A Relatively Simple Look at the Rather Complex Crystallization Kinetics of PLLA
Abstract
:1. Introduction
2. Experimental Procedure
2.1. DSC
2.2. XRD
3. Experimental Results
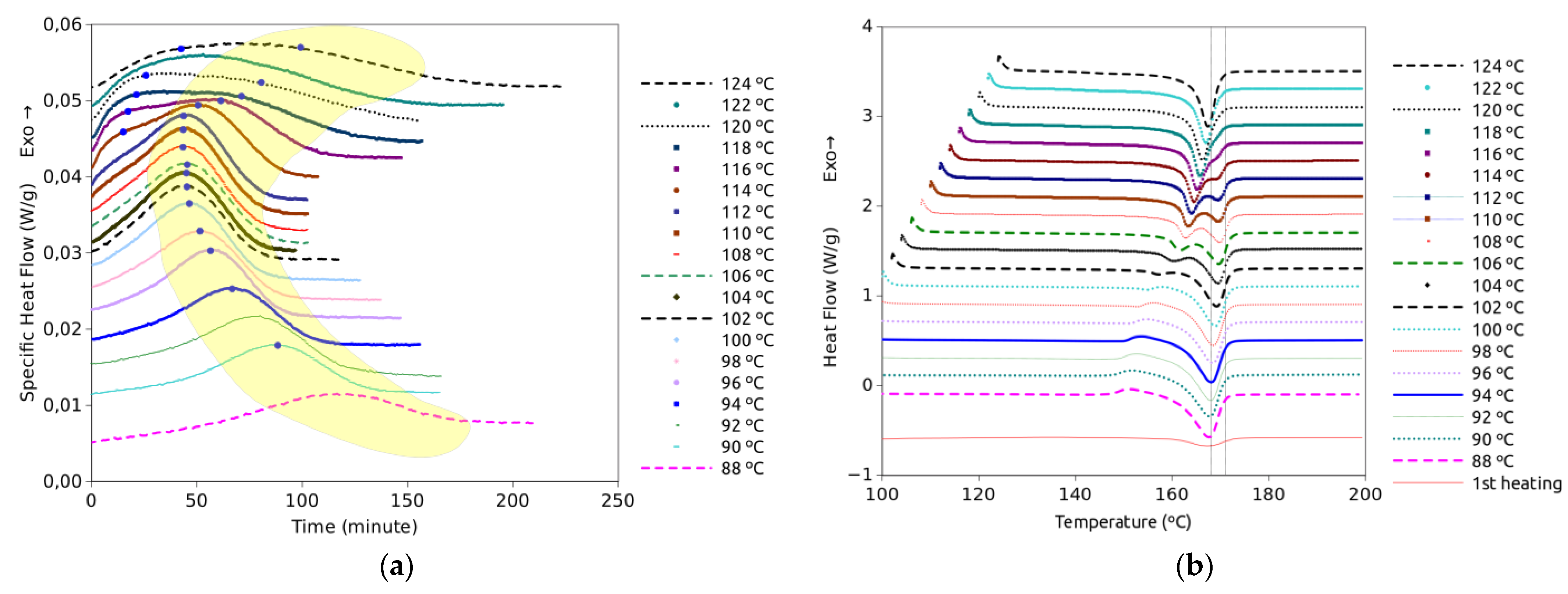
3.1. DSC
3.2. XRD
4. Fittings and Data Analysis
5. Conclusions
Author Contributions
Funding
Institutional Review Board Statement
Data Availability Statement
Acknowledgments
Conflicts of Interest
Appendix A








References
- Pan, P.; Inoue, Y. Polymorphism and Isomorphism in Biodegradable Polyesters. Prog. Polym. Sci. 2009, 34, 605–640. [Google Scholar] [CrossRef]
- Lotz, B. Crystal Polymorphism and Morphology of Polylactides. In Synthesis, Structure and Properties of Poly(lactic acid); Di Lorenzo, M.L., Androsch, R., Eds.; Advances in Polymer Science; Springer International Publishing: Cham, Switzerland, 2017; Volume 279, pp. 273–302. ISBN 978-3-319-64229-1. [Google Scholar]
- Cocca, M.; Di Lorenzo, M.L.; Malinconico, M.; Frezza, V. Influence of Crystal Polymorphism on Mechanical and Barrier Properties of Poly(l-Lactic Acid). Eur. Polym. J. 2011, 47, 1073–1080. [Google Scholar] [CrossRef]
- Androsch, R.; Zhang, R.; Schick, C. Melt-Recrystallization of Poly (l-Lactic Acid) Initially Containing α′-Crystals. Polymer 2019, 176, 227–235. [Google Scholar] [CrossRef]
- Gracia-Fernández, C.A.; Gómez-Barreiro, S.; López-Beceiro, J.; Naya, S.; Artiaga, R. New Approach to the Double Melting Peak of Poly(l-Lactic Acid) Observed by DSC. J. Mater. Res. 2012, 27, 1379–1382. [Google Scholar] [CrossRef]
- Díaz-Díaz, A.M.; López-Beceiro, J.; Li, Y.; Cheng, Y.; Artiaga, R. Crystallization Kinetics of a Commercial Poly(Lactic Acid) Based on Characteristic Crystallization Time and Optimal Crystallization Temperature. J. Therm. Anal. Calorim. 2021, 145, 3125–3132. [Google Scholar] [CrossRef]
- Saeidlou, S.; Huneault, M.A.; Li, H.; Park, C.B. Poly(Lactic Acid) Crystallization. Prog. Polym. Sci. 2012, 37, 1657–1677. [Google Scholar] [CrossRef]
- Ikada, Y.; Jamshidi, K.; Tsuji, H.; Hyon, S.H. Stereocomplex Formation between Enantiomeric Poly(Lactides). Macromolecules 1987, 20, 904–906. [Google Scholar] [CrossRef]
- Baimark, Y.; Srihanam, P.; Srisuwan, Y.; Phromsopha, T. Enhancement in Crystallizability of Poly(L-Lactide) Using Stereocomplex-Polylactide Powder as a Nucleating Agent. Polymers 2022, 14, 4092. [Google Scholar] [CrossRef]
- Tsuji, H.; Ikada, Y. Stereocomplex Formation between Enantiomeric Poly(Lactic Acid)s. XI. Mechanical Properties and Morphology of Solution-Cast Films. Polymer 1999, 40, 6699–6708. [Google Scholar] [CrossRef]
