Development of Boron-Containing PVA-Based Cryogels with Controllable Boron Releasing Rate and Altered Influence on Osteoblasts
Abstract
1. Introduction
2. Materials and Methods
2.1. Preparation of Cryogels and Assessment of Their Cryogelation Capacity
2.2. Characterisation of the Cryogels
2.2.1. Pore Structure via Optical Coherence Tomography and Scanning Electron Microscopy
2.2.2. Degradation Rate
2.2.3. Rheology and Compression Tests
2.2.4. Boron Content in Degradation Solution
2.3. Cellular Response to the Cryogels
2.3.1. Cytotoxicity Tests
2.3.2. Cell Migration
2.3.3. Alizarin Red Stain
2.3.4. Scratch Assay
2.4. Statistical Analysis
3. Results and Discussion
3.1. Fabrication Feasibility of P:S/C Boron-Based Cryogels
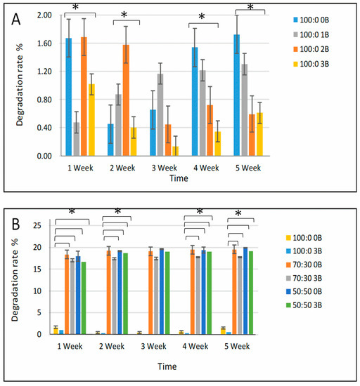
3.2. Degradation Rate
3.3. Pore Structure Observed Using OCT and SEM
3.4. Rheological Assessment and Compression Test Results
3.5. Boron Content in Degradation Solution
3.6. Biological Response of the Cryogels
3.6.1. Cytotoxicity (CCK-8 Assay)
3.6.2. Induction of Bone Nodule Formation
4. Conclusions
Supplementary Materials
Author Contributions
Funding
Institutional Review Board Statement
Data Availability Statement
Conflicts of Interest
References
- Pinto, R.V.; Gomes, P.S.; Fernandes, M.H.; Costa, M.E.V.; Almeida, M.M. Glutaraldehyde-crosslinking chitosan scaffolds reinforced with calcium phosphate spray-dried granules for bone tissue applications. Mater. Sci. Eng. C 2020, 109, 110557. [Google Scholar] [CrossRef] [PubMed]
- Jindal, A.; Mondal, T.; Bhattacharya, J. An in vitro evaluation of zinc silicate fortified chitosan scaffolds for bone tissue engineering. Int. J. Biol. Macromol. 2020, 164, 4252–4262. [Google Scholar] [CrossRef] [PubMed]
- Okay, O. Polymeric Cryogels Macroporous Gels with Remarkable Properties; Springer: Cham, Switzerland, 2014; Volume 263, ISBN 9783319058450. [Google Scholar]
- Demir, D.; Ceylan, S.; Göktürk, D.; Bölgen, N. Extraction of pectin from albedo of lemon peels for preparation of tissue engineering scaffolds. Polym. Bull. 2020, 78, 2211–2226. [Google Scholar] [CrossRef]
- Bagri, L.P.; Bajpai, J.; Bajpai, A.K. Cryogenic designing of biocompatible blends of polyvinyl alcohol and starch with macroporous architecture. J. Macromol. Sci. Part A Pure Appl. Chem. 2009, 46, 1060–1068. [Google Scholar] [CrossRef]
- Ceylan, S.; Göktürk, D.; Demir, D.; Damla Özdemir, M.; Bölgen, N. Comparison of additive effects on the PVA/starch cryogels: Synthesis, characterization, cytotoxicity, and genotoxicity studies. Int. J. Polym. Mater. Polym. Biomater. 2018, 67, 855–864. [Google Scholar] [CrossRef]
- Ceylan, S.; Göktürk, D.; Bölgen, N. Effect of crosslinking methods on the structure and biocompatibility of polyvinyl alcohol/gelatin cryogels. Biomed. Mater. Eng. 2016, 27, 327–340. [Google Scholar] [CrossRef] [PubMed]
- Türkkan, S.; Atila, D.; Akdağ, A.; Tezcaner, A. Fabrication of functionalized citrus pectin/silk fibroin scaffolds for skin tissue engineering. J. Biomed. Mater. Res.-Part B Appl. Biomater. 2018, 106, 2625–2635. [Google Scholar] [CrossRef]
- Bhattarai, D.P.; Aguilar, L.E.; Park, C.H.; Kim, C.S. A review on properties of natural and synthetic based electrospun fibrous materials for bone tissue engineering. Membranes 2018, 8, 62. [Google Scholar] [CrossRef]
