Carbon Nanotube-Based Intumescent Flame Retardants Achieve High-Efficiency Flame Retardancy and Simultaneously Avoid Mechanical Property Loss
Abstract
1. Introduction
2. Experimental Part
2.1. Materials
2.2. Preparation of CNTs/TA by TA-Modified CNTs
2.3. Preparation of CTAPP by CNTs/TA Wrapped APP
2.4. Preparation of NR/CTAPP by Adding CTAPP
2.5. Characterization
3. Results and Discussion
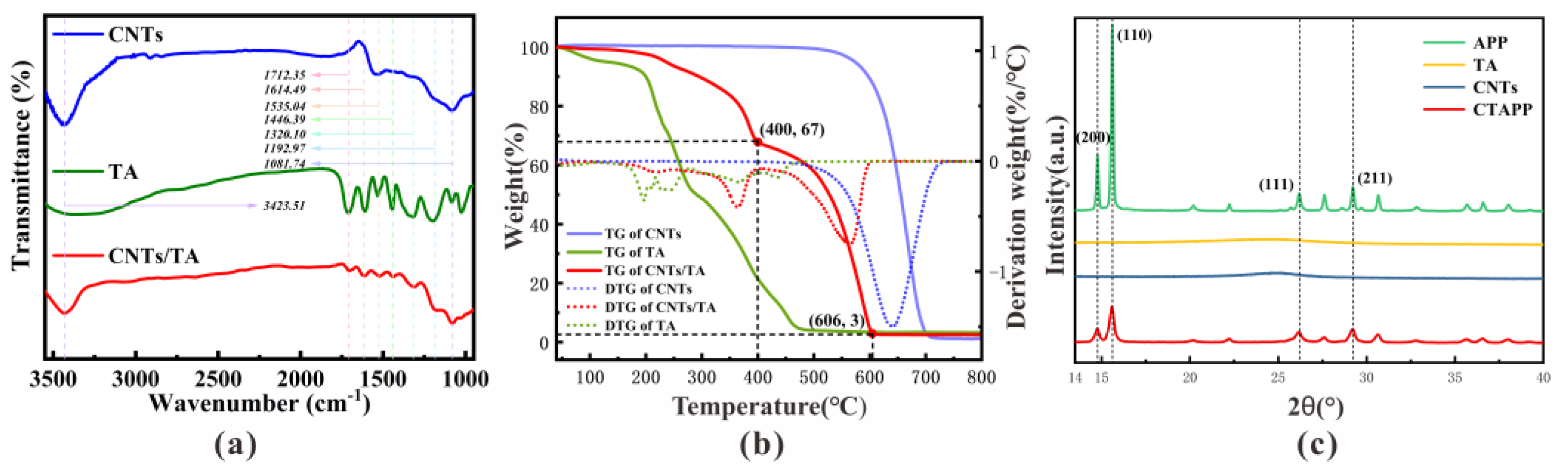
3.1. Characterization of Modified Flame Retardant CTAPP
3.2. Analysis of NR/CTAPP Flame Retardant Properties
3.2.1. Flammability Analysis of NR
3.2.2. Cone Calorimeter Test
3.2.3. Analysis of Char Residue
3.2.4. Flame-Retardant Mechanism
3.3. Mechanical Properties of NR/CTAPP Composites
4. Conclusions
Supplementary Materials
Author Contributions
Funding
Institutional Review Board Statement
Data Availability Statement
Conflicts of Interest
References
- Torretta, V.; Rada, E.C.; Ragazzi, M.; Trulli, E.; Istrate, I.A.; Cioca, L.I. Treatment and disposal of tyres: Two eu approaches. a review. Waste Manag. 2015, 45, 152–160. [Google Scholar] [CrossRef]
- Khodadadi, A.; Liaghat, G.; Taherzadeh-Fard, A.; Shahgholian-Ghahfarokhi, D. Impact characteristics of soft composites using shear thickening fluid and natural rubber–a review of current status. Compos. Struct. 2021, 271, 114092. [Google Scholar] [CrossRef]
- Guo, H.; Ji, P.; Halász, I.Z.; Pirityi, D.Z.; Bárány, T.; Xu, Z.; Zheng, L.; Zhang, L.; Liu, L.; Wen, S. Enhanced fatigue and durability properties of natural rubber composites reinforced with carbon nanotubes and graphene oxide. Materials 2020, 13, 5746. [Google Scholar] [CrossRef] [PubMed]
- Araby, S.; Philips, B.; Meng, Q.; Ma, J.; Laoui, T.; Wang, C.H. Recent advances in carbon-based nanomaterials for flame retardant polymers and composites. Compos. Part B Eng. 2021, 212, 108675. [Google Scholar] [CrossRef]
- Men, X.; Wang, F.; Chen, G.; Zhang, H.; Xian, M. Biosynthesis of natural rubber: Current state and perspectives. Int. J. Mol. Sci. 2019, 20, 50. [Google Scholar] [CrossRef]
- Cheng, J.; Niu, S.; Zhao, Y.; Liu, Y.; Kang, M.; Guan, Y.; Zhang, F. The flame retardant and thermal conductivity properties of high thermal conductivity expandable graphite microcapsule filled natural rubber composites. Constr. Build. Mater. 2022, 318, 125998. [Google Scholar] [CrossRef]
- Wan, L.; Deng, C.; Zhao, Z.; Chen, H.; Wang, Y. Flame retardation of natural rubber: Strategy and recent progress. Polymers 2020, 12, 429. [Google Scholar] [CrossRef]
- Hu, X.; Sun, Z.; Sun, Z. Synthesis of a novel macromolecular carbon-nitrogen-phosphorous intumescent flame retardant. Adv. Powder Technol. 2021, 32, 1341–1349. [Google Scholar] [CrossRef]
- Feng, C.; Liang, M.; Jiang, J.; Zhang, Y.; Huang, J.; Liu, H. Synergism effect of CeO2 on the flame retardant performance of intumescent flame retardant polypropylene composites and its mechanism. J. Anal. Appl. Pyrolysis 2016, 122, 405–414. [Google Scholar] [CrossRef]