- Zheng, Y.; Xu, S.; Yu, C.; Pan, P. Stereocomplexed Materials of Chiral Polymers Tuned by Crystallization: A Case Study on Poly(Lactic Acid). Acc. Mater. Res. 2022, 3, 1309–1322. [Google Scholar] [CrossRef]
- Pan, P.; Kai, W.; Zhu, B.; Dong, T.; Inoue, Y. Polymorphous Crystallization and Multiple Melting Behavior of Poly(l -Lactide): Molecular Weight Dependence. Macromolecules 2007, 40, 6898–6905. [Google Scholar] [CrossRef]
- Ferreira, I.; Brünig, H.; Focke, W.; Boldt, R.; Androsch, R.; Leuteritz, A. Melt-Spun Poly(D,L-Lactic Acid) Monofilaments Containing N,N-Diethyl-3-Methylbenzamide as Mosquito Repellent. Materials 2021, 14, 638. [Google Scholar] [CrossRef]
- Aliotta, L.; Gazzano, M.; Lazzeri, A.; Righetti, M.C. Constrained Amorphous Interphase in Poly(l-Lactic Acid): Estimation of the Tensile Elastic Modulus. ACS Omega 2020, 5, 20890–20902. [Google Scholar] [CrossRef]
- Righetti, M.C.; Gazzano, M.; Di Lorenzo, M.L.; Androsch, R. Enthalpy of Melting of A′- and α-Crystals of Poly(l-Lactic Acid). Eur. Polym. J. 2015, 70, 215–220. [Google Scholar] [CrossRef]
- Androsch, R.; Di Lorenzo, M.L. Effect of Molar Mass on the A′/α-Transition in Poly (l -Lactic Acid). Polymer 2017, 114, 144–148. [Google Scholar] [CrossRef]
- Wasanasuk, K.; Tashiro, K.; Hanesaka, M.; Ohhara, T.; Kurihara, K.; Kuroki, R.; Tamada, T.; Ozeki, T.; Kanamoto, T. Crystal Structure Analysis of Poly(l-Lactic Acid) α Form On the Basis of the 2-Dimensional Wide-Angle Synchrotron X-Ray and Neutron Diffraction Measurements. Macromolecules 2011, 44, 6441–6452. [Google Scholar] [CrossRef]
- Wang, Z.-G.; Wang, X.; Hsiao, B.S.; Andjelić, S.; Jamiolkowski, D.; McDivitt, J.; Fischer, J.; Zhou, J.; Han, C.C. Time-Resolved Isothermal Crystallization of Absorbable PGA-Co-PLA Copolymer by Synchrotron Small-Angle X-Ray Scattering and Wide-Angle X-Ray Diffraction. Polymer 2001, 42, 8965–8973. [Google Scholar] [CrossRef]
- Zhang, J.; Tashiro, K.; Tsuji, H.; Domb, A.J. Disorder-to-Order Phase Transition and Multiple Melting Behavior of Poly(l-Lactide) Investigated by Simultaneous Measurements of WAXD and DSC. Macromolecules 2008, 41, 1352–1357. [Google Scholar] [CrossRef]
- Tang, X.; Chen, W.; Li, L. The Tough Journey of Polymer Crystallization: Battling with Chain Flexibility and Connectivity. Macromolecules 2019, 52, 3575–3591. [Google Scholar] [CrossRef]
- Xie, Q.; Bao, J.; Shan, G.; Bao, Y.; Pan, P. Fractional Crystallization Kinetics and Formation of Metastable β-Form Homocrystals in Poly(l-Lactic Acid)/Poly(d-Lactic Acid) Racemic Blends Induced by Precedingly Formed Stereocomplexes. Macromolecules 2019, 52, 4655–4665. [Google Scholar] [CrossRef]
