Optimization of Gel Flooding during the High Water Cut Stage in a Conglomerate Reservoir of the Xinjiang A Oilfield
Abstract
1. Introduction
2. Materials and Methods
2.1. Physical Experiment
2.1.1. Materials
2.1.2. Gel Preparation
2.1.3. Characterization of Gel Performance
2.1.4. Gel Flooding Experiment
2.2. Numerical Simulation
3. Results and Discussion
3.1. Experimental Results
3.1.1. The Gelation Time and Viscosity of the Gel
3.1.2. Characteristic Parameters of Gel Flooding
3.1.3. Experimental Analysis of Gel Flooding
3.2. Numerical Simulation Results
3.2.1. Gel Flooding Experimental Model
3.2.2. Sensitivity Analysis of Characteristic Parameters
3.2.3. History Matching of the Gel Flooding Experiment
3.2.4. Model and History Matching of the Conglomerate Reservoir in the Xinjiang A Oilfield
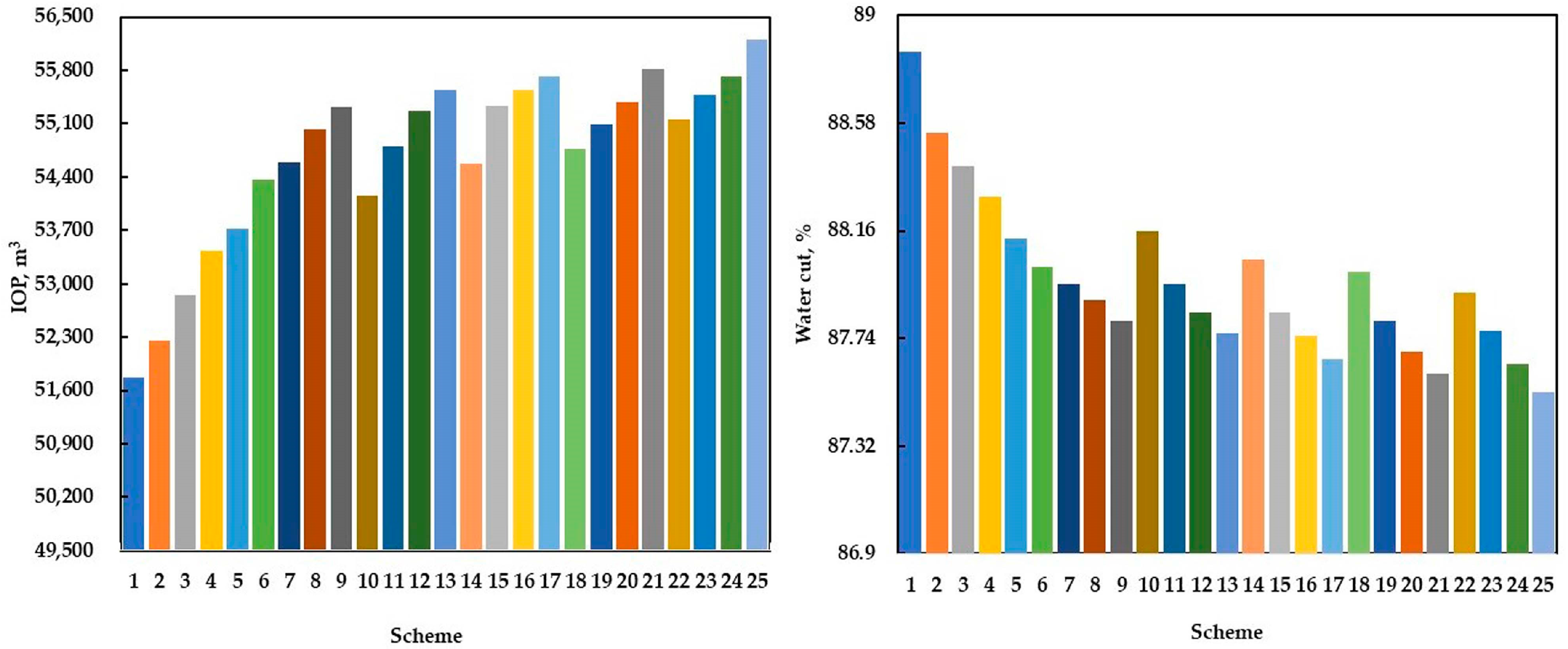
3.2.5. Scheme Design and Optimization
4. Conclusions
Author Contributions
Funding
Data Availability Statement
Conflicts of Interest
Abbreviations
References
- Huang, Y.; Han, D. Analysis of China’s Oil Trade Pattern and Structural Security Assessment from 2017 to 2021. Chem. Technol. Fuels Oils 2022, 58, 146–156. [Google Scholar] [CrossRef]
- International Energy Agency. Oil Market Report: 2021–2022. Available online: https://www.iea.org/oilmarketreport/reports/ (accessed on 20 February 2023).