- Zhu, Z.; Wang, L.; Dong, L. Influence of a novel p/n-containing oligomer on flame retardancy and thermal degradation of intumescent flame-retardant epoxy resin. Polym. Degrad. Stab. 2019, 162, 129–137. [Google Scholar] [CrossRef]
- Li, X.; Zhang, F.; Jian, R.; Ai, Y.; Ma, J.; Hui, G.; Wang, D. Influence of eco-friendly calcium gluconate on the intumescent flame-retardant epoxy resin: Flame retardancy, smoke suppression and mechanical properties. Compos. Part B Eng. 2019, 176, 107200. [Google Scholar] [CrossRef]
- Li, S.; Liu, Y.; Liu, Y.; Wang, Q. Synergistic effect of piperazine pyrophosphate and epoxy-octavinyl silsesquioxane on flame retardancy and mechanical properties of epoxy resin. Compos. Part B Eng. 2021, 223, 109115. [Google Scholar] [CrossRef]
- Feng, T.; Zhang, Y.; Wang, Y.; Dong, H.; Piao, J.; Wang, Y.; Ren, J.; Chen, W.; Liu, W.; Chen, X.; et al. Fabrication of hollow carbon spheres modified by molybdenum compounds towards toxicity reduction and flame retardancy of thermoplastic polyurethane. Polym. Adv. Technol. 2022, 33, 723–737. [Google Scholar] [CrossRef]
- Yang, H.; Guan, Y.; Ye, L.; Wang, S.; Li, S.; Wen, X.; Chen, X.; Mijowska, E.; Tang, T. Synergistic effect of nanoscale carbon black and ammonium polyphosphate on improving thermal stability and flame retardancy of polypropylene: A reactive network for strengthening carbon layer. Compos. Part B Eng. 2019, 174, 107038. [Google Scholar] [CrossRef]
- Li, L.; Liu, X.; Shao, X.; Jiang, L.; Huang, K.; Zhao, S. Synergistic effects of a highly effective intumescent flame retardant based on tannic acid functionalized graphene on the flame retardancy and smoke suppression properties of natural rubber. Compos. Part A Appl. Sci. Manuf. 2020, 129, 105715. [Google Scholar] [CrossRef]
- Wang, N.; Wu, Y.; Mi, L.; Zhang, J.; Li, X.; Fang, Q. The influence of silicone shell on double-layered microcapsules in intumescent flame-retardant natural rubber composites. J. Therm. Anal. Calorim. 2014, 118, 349–357. [Google Scholar] [CrossRef]
- Tafesse, M.; Kim, H.-K. The role of carbon nanotube on hydration kinetics and shrinkage of cement composite. Compos. Part B Eng. 2019, 169, 55–64. [Google Scholar] [CrossRef]
- Li, C.; He, Y.; Li, Z.; Li, H.; Zhao, Y. Graphene loaded with corrosion inhibitor cerium (III) cation for enhancing corrosion resistance of waterborne epoxy coating: Physical barrier and self-healing. Colloids Surf. A Physicochem. Eng. Asp. 2022, 635, 128048. [Google Scholar] [CrossRef]
- Ricci, A.; Olejar, K.; Parpinello, G.; Kilmartin, P.; Versari, A. Application of fourier transform infrared (ftir) spectroscopy in the characterization of tannins. Appl. Spectrosc. Rev. 2015, 50, 407–442. [Google Scholar] [CrossRef]
- Zhang, W.; Yang, Z.; Tang, R.; Guan, J.; Qiao, Y. Application of tannic acid and ferrous ion complex as eco-friendly flame retardant and antibacterial agents for silk. J. Clean. Prod. 2020, 250, 119545. [Google Scholar] [CrossRef]
- Durkin, D.; Gallagher, M.; Frank, B.; Knowlton, E.; Trulove, P.; Fairbrother, H.; Fox, D. Phosphorus-functionalized multi-wall carbon nanotubes as flame-retardant additives for polystyrene and poly (methyl methacrylate). J. Therm. Anal. Calorim. 2017, 130, 735–753. [Google Scholar] [CrossRef]