- Fillon, B.; Wittmann, J.C.; Lotz, B.; Thierry, A. Self-Nucleation and Recrystallization of Isotactic Polypropylene (α Phase) Investigated by Differential Scanning Calorimetry. J. Polym. Sci. Part B Polym. Phys. 1993, 31, 1383–1393. [Google Scholar] [CrossRef]
- Michell, R.M.; Mugica, A.; Zubitur, M.; Müller, A.J. Self-Nucleation of Crystalline Phases Within Homopolymers, Polymer Blends, Copolymers, and Nanocomposites. In Polymer Crystallization I; Auriemma, F., Alfonso, G.C., de Rosa, C., Eds.; Advances in Polymer Science; Springer International Publishing: Cham, Switzerland, 2015; Volume 276, pp. 215–256. ISBN 978-3-319-49201-8. [Google Scholar]
- Wang, M.; Li, J.; Shi, G.; Liu, G.; Müller, A.J.; Wang, D. Suppression of the Self-Nucleation Effect of Semicrystalline Polymers by Confinement. Macromolecules 2021, 54, 3810–3821. [Google Scholar] [CrossRef]
- Sangroniz, L.; Cavallo, D.; Müller, A.J. Self-Nucleation Effects on Polymer Crystallization. Macromolecules 2020, 53, 4581–4604. [Google Scholar] [CrossRef]
- Pan, P.; Zhu, B.; Kai, W.; Dong, T.; Inoue, Y. Polymorphic Transition in Disordered Poly(l -Lactide) Crystals Induced by Annealing at Elevated Temperatures. Macromolecules 2008, 41, 4296–4304. [Google Scholar] [CrossRef]
- Kawai, T.; Rahman, N.; Matsuba, G.; Nishida, K.; Kanaya, T.; Nakano, M.; Okamoto, H.; Kawada, J.; Usuki, A.; Honma, N.; et al. Crystallization and Melting Behavior of Poly (l -Lactic Acid). Macromolecules 2007, 40, 9463–9469. [Google Scholar] [CrossRef]
- Cartier, L.; Okihara, T.; Ikada, Y.; Tsuji, H.; Puiggali, J.; Lotz, B. Epitaxial Crystallization and Crystalline Polymorphism of Polylactides. Polymer 2000, 41, 8909–8919. [Google Scholar] [CrossRef]
- Eling, B.; Gogolewski, S.; Pennings, A.J. Biodegradable Materials of Poly(l-Lactic Acid): 1. Melt-Spun and Solution-Spun Fibres. Polymer 1982, 23, 1587–1593. [Google Scholar] [CrossRef]
- López-Beceiro, J.; Fontenot, S.A.; Gracia-Fernández, C.; Artiaga, R.; Chartoff, R. A Logistic Kinetic Model for Isothermal and Nonisothermal Cure Reactions of Thermosetting Polymers. J. Appl. Polym. Sci. 2014, 131, 8428–8436. [Google Scholar] [CrossRef]
- López-Beceiro, J.; Gracia-Fernández, C.; Artiaga, R. A Kinetic Model That Fits Nicely Isothermal and Non-Isothermal Bulk Crystallizations of Polymers from the Melt. Eur. Polym. J. 2013, 49, 2233–2246. [Google Scholar] [CrossRef]
- Gnumeric. Available online: http://www.gnumeric.org/ (accessed on 24 December 2022).
