Effects on the Thermo-Mechanical and Interfacial Performance of Newly Developed PI-Sized Carbon Fiber–Polyether Ether Ketone Composites: Experiments and Molecular Dynamics Simulations
Abstract
1. Introduction
2. Experiments
2.1. Materials
2.2. Preparation of Poly (Amic Acid) Salt (PAS) as a PI Sizing Agent
2.3. Fabrication of Water-Dispersible PI-Sized CF/PEEK Composites
2.4. Characterizations
2.5. Molecular Dynamics Modeling
2.6. Interfacial Characterization
3. Results and Discussion
3.1. Synthesis and Characterization of PAS
3.2. Surface Morphology Analysis of the PI-Sized CFs
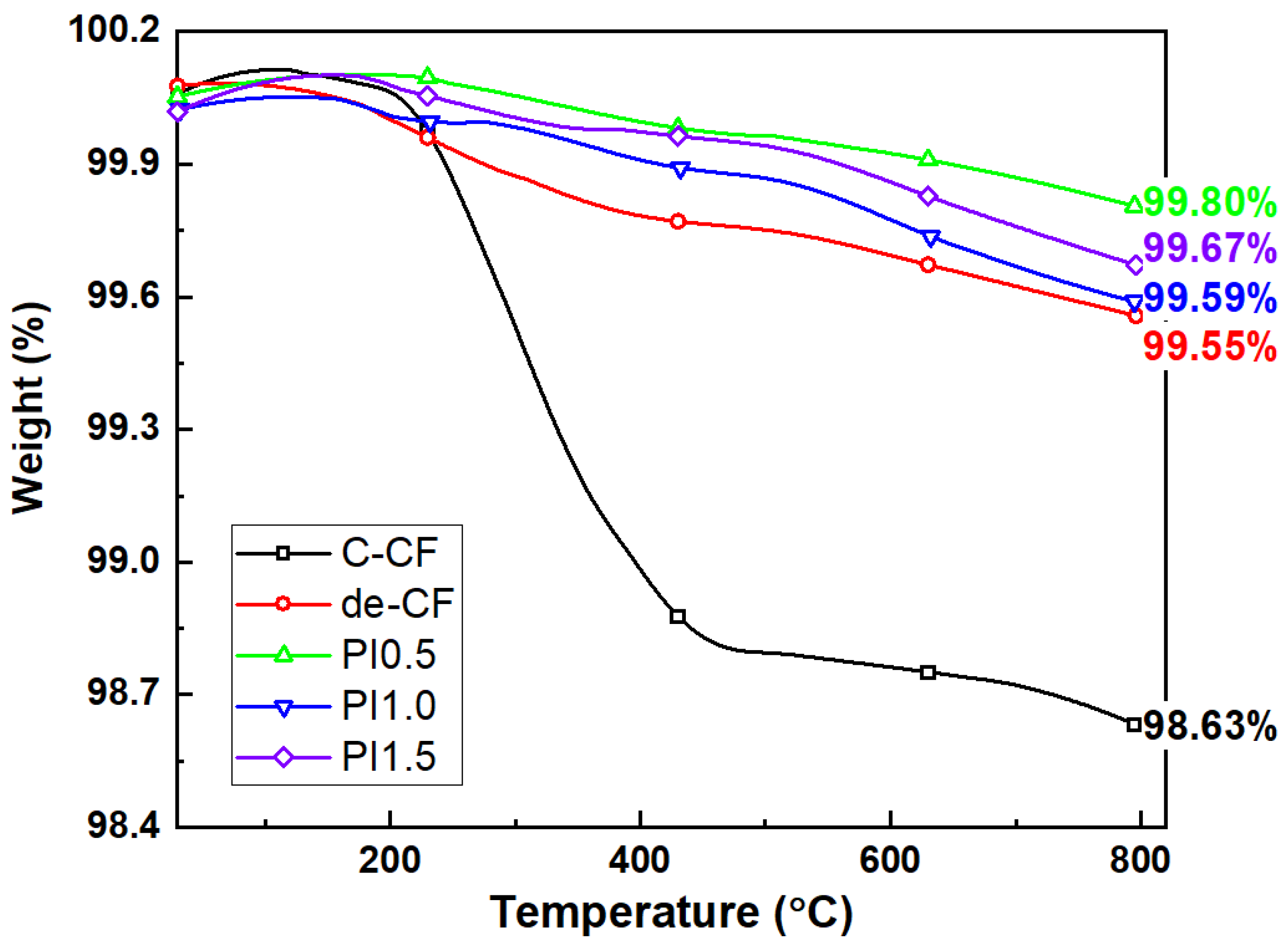
3.3. Thermo-Mechanical Properties of the PI-Sized CF/PEEK Composites
3.4. Fracture Characteristics of the CF/PEEK Composites
3.5. Molecular Dynamics of the CF/PEEK Composite
4. Conclusions
Author Contributions
Funding
Institutional Review Board Statement
Informed Consent Statement
Data Availability Statement
Acknowledgments
Conflicts of Interest
References
- Wang, X.K.; Huang, Z.G.; Lai, M.L.; Jiang, L.; Zhang, Y.; Zhou, H.M. Highly enhancing the interfacial strength of CF/PEEK composites by introducing PAIK onto diazonium functionalized carbon fibers. Appl. Surf. Sci. 2020, 510, 145400. [Google Scholar] [CrossRef]
- Yan, T.W.; Yan, F.; Li, S.Y.; Li, M.; Liu, Y.; Zhang, M.J.; Jin, L.; Shang, L.; Liu, L.; Ao, Y.H. Interfacial enhancement of CF/PEEK composites by modifying water-based PEEK-NH2 sizing agent. Compos. B Eng. 2020, 199, 108258. [Google Scholar] [CrossRef]
- Stepashkin, A.A.; Chukov, D.I.; Senatov, F.S.; Salimon, A.I.; Korsunsky, A.M.; Kaloshkin, S.D. 3D-printed PEEK-carbon fiber (CF) composites: Structure and thermal properties. Compos. Sci. Technol. 2018, 164, 319–326. [Google Scholar] [CrossRef]
- Yan, M.X.; Tian, X.Y.; Peng, G.; Li, D.C.; Zhang, X.Y. High temperature rheological behavior and sintering kinetics of CF/PEEK composites during selective laser sintering. Compos. Sci. Technol. 2018, 165, 140–147. [Google Scholar] [CrossRef]
- Pan, L.; Yapici, U. A comparative study on mechanical properties of carbon fiber/PEEK composites. Adv. Compos. Mater. 2016, 25, 359–374. [Google Scholar] [CrossRef]
- Sharma, M.; Bijwe, J.; Mader, E.; Kunze, K. Strengthening of CF/PEEK interface to improve the tribological performance in low amplitude oscillating wear mode. Wear 2013, 301, 735–739. [Google Scholar] [CrossRef]
- Molazemhosseini, A.; Tourani, H.; Khavandi, A.; Yekta, B.E. Tribological performance of PEEK based hybrid composites reinforced with short carbon fibers and nano-silica. Wear 2013, 303, 397–404. [Google Scholar] [CrossRef]