- Juarez-Perez, E.; Hawash, Z.; Raga, S.; Ono, L.; Qi, Y. Thermal degradation of CH3NH3PbI3 perovskite into NH3 and CH3 I gases observed by coupled thermogravimetry–mass spectrometry analysis. Energy Environ. Sci. 2016, 9, 3406–3410. [Google Scholar] [CrossRef]
- Bottom, R. Thermogravimetric analysis. Princ. Appl. Therm. Anal. 2008, 1, 87–118. [Google Scholar]
- Singh, R.K.; Ruj, B.; Sadhukhan, A.K.; Gupta, P. A tg-ftir investigation on the co-pyrolysis of the waste hdpe, pp, ps and pet under high heating conditions. J. Energy Inst. 2020, 93, 1020–1035. [Google Scholar] [CrossRef]
- Huang, N.; Cao, C.; Li, Y.; Zhao, L.; Zhang, G.; Gao, J.; Guan, L.; Jiang, J.; Tang, L. Silane grafted graphene oxide papers for improved flame resistance and fast fire alarm response. Compos. Part B Eng. 2019, 168, 413–420. [Google Scholar] [CrossRef]
- Lin, H.; Yan, H.; Liu, B.; Wei, L.; Xu, B. The influence of kh-550 on properties of ammonium polyphosphate and polypropylene flame retardant composites. Polym. Degrad. Stab. 2011, 96, 1382–1388. [Google Scholar] [CrossRef]
- Liu, L.; Lou, H.; Chen, M. Selective hydrogenation of furfural to tetrahydrofurfuryl alcohol over ni/cnts and bimetallic cuni/cnts catalysts. Int. J. Hydrogen Energy 2016, 41, 14721–14731. [Google Scholar] [CrossRef]
- Chen, Y.; Peng, L.; Liu, T.; Wang, Y.; Shi, S.; Wang, H. Poly(vinyl alcohol)–tannic acid hydrogels with excellent mechanical properties and shape memory behaviors. ACS Appl. Mater. Interfaces 2016, 8, 27199–27206. [Google Scholar] [CrossRef]
- Zhang, Z.; Zhang, N.; Peng, J.; Fang, X.; Gao, X.; Fang, Y. Preparation and thermal energy storage properties of paraffin/expanded graphite composite phase change material. Appl. Energy 2012, 91, 426–431. [Google Scholar] [CrossRef]
- Tirri, T.; Aubert, M.; Aziz, H.; Brusentsev, Y.; Pawelec, W.; Wilén, C.-E. Sulfenamides in synergistic combination with halogen free flame retardants in polypropylene. Polym. Degrad. Stab. 2019, 164, 75–89. [Google Scholar] [CrossRef]
- Wang, B.; Li, P.; Xu, Y.; Jiang, Z.; Dong, C.; Liu, Y.; Zhu, P. Bio-based, nontoxic and flame-retardant cotton/alginate blended fibres as filling materials: Thermal degradation properties, flammability and flame-retardant mechanism. Compos. Part B Eng. 2020, 194, 108038. [Google Scholar] [CrossRef]
- Shang, S.; Yuan, B.; Sun, Y.; Chen, G.; Huang, C.; Yu, B.; He, S.; Dai, H.; Chen, X. Facile preparation of layered melamine-phytate flame retardant via supramolecular self-assembly technology. J. Colloid Interface Sci. 2019, 553, 364–371. [Google Scholar] [CrossRef] [PubMed]
- Zhu, C.; He, M.; Liu, Y.; Cui, J.; Tai, Q.; Song, L.; Hu, Y. Synthesis and application of a mono-component intumescent flame retardant for polypropylene. Polym. Degrad. Stab. 2018, 151, 144–151. [Google Scholar] [CrossRef]
- Vahabi, H.; Kandola, B.K.; Saeb, M.R. Flame retardancy index for thermoplastic composites. Polymers 2019, 11, 407. [Google Scholar] [CrossRef] [PubMed]