- Wang, Y.; Zhao, X.; Tang, C.; Zhang, X.; Ma, C.; Yi, X.; Tan, F.; Zhao, D.; Li, J.; Jing, Y. Study on Microscopic Pore Structure Classification for EOR of Low Permeability Conglomerate Reservoirs in Mahu Sag. Energies 2023, 16, 626. [Google Scholar] [CrossRef]
- Wang, W.; Zhu, Y.; Yu, C.; Zhao, L.; Chen, D. Pore size distribution in the tight sandstone reservoir of the Ordos Basin, China and their differential origin. J. Nat. Gas Geosci. 2020, 5, 45–55. [Google Scholar] [CrossRef]
- Mahmic, O.; Dypvik, H.; Hammer, E. Diagenetic influence on reservoir quality evolution, examples from Triassic conglomerates/arenites in the Edvard Grieg field, Norwegian North Sea. Mar. Pet. Geol. 2018, 93, 247–271. [Google Scholar] [CrossRef]
- Gao, H.; Pu, W. Experimental Study on Supercritical CO2 Huff and Puff in Tight Conglomerate Reservoirs. ACS Omega 2021, 6, 24545–24552. [Google Scholar] [CrossRef] [PubMed]
- Li, G.; Qin, J.; Xian, C.; Fan, X.; Zhang, J.; Ding, Y. Theoretical understandings, key technologies and practices of tight conglomerate oilfield efficient development: A case study of the Mahu oilfield, Junggar Basin, NW China. Pet. Explor. Dev. 2020, 47, 1275–1290. [Google Scholar] [CrossRef]
- Xi, K.; Cao, Y.; Haile, B.G.; Zhu, N.; Liu, K.; Wu, S.; Hellevang, H. Diagenetic variations with respect to sediment composition and paleo-fluids evolution in conglomerate reservoirs: A case study of the Triassic Baikouquan Formation in Mahu Sag, Junggar Basin, Northwestern China. J. Pet. Sci. Eng. 2021, 197, 107943. [Google Scholar] [CrossRef]
- Liu, C.; Yin, C.; Lu, J.; Sun, L.; Wang, Y.; Hu, B.; Li, J. Pore structure and physical properties of sandy conglomerate reservoirs in the Xujiaweizi depression, northern Songliao Basin, China. J. Pet. Sci. Eng. 2020, 192, 107217. [Google Scholar] [CrossRef]
- Xiao, M.; Yuan, X.; Songtao, W.U.; Cao, Z.; Tang, Y.; Xie, Z.; Wang, R. Conglomerate reservoir characteristics of and main controlling factors for the Baikouquan Formation, Mahu sag, Junggar Basin. Earth Sci. Front. 2019, 26, 212–224. [Google Scholar] [CrossRef]
- Liu, R.; Pu, W.-F.; Du, D.-J. Synthesis and characterization of core–shell associative polymer that prepared by oilfield formation water for chemical flooding. J. Ind. Eng. Chem. 2016, 46, 80–90. [Google Scholar] [CrossRef]
- Lisha, Q.; Zhibin, J.; Xiaowei, W.; Jie, W.; Chuanchuan, Q. Seepage Characteristics of a Low Permeability Sandstone Reservoir in Mobei Oilfield, Junggar Basin. Lithosphere 2021, 2021, 6944088. [Google Scholar] [CrossRef]
- Liu, Z.; Li, Y.; Leng, R.; Liu, Z.; Chen, X.; Hejazi, H. Effects of pore structure on surfactant/polymer flooding-based enhanced oil recovery in conglomerate reservoirs. Pet. Explor. Dev. 2020, 47, 134–145. [Google Scholar] [CrossRef]