- Balakrishnan, P.; Gardella, L.; Forouharshad, M.; Pellegrino, T.; Monticelli, O. Star poly(ε-caprolactone)-based electrospun fibers as biocompatible scaffold for doxorubicin with prolonged drug release activity. Colloids Surf. B Biointerfaces 2018, 161, 488–496. [Google Scholar] [CrossRef]
- Han, R.; Buchanan, F.; Ford, L.; Julius, M.; Walsh, P.J. A comparison of the degradation behaviour of 3D printed PDLGA scaffolds incorporating bioglass or biosilica. Mater. Sci. Eng. C 2021, 120, 111755. [Google Scholar] [CrossRef] [PubMed]
- Satpathy, A.; Pal, A.; Sengupta, S.; Das, A.; Hasan, M.; Ratha, I.; Barui, A.; Bodhak, S. Bioactive nano-hydroxyapatite doped electrospun PVA-chitosan composite nanofibers for bone tissue engineering applications. J. Indian Inst. Sci. 2019, 99, 289–302. [Google Scholar] [CrossRef]
- Shokri, S.; Movahedi, B.; Rafieinia, M.; Salehi, H. A new approach to fabrication of Cs/BG/CNT nanocomposite scaffold towards bone tissue engineering and evaluation of its properties. Appl. Surf. Sci. 2015, 357, 1758–1764. [Google Scholar] [CrossRef]
- Kumar, J.P.; Lakshmi, L.; Jyothsna, V.; Balaji, D.R.P.; Saravanan, S.; Moorthi, A.; Selvamurugan, N. Synthesis and characterization of diopside particles and their suitability along with chitosan matrix for bone tissue engineering in vitro and in vivo. J. Biomed. Nanotechnol. 2014, 10, 970–981. [Google Scholar] [CrossRef] [PubMed]
- de Lima, G.G.; Barbosa, R.R.C.; de Andrade Santos, M.P.; Chee, B.S.; Magalhães, W.L.E.; Devine, D.M. Effect of unidirectional freezing using a thermal camera on polyvinyl (alcohol) for aligned porous cryogels. Quant. InfraRed Thermogr. J. 2021, 18, 177–186. [Google Scholar] [CrossRef]
- Chen, J.; Zhang, T.; Hua, W.; Li, P.; Wang, X. 3D Porous poly(lactic acid)/regenerated cellulose composite scaffolds based on electrospun nanofibers for biomineralization. Colloids Surf. A Physicochem. Eng. Asp. 2020, 585, 124048. [Google Scholar] [CrossRef]
- Lin, C.-C.; Ki, C.S.; Shih, H. Thiol-norbornene photo-click hydrogels for tissue engineering applications. J. Appl. Polym. Sci. 2016, 132, 41563. [Google Scholar] [CrossRef]
- Arslan, A.; Çakmak, S.; Gümüşderelioğlu, M. Enhanced osteogenic activity with boron-doped nanohydroxyapatite-loaded poly(butylene adipate-co-terephthalate) fibrous 3D matrix. Artif. Cells Nanomed. Biotechnol. 2018, 46, 790–799. [Google Scholar] [CrossRef]
- Pandit, S.; Gaska, K.; Mokkapati, V.R.S.S.; Forsberg, S.; Svensson, M.; Kádár, R.; Mijakovic, I. Antibacterial effect of boron nitride flakes with controlled orientation in polymer composites. RSC Adv. 2019, 9, 33454–33459. [Google Scholar] [CrossRef]
- Demir, F.; Al-Ani, A.O.A.; Lacin, O. А Kinеtiс Аnаlysis For Produсtion of Саlсium Borogluсonаtе From Colemanite. Int. J. Chem. Kinet. 2020, 52, 769–776. [Google Scholar] [CrossRef]
- Demirci, S.; Kaya, M.S.; Doğan, A.; Kalay, Ş.; Altin, N.Ö.; Yarat, A.; Akyüz, S.H.; Şahin, F. Antibacterial and cytotoxic properties of boron-containing dental composite. Turk. J. Biol. 2015, 39, 417–426. [Google Scholar] [CrossRef]