- Li, S.; Zhang, Y.; Li, L.; Zhang, X. Synthesis of a phosphaphenanthrene/triazole oligomer for simultaneous improvement of flame retardancy and smoke suppression of epoxy resins. Compos. Commun. 2021, 28, 100965. [Google Scholar] [CrossRef]
- Vahabi, H.; Movahedifar, E.; Ganjali, M.R.; Saeb, M.R. Polymer nanocomposites from the flame retardancy viewpoint: A comprehensive classification of nanoparticle performance using the flame retardancy index. In Handbook of Polymer Nanocomposites for Industrial Applications; Elsevier: Amsterdam, The Netherlands, 2021; pp. 61–146. [Google Scholar]
- Takács, V.; Marosi, G.; Bocz, K. Microfibrous cyclodextrin boosts flame retardancy of poly (lactic acid). Polym. Degrad. Stab. 2021, 191, 109655. [Google Scholar]
- Wang, S.; Wang, S.; Shen, M.; Xu, X.; Liu, H.; Wang, D.; Wang, H.; Shang, S. Biobased phosphorus siloxane-containing polyurethane foam with flame-retardant and smoke-suppressant performances. ACS Sustain. Chem. Eng. 2021, 9, 8623–8634. [Google Scholar] [CrossRef]
- Yu, B.; Tawiah, B.; Wang, L.; Yuen, A.C.Y.; Zhang, Z.; Shen, L.; Lin, B.; Fei, B.; Yang, W.; Li, A.; et al. Interface decoration of exfoliated mxene ultra-thin nanosheets for fire and smoke suppressions of thermoplastic polyurethane elastomer. J. Hazard. Mater. 2019, 374, 110–119. [Google Scholar] [CrossRef]
- Das, O.; Bhattacharyya, D.; Hui, D.; Lau, K.-T. Mechanical and flammability characterisations of biochar/polypropylene biocomposites. Compos. Part B Eng. 2016, 106, 120–128. [Google Scholar] [CrossRef]
- Kong, Q.; Wu, T.; Zhang, J.; Wang, D. Simultaneously improving flame retardancy and dynamic mechanical properties of epoxy resin nanocomposites through layered copper phenylphosphate. Compos. Sci. Technol. 2018, 154, 136–144. [Google Scholar] [CrossRef]
- Yang, W.; Tawiah, B.; Yu, C.; Qian, Y.; Wang, L.; Yuen, A.C.; Zhu, S.; Hu, E.; Chen, T.B.; Yu, B.; et al. Manufacturing, mechanical and flame retardant properties of poly(lactic acid) biocomposites based on calcium magnesium phytate and carbon nanotubes. Compos. Part A Appl. Sci. Manuf. 2018, 110, 227–236. [Google Scholar] [CrossRef]
- Zhang, J.; Li, Z.; Zhang, L.; Molleja, J.G.; Wang, D.-Y. Bimetallic metal-organic frameworks and graphene oxide nano-hybrids for enhanced fire retardant epoxy composites: A novel carbonization mechanism. Carbon 2019, 153, 407–416. [Google Scholar] [CrossRef]
- Chen, X.; Ma, C.; Jiao, C. Enhancement of flame-retardant performance of thermoplastic polyurethane with the incorporation of aluminum hypophosphite and iron-graphene. Polym. Degrad. Stab. 2016, 129, 275–285. [Google Scholar] [CrossRef]
- Lim, K.-S.; Bee, S.-T.; Sin, L.T.; Tee, T.-T.; Ratnam, C.T.; Hui, D.; Rahmat, A.R. A review of application of ammonium polyphosphate as intumescent flame retardant in thermoplastic composites. Compos. Part B Eng. 2016, 84, 155–174. [Google Scholar] [CrossRef]
- Yuan, D.; Ding, J.; Mou, W.; Wang, Y.; Chen, Y. Bio-based polylactide/epoxidized natural rubber thermoplastic vulcanizates with a co-continuous phase structure. Polym. Test. 2017, 64, 200–206. [Google Scholar] [CrossRef]