- Zhao, W.Y.; Yu, R.; Dong, W.Y.; Luan, J.S.; Wang, G.B.; Zhang, H.B.; Zhang, M. The influence of long carbon fiber and its orientation on the properties of three-dimensional needle-punched CF/PEEK composites. Compos. Sci. Technol. 2021, 203, 108565. [Google Scholar] [CrossRef]
- Lessard, H.; Lebrun, G.; Benkaddour, A.; Pham, X.T. Influence of process parameters on the thermo-stamping of a [0/90](12) carbon/polyether ether ketone laminate. Compos. Part. A Appl. Sci. Manuf. 2015, 70, 59–68. [Google Scholar] [CrossRef]
- Vieille, B.; Albouy, W.; Taleb, L. Influence of stamping on the compressive behavior and the damage mechanisms of C/PEEK laminates bolted joints under severe conditions. Compos. B Eng. 2015, 79, 631–638. [Google Scholar] [CrossRef]
- Stokes-Griffin, C.M.; Compston, P. The effect of processing temperature and placement rate on the short beam strength of carbon fibre-PEEK manufactured using a laser tape placement process. Compos. Part. A Appl. Sci. Manuf. 2015, 78, 274–283. [Google Scholar] [CrossRef]
- Dworak, M.; Rudawski, A.; Markowski, J.; Blazewicz, S. Dynamic mechanical properties of carbon fibre-reinforced PEEK composites in simulated body-fluid. Compos. Struct. 2017, 161, 428–434. [Google Scholar] [CrossRef]
- Na, R.Q.; Liu, J.Y.; Wang, G.B.; Zhang, S.L. Light weight and flexible poly (ether ether ketone) based composite film with excellent thermal stability and mechanical properties for wide-band electromagnetic interference shielding. RSC Adv. 2018, 8, 3296–3303. [Google Scholar] [CrossRef] [PubMed]
- Yang, Y.C.; Wang, T.J.; Wang, S.D.; Cong, X.; Zhang, S.L.; Zhang, M.; Luan, J.S.; Wang, G.B. Strong Interface Construction of Carbon Fiber-reinforced PEEK Composites: An Efficient Method for Modifying Carbon Fiber with Crystalline PEEK. Macromol. Rapid Commun. 2020, 41, 2000001. [Google Scholar] [CrossRef]
- Jung, H.; Bae, K.J.; Jin, J.; Oh, Y.; Hong, H.; You, N.H.; Yu, S.J. The effect of aqueous polyimide sizing agent on PEEK based carbon fiber composites using experimental techniques and molecular dynamics simulations. Func. Compos. Struct. 2020, 2, 025001. [Google Scholar] [CrossRef]
- Gao, X.P.; Huang, Z.G.; Zhou, H.M.; Li, D.Q.; Li, Y.; Wang, Y.M. Higher mechanical performances of CF/PEEK composite laminates via reducing interlayer porosity based on the affinity of functional s-PEEK. Polym. Compos. 2019, 40, 3749–3757. [Google Scholar] [CrossRef]
- Lu, C.R.; Xu, N.; Zheng, T.; Zhang, X.; Lv, H.X.; Lu, X.; Xiao, L.; Zhang, D.X. The Optimization of Process Parameters and Characterization of High-Performance CF/PEEK Composites Prepared by Flexible CF/PEEK Plain Weave Fabrics. Polymers 2019, 11, 53. [Google Scholar] [CrossRef]