- Ge, J.; Wu, H.; Song, L.; Zhang, T.; Li, L.; Guo, H. Preparation and evaluation of soft preformed particle gels for conformance control in carbonate reservoir. J. Pet. Sci. Eng. 2021, 205, 108774. [Google Scholar] [CrossRef]
- Zhou, R.; Zhang, D.; Wei, J. Experiment on the profile control effect of different strength gel systems in heterogeneous reservoir. Energy Rep. 2021, 7, 6023–6030. [Google Scholar] [CrossRef]
- Wei, P.; Zheng, L.; Yang, M.; Wang, C.; Chang, Q.; Zhang, W. Fuzzy-ball fluid self-selective profile control for enhanced oil recovery in heterogeneous reservoirs: The techniques and the mechanisms. Fuel 2020, 275, 117959. [Google Scholar] [CrossRef]
- Aldhaheri, M.; Wei, M.; Zhang, N.; Bai, B. Field design guidelines for gel strengths of profile-control gel treatments based on reservoir type. J. Pet. Sci. Eng. 2020, 194, 107482. [Google Scholar] [CrossRef]
- Zhang, L.; Khan, N.; Pu, C. A New Method of Plugging the Fracture to Enhance Oil Production for Fractured Oil Reservoir using Gel Particles and the HPAM/Cr3+ System. Polymers 2019, 11, 446. [Google Scholar] [CrossRef] [PubMed]
- Bai, Y.; Wei, F.; Xiong, C.; Li, J.; Jiang, R.; Xu, H.; Shu, Y. Effects of Fracture and Matrix on Propagation Behavior and Water Shut-off Performance of a Polymer Gel. Energy Fuels 2015, 29, 5534–5543. [Google Scholar] [CrossRef]
- Shi, S.-Y.; Zhang, G.-Y. Click-formed polymer gels with aggregation-induced emission and dual stimuli-responsive behaviors. Chin. J. Chem. Phys. 2021, 34, 365–372. [Google Scholar] [CrossRef]
- Zhang, T.-C.; Ge, J.-J.; Wu, H.; Guo, H.-B.; Jiao, B.-L.; Qian, Z. Effect of AMPS (2-acrylamido-2-methylpropane sulfonic acid) content on the properties of polymer gels. Pet. Sci. 2022, 19, 697–706. [Google Scholar] [CrossRef]
- Li, X.; Pu, C.; Wei, H.; Huang, F.; Bai, Y.; Zhang, C. Enhanced oil recovery in fractured low-permeability reservoirs by a novel gel system prepared by sustained-release crosslinker and water-soluble thixotropic polymer. J. Pet. Sci. Eng. 2023, 222, 211424. [Google Scholar] [CrossRef]
- Wei, J.; Li, J.; Zhang, X.; Wang, Z.; Shi, J.; Huang, Z. Experimental investigation for the dynamic adsorption behaviors of gel system with long slim sandpack: Implications for enhancing oil recovery. Energy Rep. 2022, 8, 9270–9278. [Google Scholar] [CrossRef]
- Zheng, J.; Wang, Z.; Ju, Y.; Tian, Y.; Jin, Y.; Chang, W. Visualization of water channeling and displacement diversion by polymer gel treatment in 3D printed heterogeneous porous media. J. Pet. Sci. Eng. 2021, 198, 108238. [Google Scholar] [CrossRef]
