Structural, Optical, and Electrical Investigations of Nd2O3-Doped PVA/PVP Polymeric Composites for Electronic and Optoelectronic Applications
Abstract
1. Introduction
2. Experimental Work
2.1. Preparation of PVA/PVP–Nd2O3 Polymeric Composite Films
2.2. Characterizations and Devices
3. Results and Discussion
3.1. X-ray Diffraction (XRD) Patterns of PVA/PVP Doped on Nd2O3 Composites
3.2. FT-IR Analysis of PVA/PVP Doped on Nd2O3 Composite Film
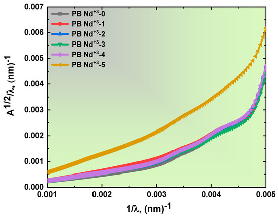
3.3. The Optical Analysis of Nd2O3-PVA/PVP Polymeric Composite Film
3.3.1. Extraction of the Refractive Index from the Energy Bandgap
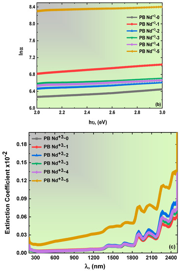
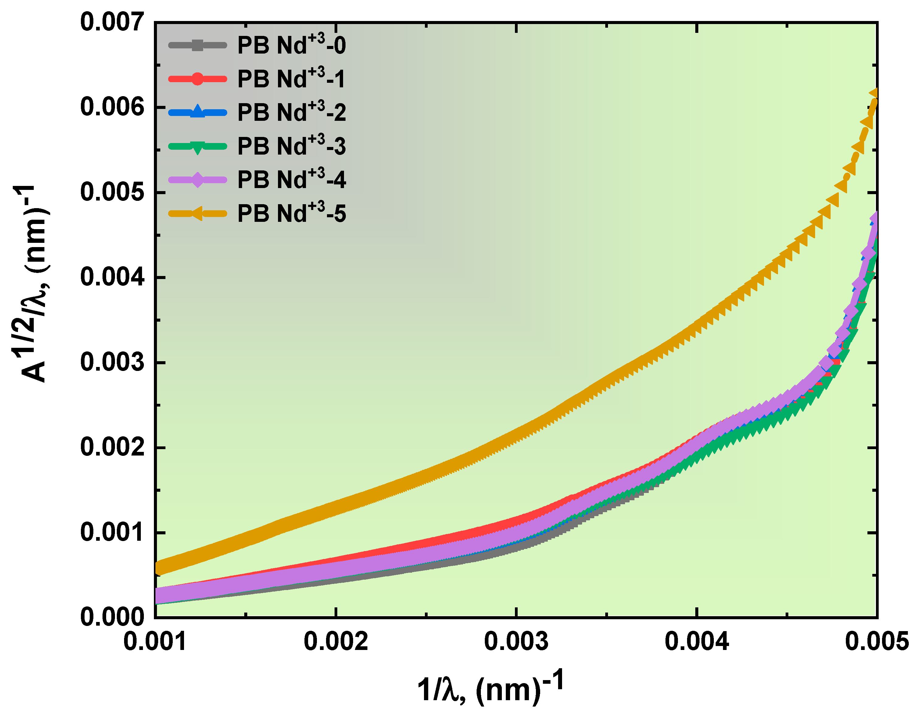
3.3.2. Nonlinear Optical Properties of Nd2O3-Doped PVA/PVP Composite Films
3.4. The Optical Limiting Effects of PVA/PVP Doping with Nd2O3 Composite Films
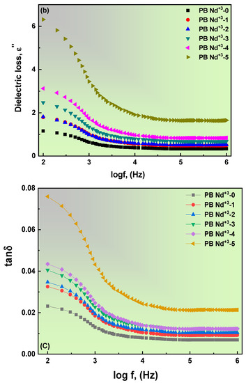
3.5. Dielectric Properties of PVA/PVP Doped with Nd2O3 Composite Films
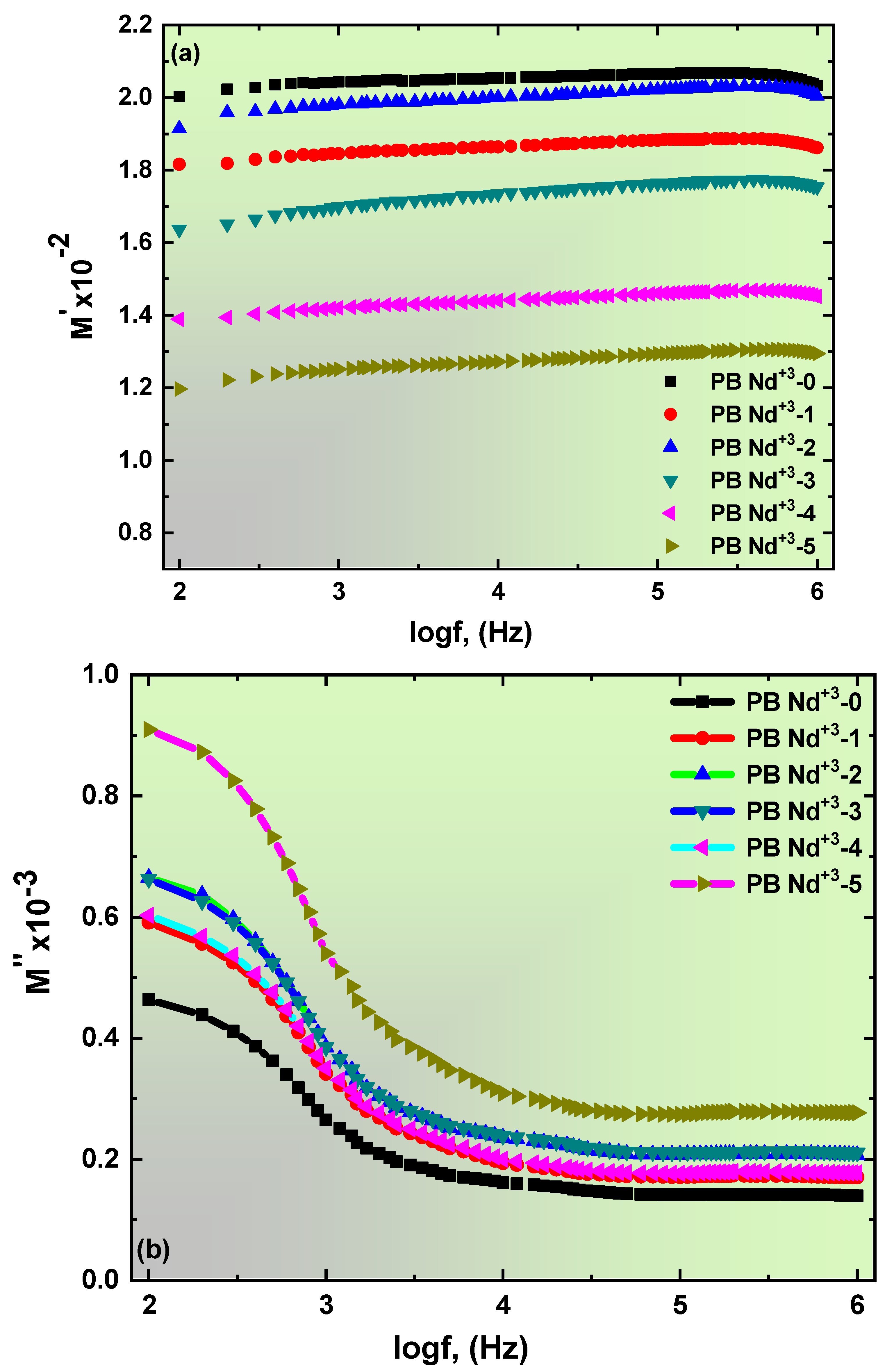
3.6. Electric Module Study of PVA/PVP Doped with Nd2O3 Composite Films
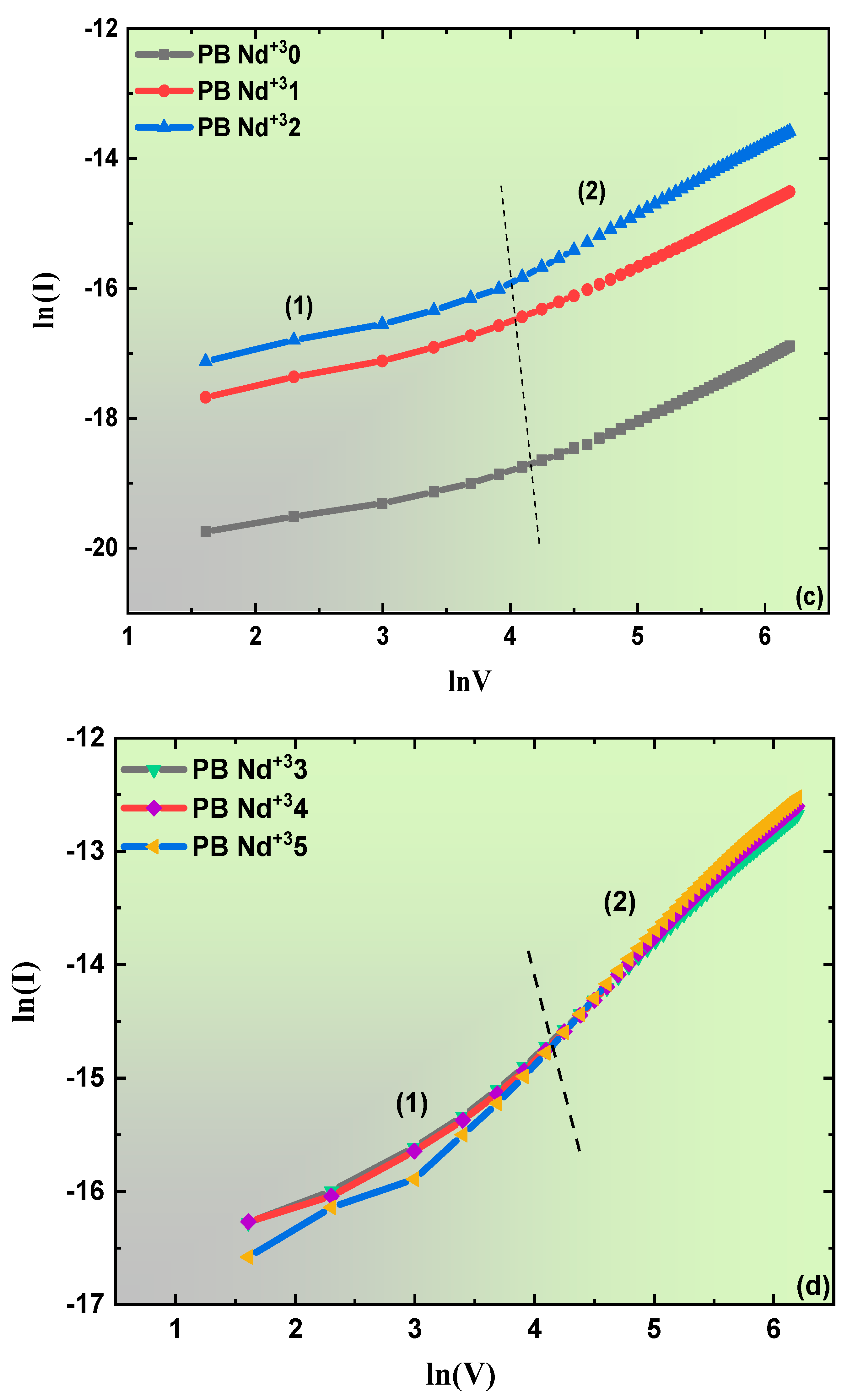
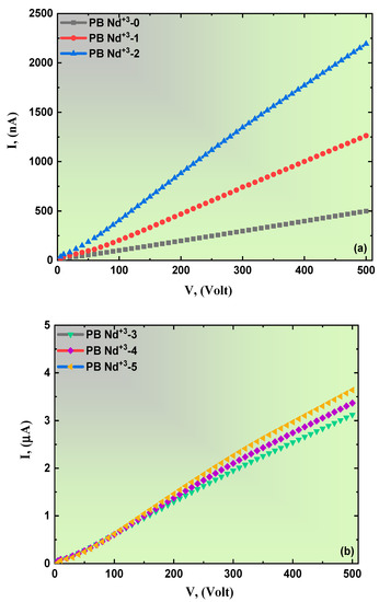