- Chang, B.N.; Li, X.M.; Parandoush, P.; Ruan, S.L.; Shen, C.Y.; Lin, D. Additive manufacturing of continuous carbon fiber reinforced poly-ether-ether-ketone with ultrahigh mechanical properties. Polym. Test. 2020, 88, 106563. [Google Scholar] [CrossRef]
- Yao, S.S.; Jin, F.L.; Rhee, K.Y.; Hui, D.; Park, S.J. Recent advances in carbon-fiber-reinforced thermoplastic composites: A review. Compos. B Eng. 2018, 142, 241–250. [Google Scholar] [CrossRef]
- Hassan, E.A.M.; Yang, L.L.; Elagib, T.H.H.; Ge, D.T.; Lv, X.W.; Zhou, J.F.; Yu, M.H.; Zhu, S. Synergistic effect of hydrogen bonding and pi-pi stacking in interface of CF/PEEK composites. Compos. B Eng. 2019, 171, 70–77. [Google Scholar] [CrossRef]
- Guo, L.H.; Zhang, G.; Wang, D.A.; Zhao, F.Y.; Wang, T.M.; Wang, Q.H. Significance of combined functional nanoparticles for enhancing tribological performance of PEEK reinforced with carbon fibers. Compos. Part. A Appl. Sci. Manuf. 2017, 102, 400–413. [Google Scholar] [CrossRef]
- Zhang, G. Structure-Tribological Property Relationship of Nanoparticles and Short Carbon Fibers Reinforced PEEK Hybrid Composites. J. Polym. Sci. B Pol. Phys. 2010, 48, 801–811. [Google Scholar] [CrossRef]
- Liu, H.S.; Zhao, Y.; Li, N.; Zhao, X.R.; Han, X.; Li, S.; Lu, W.K.; Wang, K.; Du, S.Y. Enhanced interfacial strength of carbon fiber/PEEK composites using a facile approach via PEI&ZIF-67 synergistic modification. J. Mater. Res. Technol. 2019, 8, 6289–6300. [Google Scholar] [CrossRef]
- Chen, J.L.; Wang, K.; Zhao, Y. Enhanced interfacial interactions of carbon fiber reinforced PEEK composites by regulating PEI and graphene oxide complex sizing at the interface. Compos. Sci. Technol. 2018, 154, 175–186. [Google Scholar] [CrossRef]
- Moosburger-Will, J.; Bauer, M.; Laukmanis, E.; Horny, R.; Wetjen, D.; Manske, T.; Schmidt-Stein, F.; Topker, J.; Horn, S. Interaction between carbon fibers and polymer sizing: Influence of fiber surface chemistry and sizing reactivity. Appl. Surf. Sci. 2018, 439, 305–312. [Google Scholar] [CrossRef]
- Jang, J.; Kim, H. Improvement of carbon fiber/PEEK hybrid fabric composites using plasma treatment. Polym. Compos. 1997, 18, 125–132. [Google Scholar] [CrossRef]
- Mao, J.H.; Pan, Y.S.; Ding, J. Tensile mechanical characteristics of CF/PEEK biocomposites with different surface modifications. Micro Nano Lett. 2019, 14, 263–268. [Google Scholar] [CrossRef]
- Zabihi, O.; Ahmadi, M.; Li, Q.; Shafei, S.; Huson, M.G.; Naebe, M. Carbon fibre surface modification using functionalized nanoclay: A hierarchical interphase for fibre-reinforced polymer composites. Compos. Sci. Technol. 2017, 148, 49–58. [Google Scholar] [CrossRef]