- Wu, Q.-H.; Ge, J.-J.; Ding, L.; Zhang, G.-C. Unlocking the potentials of gel conformance for water shutoff in fractured reservoirs: Favorable attributes of the double network gel for enhancing oil recovery. Pet. Sci. 2022, 19, 1622–1640. [Google Scholar] [CrossRef]
- Liu, S.; Jia, H.; Wang, H.; Liang, Y.; Shi, D.; Lu, Z.; Wu, J. The Ternary Combination of Polymer Gel, Microsphere and Surfactant for Conformance Control and Oil Displacement to Improve Oil Recovery in Strong Heterogeneous Reservoir. Pet. Res. 2022, in press. [Google Scholar] [CrossRef]
- Di, Q.; Zhang, J.; Hua, S.; Chen, H.; Gu, C. Visualization experiments on polymer-weak gel profile control and displacement by NMR technique. Pet. Explor. Dev. 2017, 44, 294–298. [Google Scholar] [CrossRef]
- Zhou, B.; Kang, W.; Jiang, H.; Yang, H.; Li, Z.; Lv, Z.; Xu, Z.; Ning, C.; Wang, H.; Xie, S. Preparation and crosslinking mechanism of delayed swelling double-crosslinking nano polymer gel microsphere for anti-CO2 gas channeling. J. Pet. Sci. Eng. 2022, 219, 111122. [Google Scholar] [CrossRef]
- Liu, W.; Zhao, H.; Zhong, X.; Sheng, G.; Fu, M.; Ma, K. A Novel Data-Driven Model for Dynamic Prediction and Optimization of Profile Control in Multilayer Reservoirs. Geofluids 2021, 2021, 3272860. [Google Scholar] [CrossRef]
- Gong, R.; Li, J.; Huang, Z.; Wang, F.; Yang, H.; Rao, X.; Sheng, G.; Zhao, H.; Xu, Y.; Liu, D. History Matching and Production Prediction of Steam Drive Reservoir Based on Data-Space Inversion Method. Geofluids 2021, 2021, 6659740. [Google Scholar] [CrossRef]
- Jalilinasrabady, S.; Tanaka, T.; Itoi, R.; Goto, H. Numerical simulation and production prediction assessment of Takigami geothermal reservoir. Energy 2021, 236, 121503. [Google Scholar] [CrossRef]
- Gong, Z.; Zhang, L.; Cheng, H.; Wang, Y.; Qi, D.; Ren, S. Productivity and feasibility analysis of gas production from subsea sediment bearing with natural gas hydrate. Int. J. Oil Gas Coal Technol. 2016, 11, 229–248. [Google Scholar] [CrossRef]
- Zhao, H.; Sheng, G.L.; Rao, X.; Meng, F.K.; Zhou, Y.H.; Zhong, X. Advance research on integrated optimal control techniques for smart reservoirs. Bull. Natl. Nat. Sci. Found. China 2021, 35, 8. [Google Scholar] [CrossRef]
- Bai, Y.; Hou, J.; Liu, Y.; Zhao, D.; Bing, S.; Xiao, W.; Zhao, W. Energy-consumption calculation and optimization method of integrated system of injection-reservoir-production in high water-cut reservoir. Energy 2022, 239, 121961. [Google Scholar] [CrossRef]
- Wu, X.; Wu, H.; Bu, Z.; Bai, L.; Zhang, S.; Yu, Z.; Xu, H.; Zeng, Q.; Jiang, Y. An Innovative EOR Method for Waterflooding Heterogeneous Oilfield—Graded Diversion-Flooding Technology and Verification by Field Comparison Tests. In Proceedings of the SPE Russian Petroleum Technology Conference 2017, Moscow, Russia, 16–18 October 2017. [Google Scholar] [CrossRef]