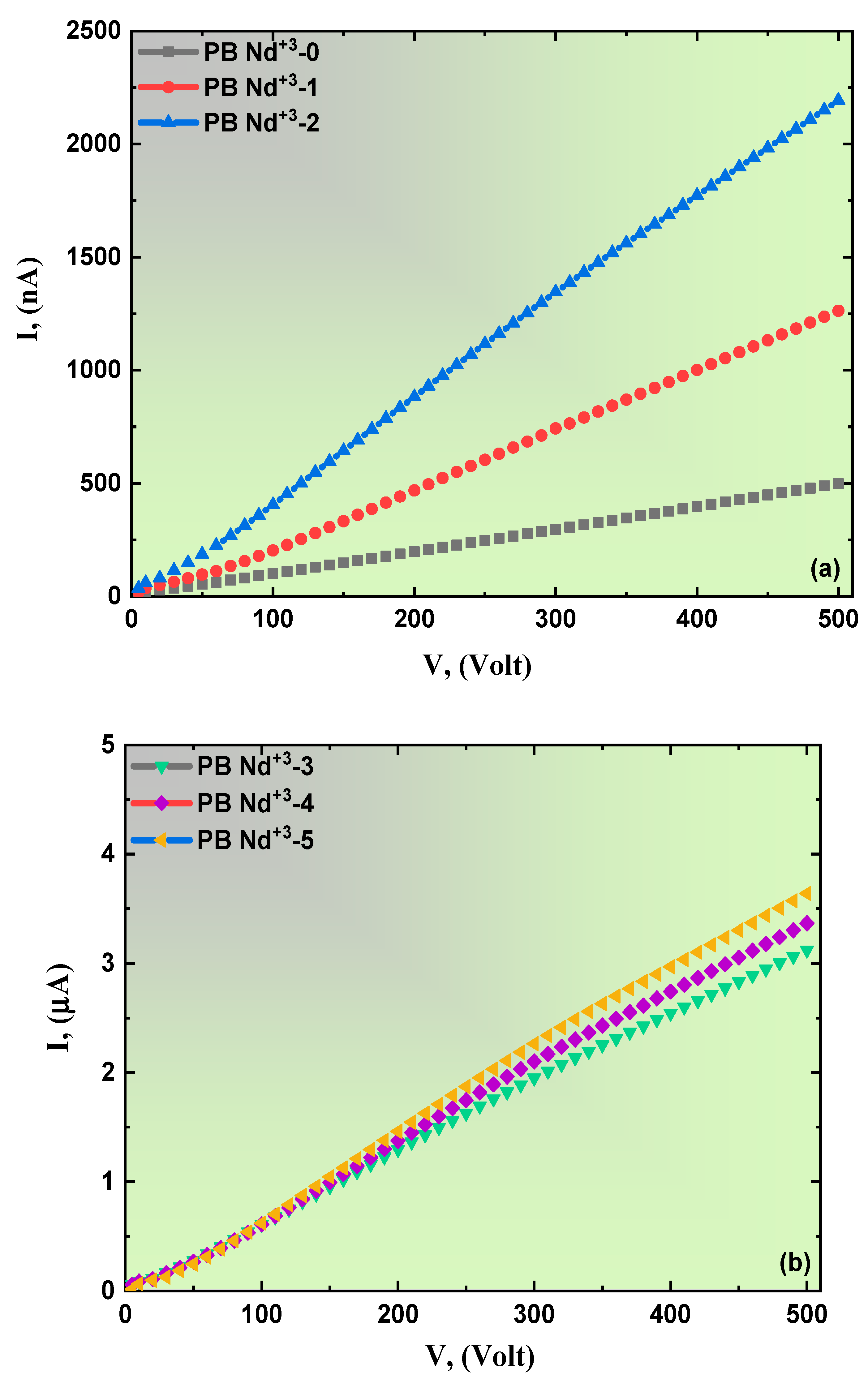
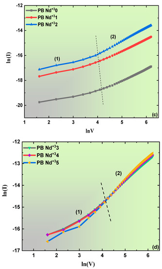
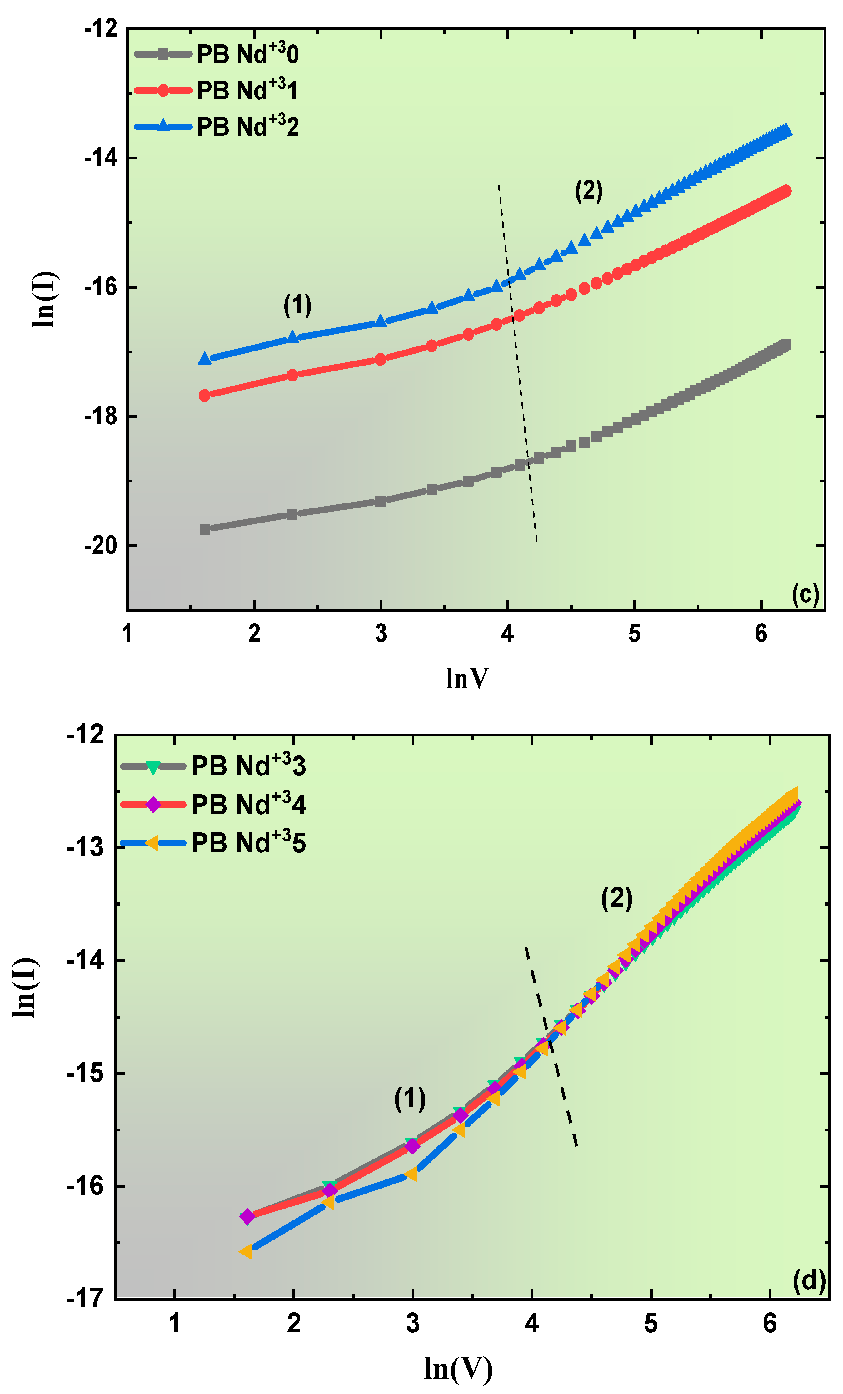
3.7. I-V Characteristic Plot of PVA/PVP Doping with Nd2O3 Composite Films
4. Conclusions
Author Contributions
Funding
Data Availability Statement
Acknowledgments
Conflicts of Interest
References
- Kanda, M.; Nishi, Y. Effects of Water Absorption on Impact Value of Aluminum Dispersed Composite Nylon6. Mater. Trans. 2009, 50, 177–181. [Google Scholar] [CrossRef]