- Demirci, S.; Doğan, A.; Aydın, S.; Dülger, E.Ç.; Şahin, F. Boron promotes streptozotocin-induced diabetic wound healing: Roles in cell proliferation and migration, growth factor expression, and inflammation. Mol. Cell. Biochem. 2016, 417, 119–133. [Google Scholar] [CrossRef] [PubMed]
- Gümüşderelioğlu, M.; Tunçay, E.Ö.; Kaynak, G.; Demirtaş, T.T.; Aydın, S.T.; Hakkı, S.S. Encapsulated boron as an osteoinductive agent for bone scaffolds. J. Trace Elem. Med. Biol. 2015, 31, 120–128. [Google Scholar] [CrossRef] [PubMed]
- Moonesi Rad, R.; Atila, D.; Evis, Z.; Keskin, D.; Tezcaner, A. Development of a novel functionally graded membrane containing boron-modified bioactive glass nanoparticles for guided bone regeneration. J. Tissue Eng. Regen. Med. 2019, 13, 1331–1345. [Google Scholar] [CrossRef] [PubMed]
- Demirci, S.; Doğan, A.; Karakuş, E.; Halıcı, Z.; Topçu, A.; Demirci, E.; Sahin, F. Boron and Poloxamer (F68 and F127) Containing Hydrogel Formulation for Burn Wound Healing. Biol. Trace Elem. Res. 2015, 168, 169–180. [Google Scholar] [CrossRef] [PubMed]
- TC, M.; Jones, A. Determination of Boron Content Using a Simple and Rapid Miniaturized Curcumin Assay. Bio-Protocol 2018, 8, e2703. [Google Scholar] [CrossRef] [PubMed]
- Low, A.; Mohd Yusof, H.; Reza, F.; Abdullah Nurul, A.; Sritharan, S.; Haania Zain Ali, N.; Subhi Azeez, H.; Husein, A. Gypsum-based biomaterials: Evaluation of physical and mechanical properties, cellular effects and its potential as a pulp liner. Dent. Mater. J. 2015, 34, 522–528. [Google Scholar] [CrossRef] [PubMed]
- Tsai, R.Y.; Chen, P.W.; Kuo, T.Y.; Lin, C.M.; Wang, D.M.; Hsien, T.Y.; Hsieh, H.J. Chitosan/pectin/gum Arabic polyelectrolyte complex: Process-dependent appearance, microstructure analysis and its application. Carbohydr. Polym. 2014, 101, 752–759. [Google Scholar] [CrossRef] [PubMed]
- Baran, E.T.; Jayakumar, R.; Mano, J.F.; Reis, R.L. Enzymatic degradation behaviour of starch conjugated phoshorylated chitosan. Mater. Sci. Forum 2006, 514–516, 995–999. [Google Scholar] [CrossRef]
- Vrana, N.E.; Cahill, P.A.; McGuinness, G.B. Endothelialization of PVA/gelatin cryogels for vascular tissue engineering: Effect of disturbed shear stress conditions. J. Biomed. Mater. Res.-Part A 2010, 94, 1080–1090. [Google Scholar] [CrossRef] [PubMed]
- Vrana, N.E. Use of Poly Vinyl Alcohol (PVA) Cryogelation for Tissue Engineering: Composites, Scaffold Formation and Cell Encapsulation. Ph.D. Thesis, Dublin City University, Dublin, Ireland, 2009. [Google Scholar]
- Rudnik, E. 13—Compostable Polymer Properties and Packaging Applications. In Plastics Design Library, Plastic Films in Food Packaging, Ebnesajjad, S., Ed.; William Andrew Publishing: Norwich, NY, USA, 2013; pp. 217–248. [Google Scholar] [CrossRef]
- Spoljaric, S.; Salminen, A.; Luong, N.D.; Seppälä, J. Stable, self-healing hydrogels from nanofibrillated cellulose, poly(vinyl alcohol) and borax via reversible crosslinking. Eur. Polym. J. 2014, 56, 105–117. [Google Scholar] [CrossRef]
- Nagarajan, S.; Belaid, H.; Pochat-Bohatier, C.; Teyssier, C.; Iatsunskyi, I.; Coy, E.; Balme, S.; Cornu, D.; Miele, P.; Kalkura, N.S.; et al. Design of boron nitride/gelatin electrospun nanofibers for bone tissue engineering. ACS Appl. Mater. Interfaces 2017, 9, 33695–33706. [Google Scholar] [CrossRef] [PubMed]