- Wu, Z.Z. The Further Improving of the Water-Flooding Oil Recovery Using Weak Gel Control in Mongolian Oilfield; Chengdu University of Technology: Chengdu, China, 2015. [Google Scholar]
- Xin, X.; Yu, G.; Chen, Z.; Wu, K.; Dong, X.; Zhu, Z. Effect of Non-Newtonian Flow on Polymer Flooding in Heavy Oil Reservoirs. Polymers 2018, 10, 1225. [Google Scholar] [CrossRef]
- Pi, Y.; Liu, J.; Cao, R.; Liu, L.; Ma, Y.; Gu, X.; Li, X.; Fan, X.; Zhao, M. Visualized Study on a New Preformed Particle Gels (PPG)+ Polymer System to Enhance Oil Recovery by Oil Saturation Monitoring Online Flooding Experiment. Gels 2023, 9, 81. [Google Scholar] [CrossRef]
- Du, D.-J.; Pu, W.-F.; Tan, X.; Liu, R. Experimental study of secondary crosslinking core-shell hyperbranched associative polymer gel and its profile control performance in low-temperature fractured conglomerate reservoir. J. Pet. Sci. Eng. 2019, 179, 912–920. [Google Scholar] [CrossRef]
- Saghafi, H.R. Retention characteristics of enhanced preformed particle gels (PPGs) in porous media: Conformance control implications. J. Pet. Sci. Eng. 2018, 166, 962–968. [Google Scholar] [CrossRef]


















| Ionic Component | Content, mg/L |
|---|---|
| HCO3− | 1412.15 |
| Cl− | 5208.20 |
| SO42− | 107.65 |
| Na+ | 6412.20 |
| Ca2+ | 208.15 |
| Mg2+ | 107.65 |
| Core No. | Length, cm | Diameter, cm | Porosity, % | Weight, g | Permeability, mD |
|---|---|---|---|---|---|
| #1 | 10.00 | 2.55 | 19.18 | 96.24 | 30 |
| #2 | 10.01 | 2.53 | 22.35 | 95.33 | 170 |
| #3 | 10.12 | 2.54 | 25.80 | 94.56 | 342 |
| #4 | 10.07 | 2.54 | 26.98 | 94.25 | 345 |
| #5 | 9.95 | 2.53 | 20.50 | 95.97 | 35 |
| Core No. | Maximum Adsorption Quantity, mg/g | Breakthrough Pressure, MPa | RF | RRF |
|---|---|---|---|---|
| #1 | 129.18 | 0.011 | 178.03 | 87.04 |
| #2 | 71.46 | 0.006 | 120.76 | 69.81 |
| #3 | 57.53 | 0.0043 | 81.50 | 27.60 |
| Core No. | Irreducible Water Saturation, % | Initial Water Flooding Oil Recovery, % | EOR of Gel Flooding, % | EOR of Extended Water Flooding, % | Ultimate Oil Recovery, % |
|---|---|---|---|---|---|
| #4 | 21.36 | 51.26 | 5.83 | 4.47 | 61.56 |
| #5 | 30.13 | 34.67 | 6.67 | 18.93 | 60.27 |
| Total | 44.65 | 6.17 | 10.23 | 61.05 |
| Name | Porosity | Permeability | Irreducible Water Saturation | Viscosity | Maximum Adsorption Quantity | RRF |
|---|---|---|---|---|---|---|
| Parameter | POR | PERMI | SW | AVISC | ADMAXT | RRFT |
| Parameter | Gel injection Volume, m3 | Injection Rate, m3/d | Polymer Concentration, mg/L |
|---|---|---|---|
| Level 1 | 1000 | 10 | 1000 |
| Level 2 | 2000 | 20 | 1500 |
| Level 3 | 3000 | 30 | 2000 |
| Level 4 | 4000 | 40 | 2500 |
| Level 5 | 5000 | 50 | 3000 |
