729. [Google Scholar] [CrossRef]
- Liu, H.; Xiong, H.; Chang, Y.; Xu, J.; Xu, C.; Liu, Y. Fabrication of superhydrophobic coating based on waterborne silicone-modified polyurethane dispersion and silica nanoparticles. Polymers 2022, 15, 22. [Google Scholar] [CrossRef]
- Kwon, Y.R.; Kim, H.C.; Kim, J.S.; So, J.H.; Chang, Y.W.; Kim, D.H. Enhanced mechanical and thermal properties of chain-extended waterborne polyurethane coatings with cellulose acetate butyrate. Polymers 2022, 14, 4062. [Google Scholar] [CrossRef]









| Sample | IPDI (mmol) | P(FPO/THF) (mmol) | DMPA (mmol) | POSS Content a (wt%) |
|---|---|---|---|---|
| FWPU0 | 20 | 5 | 10 | 0% |
| FWPU1 | 20 | 5 | 10 | 1% |
| FWPU3 | 20 | 5 | 10 | 3% |
| FWPU5 | 20 | 5 | 10 | 5% |
| Samples | Elongation at Break (%) | Tensile Strength at Break (MPa) |
|---|---|---|
| FWPU0 | 290.7 ± 2.8 | 6.9 ± 0.5 |
| FWPU1 | 594.4 ± 3.6 | 13.4 ± 0.7 |
| FWPU3 | 512.2 ± 2.1 | 8.6 ± 0.3 |
| FWPU5 | 410.8 ± 1.3 | 6.2 ± 0.3 |
Disclaimer/Publisher’s Note: The statements, opinions and data contained in all publications are solely those of the individual author(s) and contributor(s) and not of MDPI and/or the editor(s). MDPI and/or the editor(s) disclaim responsibility for any injury to people or property resulting from any ideas, methods, instructions or products referred to in the content. |
© 2023 by the authors. Licensee MDPI, Basel, Switzerland. This article is an open access article distributed under the terms and conditions of the Creative Commons Attribution (CC BY) license (https://creativecommons.org/licenses/by/4.0/).
Share and Cite
Deng, Y.; Zhang, C.; Zhang, T.; Wu, B.; Zhang, Y.; Wu, J. Study of a Novel Fluorine-Containing Polyether Waterborne Polyurethane with POSS as a Cross-Linking Agent. Polymers 2023, 15, 1936. https://doi.org/10.3390/polym15081936
Deng Y, Zhang C, Zhang T, Wu B, Zhang Y, Wu J. Study of a Novel Fluorine-Containing Polyether Waterborne Polyurethane with POSS as a Cross-Linking Agent. Polymers. 2023; 15(8):1936. https://doi.org/10.3390/polym15081936
Chicago/Turabian StyleDeng, Yajun, Changan Zhang, Tao Zhang, Bo Wu, Yanmei Zhang, and Jianhua Wu. 2023. "Study of a Novel Fluorine-Containing Polyether Waterborne Polyurethane with POSS as a Cross-Linking Agent" Polymers 15, no. 8: 1936. https://doi.org/10.3390/polym15081936
APA StyleDeng, Y., Zhang, C., Zhang, T., Wu, B., Zhang, Y., & Wu, J. (2023). Study of a Novel Fluorine-Containing Polyether Waterborne Polyurethane with POSS as a Cross-Linking Agent. Polymers, 15(8), 1936. https://doi.org/10.3390/polym15081936