- Movahedi Najafabadi, B.-A.-H.; Abnosi, M.H. Boron Induces Early Matrix Mineralization via Calcium Deposition and Elevation of Alkaline Phosphatase Activity in Differentiated Rat Bone Marrow Mesenchymal Stem Cells. Cell J. 2016, 18, 62–73. [Google Scholar] [CrossRef] [PubMed]








| PVA (%) | Borax Amount (%) | ||||||
|---|---|---|---|---|---|---|---|
| H * | L * | 0 | 1 | 2 | 3 | 4 | 5 |
| 100 | 0 | Intact cryogel | Intact cryogel | Intact cryogel | Intact cryogel | Intact cryogel LR ** | Intact cryogel LR |
| 70 | 30 | Intact cryogel | Intact cryogel | Intact cryogel | Intact cryogel | Intact cryogel LR | Intact cryogel LR |
| 50 | 50 | Intact cryogel | Intact cryogel | Intact cryogel | Intact cryogel | Intact cryogel LR | Intact cryogel LR |
| 30 | 70 | Weak cryogel | Weak cryogel | Weak cryogel | Intact cryogel | Intact cryogel | Intact cryogel |
| 0 | 100 | Dissolve in water | Dissolve in water | Dissolve in water | Dissolve in water | Dissolve in water | Dissolve in water |
| Sample | Absorbance | Boron Amount (Nanomole) |
|---|---|---|
| 100:0 3B | 0.378 | 4.982 |
| 70:30 3B | 0.150 | 1.850 |
| 50:50 3B | 0.094 | 1.081 |
| Groups | Ingredient |
|---|---|
| Group 1 | 100:0 3B% degradation product for one-week/2 mL media |
| Group 2 | 70:30 3B% degradation product for one-week/2 mL media |
| Group 3 | 50:50 3B% degradation product for one-week/2 mL media |
| Group 4 | 0.01 mg borax/mL (0.04 nmole boron) |
| Group 5 | 0.005 mg borax/mL (0.02 nmole boron) |
Disclaimer/Publisher’s Note: The statements, opinions and data contained in all publications are solely those of the individual author(s) and contributor(s) and not of MDPI and/or the editor(s). MDPI and/or the editor(s) disclaim responsibility for any injury to people or property resulting from any ideas, methods, instructions or products referred to in the content. |
© 2023 by the authors. Licensee MDPI, Basel, Switzerland. This article is an open access article distributed under the terms and conditions of the Creative Commons Attribution (CC BY) license (https://creativecommons.org/licenses/by/4.0/).
Share and Cite
Ceylan, S.; Dimmock, R.; Yang, Y. Development of Boron-Containing PVA-Based Cryogels with Controllable Boron Releasing Rate and Altered Influence on Osteoblasts. Polymers 2023, 15, 1653. https://doi.org/10.3390/polym15071653
Ceylan S, Dimmock R, Yang Y. Development of Boron-Containing PVA-Based Cryogels with Controllable Boron Releasing Rate and Altered Influence on Osteoblasts. Polymers. 2023; 15(7):1653. https://doi.org/10.3390/polym15071653
Chicago/Turabian StyleCeylan, Seda, Ryan Dimmock, and Ying Yang. 2023. "Development of Boron-Containing PVA-Based Cryogels with Controllable Boron Releasing Rate and Altered Influence on Osteoblasts" Polymers 15, no. 7: 1653. https://doi.org/10.3390/polym15071653
APA StyleCeylan, S., Dimmock, R., & Yang, Y. (2023). Development of Boron-Containing PVA-Based Cryogels with Controllable Boron Releasing Rate and Altered Influence on Osteoblasts. Polymers, 15(7), 1653. https://doi.org/10.3390/polym15071653