- Li, Q.X.; Church, J.S.; Naebe, M.; Fox, B.L. Interfacial characterization and reinforcing mechanism of novel carbon nanotube-Carbon fibre hybrid composites. Carbon 2016, 109, 74–86. [Google Scholar] [CrossRef]
- Naito, K. Tensile Properties of Polyimide Composites Incorporating Carbon Nanotubes-Grafted and Polyimide-Coated Carbon Fibers. J. Mater. Eng. Perform. 2014, 23, 3245–3256. [Google Scholar] [CrossRef]
- Hassan, E.A.M.; Ge, D.T.; Zhu, S.; Yang, L.L.; Zhou, J.F.; Yu, M.H. Enhancing CF/PEEK composites by CF decoration with polyimide and loosely-packed CNT arrays. Compos. Part. A Appl. Sci. Manuf. 2019, 127, 105613. [Google Scholar] [CrossRef]
- Kim, H.; Ku, B.C.; Goh, M.; Ko, H.C.; Ando, S.; You, N.H. Synergistic Effect of Sulfur and Chalcogen Atoms on the Enhanced Refractive Indices of Polyimides in the Visible and Near-Infrared Regions. Macromolecules 2019, 52, 827–834. [Google Scholar] [CrossRef]
- He, S.Q.; Zhang, S.C.; Lu, C.X.; Wu, G.P.; Yang, Y.; An, F.; Guo, J.H.; Li, H. Polyimide nano-coating on carbon fibers by electrophoretic deposition. Colloids Surf. A Physicochem. Eng. Asp. 2011, 381, 118–122. [Google Scholar] [CrossRef]
- Wang, T.; Jiao, Y.S.; Mi, Z.M.; Li, J.T.; Wang, D.R.N.; Zhao, X.G.; Zhou, H.W.; Chen, C.H. PEEK composites with polyimide sizing SCF as reinforcement: Preparation, characterization, and mechanical properties. High Perform. Polym. 2020, 32, 383–393. [Google Scholar] [CrossRef]
- Naganuma, T.; Naito, K.; Yang, J.M. High-temperature vapor deposition polymerization polyimide coating for elimination of surface nano-flaws in high-strength carbon fiber. Carbon 2011, 49, 3881–3890. [Google Scholar] [CrossRef]
- Jung, H.; Choi, H.K.; Oh, Y.; Hong, H.; Yu, J. Enhancement of thermomechanical stability for nanocomposites containing plasma treated carbon nanotubes with an experimental study and molecular dynamics simulations. Sci. Rep. 2020, 10, 405. [Google Scholar] [CrossRef]
- Jung, H.; Choi, H.K.; Kim, S.; Lee, H.S.; Kim, Y.; Yu, J. The influence of N-doping types for carbon nanotube reinforced epoxy composites: A combined experimental study and molecular dynamics simulation. Compos. Part A Appl. Sci. Manuf. S. 2017, 103, 17–24. [Google Scholar] [CrossRef]
- Li, Y.L.; Wang, S.J.; Wang, Q. A molecular dynamics simulation study on enhancement of mechanical and tribological properties of polymer composites by introduction of graphene. Carbon 2017, 111, 538–545. [Google Scholar] [CrossRef]
- Jiao, W.W.; Hou, C.L.; Zhang, X.H.; Liu, W.B. Molecular dynamics simulation of the influence of sizing agent on the interfacial properties of sized carbon fiber/vinyl ester resin composite modified by self-migration method. Compos. Interfaces 2021, 28, 445–459. [Google Scholar] [CrossRef]