- Androsch, R.; Di Lorenzo, M.L. Crystal Nucleation in Glassy Poly(l -Lactic Acid). Macromolecules 2013, 46, 6048–6056. [Google Scholar] [CrossRef]








| Temperature (°C) | TDGL Function Used | ASE × 1 × 108 |
|---|---|---|
| 90 | f1 | 1.51 |
| 94 | f1 | 7.33 |
| 96 | f1 | 3.01 |
| 98 | f1 | 3.42 |
| 100 | f1 | 6.90 |
| 102 | f1 | 5.40 |
| 104 | f1 | 6.85 |
| 106 | f1 | 8.79 |
| 108 | f1 | 1.26 |
| 110 | f1 | 2.14 |
| 112 | f1 and f2 | 4.58 |
| 114 | f1 and f2 | 5.53 |
| 116 | f1 and f2 | 2.33 |
| 118 | f1 and f2 | 6.66 |
| 120 | f1 and f2 | 6.66 |
| 122 | f1 and f2 | 7.96 |
| 124 | f1 and f2 | 5.15 |
| f1 | f2 | |
|---|---|---|
| tcryst (s) | 1016.95 | 229.90 |
| Tcent (K) | 374.28 | 382.37 |
| Thwhm (K) | 21.42 | 12.00 |
Disclaimer/Publisher’s Note: The statements, opinions and data contained in all publications are solely those of the individual author(s) and contributor(s) and not of MDPI and/or the editor(s). MDPI and/or the editor(s) disclaim responsibility for any injury to people or property resulting from any ideas, methods, instructions or products referred to in the content. |
© 2023 by the authors. Licensee MDPI, Basel, Switzerland. This article is an open access article distributed under the terms and conditions of the Creative Commons Attribution (CC BY) license (https://creativecommons.org/licenses/by/4.0/).
Share and Cite
López-Beceiro, J.; Díaz-Díaz, A.-M.; Fernández-Pérez, E.; Ferreira, I.; Focke, W.W.; Artiaga, R. A Relatively Simple Look at the Rather Complex Crystallization Kinetics of PLLA. Polymers 2023, 15, 1880. https://doi.org/10.3390/polym15081880
López-Beceiro J, Díaz-Díaz A-M, Fernández-Pérez E, Ferreira I, Focke WW, Artiaga R. A Relatively Simple Look at the Rather Complex Crystallization Kinetics of PLLA. Polymers. 2023; 15(8):1880. https://doi.org/10.3390/polym15081880
Chicago/Turabian StyleLópez-Beceiro, Jorge, Ana-María Díaz-Díaz, Enrique Fernández-Pérez, Ignatius Ferreira, Walter W. Focke, and Ramón Artiaga. 2023. "A Relatively Simple Look at the Rather Complex Crystallization Kinetics of PLLA" Polymers 15, no. 8: 1880. https://doi.org/10.3390/polym15081880
APA StyleLópez-Beceiro, J., Díaz-Díaz, A.-M., Fernández-Pérez, E., Ferreira, I., Focke, W. W., & Artiaga, R. (2023). A Relatively Simple Look at the Rather Complex Crystallization Kinetics of PLLA. Polymers, 15(8), 1880. https://doi.org/10.3390/polym15081880