| Sample | NR Latex | AO | ZnO | SA | Si69 | APP | CTAPP | CB | S | CBS |
|---|---|---|---|---|---|---|---|---|---|---|
| Amounts (phr) | 166.7 | 1.0 | 5.0 | 2.0 | 3.5 | Variable | Variable | 30.0 | 1.4 | 1.2 |
| Sample | Composition | LOI (1%) | UL-94 Rating | Dripping | ||
|---|---|---|---|---|---|---|
| NR | APP | CTAPP | ||||
| NR0 | 100 | 0 | 0 | 19.6 | NOR | Y |
| NR1 | 100 | 10 | - | 19.8 | NOR | Y |
| NR2 | 100 | - | 10 | 20.4 | NOR | Y |
| NR3 | 100 | 30 | - | 22.9 | V-2 | N |
| NR4 | 100 | - | 30 | 23.7 | V-2 | N |
| NR5 | 100 | 50 | - | 27.3 | V-1 | N |
| NR6 | 100 | - | 50 | 28.6 | V-0 | N |
| Sample | TTI (s) | PHRR (kM/m2) | TPHRR (s) | THR (MJ/m2) | TSP (m2) | MASS (g) | FPI a (10−2 m2s/kW) | FGI b (kw/m2s) | FRI c |
|---|---|---|---|---|---|---|---|---|---|
| NR0 | 34 | 1667.26 | 104 | 142.06 | 23.37 | 4.42 | 2.04 | 16.03 | 1.00 |
| NR1 | 37 | 1282.81 | 116 | 117.12 | 23.36 | 5.94 | 2.88 | 11.06 | 1.72 |
| NR2 | 39 | 1119.24 | 122 | 134.42 | 21.97 | 7.35 | 3.48 | 9.17 | 1.81 |
| NR3 | 44 | 1178.39 | 102 | 126.15 | 15.17 | 8.95 | 3.73 | 11.55 | 2.06 |
| NR4 | 49 | 1031.77 | 119 | 119.28 | 13.61 | 9.96 | 4.75 | 8.67 | 2.77 |
| NR5 | 52 | 729.96 | 83 | 79.96 | 12.81 | 10.75 | 7.12 | 8.79 | 6.21 |
| NR6 | 58 | 527.20 | 90 | 50.85 | 11.79 | 13.74 | 11.00 | 5.86 | 15.07 |
Disclaimer/Publisher’s Note: The statements, opinions and data contained in all publications are solely those of the individual author(s) and contributor(s) and not of MDPI and/or the editor(s). MDPI and/or the editor(s) disclaim responsibility for any injury to people or property resulting from any ideas, methods, instructions or products referred to in the content. |
© 2023 by the authors. Licensee MDPI, Basel, Switzerland. This article is an open access article distributed under the terms and conditions of the Creative Commons Attribution (CC BY) license (https://creativecommons.org/licenses/by/4.0/).
Share and Cite
Qu, Q.; Xu, J.; Wang, H.; Yu, Y.; Dong, Q.; Zhang, X.; He, Y. Carbon Nanotube-Based Intumescent Flame Retardants Achieve High-Efficiency Flame Retardancy and Simultaneously Avoid Mechanical Property Loss. Polymers 2023, 15, 1406. https://doi.org/10.3390/polym15061406
Qu Q, Xu J, Wang H, Yu Y, Dong Q, Zhang X, He Y. Carbon Nanotube-Based Intumescent Flame Retardants Achieve High-Efficiency Flame Retardancy and Simultaneously Avoid Mechanical Property Loss. Polymers. 2023; 15(6):1406. https://doi.org/10.3390/polym15061406
Chicago/Turabian StyleQu, Qi, Jin Xu, Huanhuan Wang, Yinrui Yu, Qianpeng Dong, Xianhua Zhang, and Yan He. 2023. "Carbon Nanotube-Based Intumescent Flame Retardants Achieve High-Efficiency Flame Retardancy and Simultaneously Avoid Mechanical Property Loss" Polymers 15, no. 6: 1406. https://doi.org/10.3390/polym15061406
APA StyleQu, Q., Xu, J., Wang, H., Yu, Y., Dong, Q., Zhang, X., & He, Y. (2023). Carbon Nanotube-Based Intumescent Flame Retardants Achieve High-Efficiency Flame Retardancy and Simultaneously Avoid Mechanical Property Loss. Polymers, 15(6), 1406. https://doi.org/10.3390/polym15061406