- Jin, Y.K.; Duan, F.L.; Mu, X.J. Functionalization enhancement on interfacial shear strength between graphene and polyethylene. Appl. Surf. Sci. 2016, 387, 1100–1109. [Google Scholar] [CrossRef]
- ASTM D2344/D2344M; Standard Test Method for Short-Beam Strength of Polymer Matrix Composite Materials and Their Laminates; Annual Book of ASTM Standards. ASTM: West Conshohocken, PA, USA, 2013.
- ASTM D4065; Standard Practice for Plastics: Dynamic Mechanical Properties: Determination and Report of Procedures; Annual Book of ASTM Standards. ASTM: West Conshohocken, PA, USA, 2001.
- Sun, H. COMPASS: An ab initio force-field optimized for condensed-phase applications-Overview with details on alkane and benzene compounds. J. Phys. Chem. B 1998, 102, 7338–7364. [Google Scholar] [CrossRef]
- Yao, Y.; Chen, S.H. The effects of fiber’s surface roughness on the mechanical properties of fiber-reinforced polymer composites. J. Compos. Mater. 2013, 47, 2909–2923. [Google Scholar] [CrossRef]
- Liu, H.S.; Zhao, Y.; Li, N.; Li, S.; Li, X.K.; Liu, Z.W.; Cheng, S.; Wang, K.; Du, S.Y. Effect of polyetherimide sizing on surface properties of carbon fiber and interfacial strength of carbon fiber/polyetheretherketone composites. Polym. Compos. 2021, 42, 931–943. [Google Scholar] [CrossRef]
- Kong, D.C.; Yang, M.H.; Zhang, X.S.; Du, Z.C.; Fu, Q.; Gao, X.Q.; Gong, J.W. Control of Polymer Properties by Entanglement: A Review. Macromol. Mater. Eng. 2021, 306, 2100536. [Google Scholar] [CrossRef]
- Raghavendran, V.K.; Drzal, L.T.; Askeland, P. Effect of surface oxygen content and roughness on interfacial adhesion in carbon fiber-polycarbonate composites. J. Adhes. Sci. Technol. 2002, 16, 1283–1306. [Google Scholar] [CrossRef]
- Zheng, H.; Zhang, W.J.; Li, B.W.; Zhu, J.J.; Wang, C.H.; Song, G.J.; Wu, G.S.; Yang, X.P.; Huang, Y.D.; Ma, L.C. Recent advances of interphases in carbon fiber-reinforced polymer composites: A review. Compos. B Eng. 2022, 233, 109639. [Google Scholar] [CrossRef]
- Tang, L.G.; Kardos, J.L. A review of methods for improving the interfacial adhesion between carbon fiber and polymer matrix. Polym. Compos. 1997, 18, 100–113. [Google Scholar] [CrossRef]
- Hwang, D.; Lee, S.G.; Cho, D. Dual-Sizing Effects of Carbon Fiber on the Thermal, Mechanical, and Impact Properties of Carbon Fiber/ABS Composites. Polymers 2021, 13, 2298. [Google Scholar] [CrossRef]
- Sun, S.Q.; Chen, S.H.; Weng, X.Z.; Shan, F.; Hu, S.Q. Effect of Carbon Nanotube Addition on the Interfacial Adhesion between Graphene and Epoxy: A Molecular Dynamics Simulation. Polymers 2019, 11, 121. [Google Scholar] [CrossRef]