| Scheme NO. | Gel Injection Volume, m3 | Injection Rate, m3/d | Polymer Concentration, mg/L |
|---|---|---|---|
| 1 | 1000 | 10 | 1000 |
| 2 | 1000 | 20 | 1500 |
| 3 | 1000 | 30 | 2000 |
| 4 | 1000 | 40 | 2500 |
| 5 | 1000 | 50 | 3000 |
| 6 | 2000 | 10 | 1500 |
| 7 | 2000 | 20 | 2000 |
| 8 | 2000 | 30 | 2500 |
| 9 | 2000 | 40 | 3000 |
| 10 | 2000 | 50 | 1000 |
| 11 | 3000 | 10 | 2000 |
| 12 | 3000 | 20 | 2500 |
| 13 | 3000 | 30 | 3000 |
| 14 | 3000 | 40 | 1000 |
| 15 | 3000 | 50 | 1500 |
| 16 | 4000 | 10 | 2500 |
| 17 | 4000 | 20 | 3000 |
| 18 | 4000 | 30 | 1000 |
| 19 | 4000 | 40 | 1500 |
| 20 | 4000 | 50 | 2000 |
| 21 | 5000 | 10 | 3000 |
| 22 | 5000 | 20 | 1000 |
| 23 | 5000 | 30 | 1500 |
| 24 | 5000 | 40 | 2000 |
| 25 | 5000 | 50 | 2500 |
| Parameter | Gel Injection Volume, m3 | Injection Rate, m3/d | Polymer Concentration, mg/L |
|---|---|---|---|
| IOP mean value 1 | 52,804.79 | 54,458.26 | 54,087.50 |
| IOP mean value 2 | 54,691.17 | 54,600.09 | 54,502.43 |
| IOP mean value 3 | 55,105.66 | 54,733.14 | 54,667.31 |
| IOP mean value 4 | 55,300.76 | 54,827.55 | 55,092.85 |
| IOP mean value 5 | 55,673.86 | 54,957.21 | 55,226.16 |
| Range | 2869.07 | 498.95 | 1138.66 |
Disclaimer/Publisher’s Note: The statements, opinions and data contained in all publications are solely those of the individual author(s) and contributor(s) and not of MDPI and/or the editor(s). MDPI and/or the editor(s) disclaim responsibility for any injury to people or property resulting from any ideas, methods, instructions or products referred to in the content. |
© 2023 by the authors. Licensee MDPI, Basel, Switzerland. This article is an open access article distributed under the terms and conditions of the Creative Commons Attribution (CC BY) license (https://creativecommons.org/licenses/by/4.0/).
Share and Cite
Xin, X.; Liu, Q.; Liu, S.; Yu, G.; Wan, Q. Optimization of Gel Flooding during the High Water Cut Stage in a Conglomerate Reservoir of the Xinjiang A Oilfield. Polymers 2023, 15, 1809. https://doi.org/10.3390/polym15071809
Xin X, Liu Q, Liu S, Yu G, Wan Q. Optimization of Gel Flooding during the High Water Cut Stage in a Conglomerate Reservoir of the Xinjiang A Oilfield. Polymers. 2023; 15(7):1809. https://doi.org/10.3390/polym15071809
Chicago/Turabian StyleXin, Xiankang, Qian Liu, Saijun Liu, Gaoming Yu, and Qingshan Wan. 2023. "Optimization of Gel Flooding during the High Water Cut Stage in a Conglomerate Reservoir of the Xinjiang A Oilfield" Polymers 15, no. 7: 1809. https://doi.org/10.3390/polym15071809
APA StyleXin, X., Liu, Q., Liu, S., Yu, G., & Wan, Q. (2023). Optimization of Gel Flooding during the High Water Cut Stage in a Conglomerate Reservoir of the Xinjiang A Oilfield. Polymers, 15(7), 1809. https://doi.org/10.3390/polym15071809