- Zuo, Z.; Liang, L.F.; Bao, Q.Q.; Yan, P.T.; Jin, X.; Yang, Y.L. Molecular Dynamics Calculation on the Adhesive Interaction Between the Polytetrafluoroethylene Transfer Film and Iron Surface. Front. Chem. 2021, 9, 740447. [Google Scholar] [CrossRef]














| Sample (300 K) | |||||
|---|---|---|---|---|---|
| de-CF/PEEK | 243,256.35 | 229,233.60 | 15,811.53 | −1788.79 | |
| PI-Sized CF/PEEK | 0.3 wt% | 243,991.70 | 229,315.41 | 16,554.02 | −1877.73 |
| 1.0 wt% | 244,734.37 | 229,173.83 | 17,430.01 | −1869.48 | |
| 2.0 wt% | 242,697.81 | 229,127.90 | 15,385.85 | −1815.94 | |
| 5.0 wt% | 240,873.99 | 228,557.79 | 14,083.48 | −1767.29 | |
Disclaimer/Publisher’s Note: The statements, opinions and data contained in all publications are solely those of the individual author(s) and contributor(s) and not of MDPI and/or the editor(s). MDPI and/or the editor(s) disclaim responsibility for any injury to people or property resulting from any ideas, methods, instructions or products referred to in the content. |
© 2023 by the authors. Licensee MDPI, Basel, Switzerland. This article is an open access article distributed under the terms and conditions of the Creative Commons Attribution (CC BY) license (https://creativecommons.org/licenses/by/4.0/).
Share and Cite
Jung, H.; Bae, K.J.; Oh, Y.; Jin, J.-U.; You, N.-H.; Yu, J. Effects on the Thermo-Mechanical and Interfacial Performance of Newly Developed PI-Sized Carbon Fiber–Polyether Ether Ketone Composites: Experiments and Molecular Dynamics Simulations. Polymers 2023, 15, 1646. https://doi.org/10.3390/polym15071646
Jung H, Bae KJ, Oh Y, Jin J-U, You N-H, Yu J. Effects on the Thermo-Mechanical and Interfacial Performance of Newly Developed PI-Sized Carbon Fiber–Polyether Ether Ketone Composites: Experiments and Molecular Dynamics Simulations. Polymers. 2023; 15(7):1646. https://doi.org/10.3390/polym15071646
Chicago/Turabian StyleJung, Hana, Kwak Jin Bae, Yuna Oh, Jeong-Un Jin, Nam-Ho You, and Jaesang Yu. 2023. "Effects on the Thermo-Mechanical and Interfacial Performance of Newly Developed PI-Sized Carbon Fiber–Polyether Ether Ketone Composites: Experiments and Molecular Dynamics Simulations" Polymers 15, no. 7: 1646. https://doi.org/10.3390/polym15071646
APA StyleJung, H., Bae, K. J., Oh, Y., Jin, J.-U., You, N.-H., & Yu, J. (2023). Effects on the Thermo-Mechanical and Interfacial Performance of Newly Developed PI-Sized Carbon Fiber–Polyether Ether Ketone Composites: Experiments and Molecular Dynamics Simulations. Polymers, 15(7), 1646. https://doi.org/10.3390/polym15071646