- Kadham Algidsawi, A.J.; Hashim, A.; Hadi, A.; Habeeb, M.A.; Abed, H.H. Influence of MnO2 Nanoparticles Addition on Structural, Optical and Dielectric Characteristics of PVA/PVP for Pressure Sensors. Phys. Chem. Solid State 2022, 23, 353–360. [Google Scholar] [CrossRef]
- Khalid, S.; Nazir, R. Hybrid Metal-Polymer Nanocomposites: Synthesis, Characterization, and Applications. In Handbook of Polymer and Ceramic Nanotechnology; Springer: Cham, Switzerland, 2021; pp. 1–36. [Google Scholar] [CrossRef]
- Fan, J.; Njuguna, J. An introduction to lightweight composite materials and their use in transport structures. In Lightweight Composite Structures in Transport: Design, Manufacturing, Analysis and Performance; Elsevier Inc.: Amsterdam, The Netherlands, 2016; pp. 3–34. [Google Scholar] [CrossRef]
- Amin, E.M.; Karmakar, N.C.; Winther-Jensen, B. Polyvinyl-Alcohol (PVA)-Based rf humidity sensor in microwave frequency. Prog. Electromagn. Res. 2013, 54, 149–166. [Google Scholar] [CrossRef]
- Teodorescu, M.; Bercea, M.; Morariu, S. Biomaterials of PVA and PVP in medical and pharmaceutical applications: Perspectives and challenges. Biotechnol. Adv. 2018, 37, 109–131. [Google Scholar] [CrossRef] [PubMed]
- Huang, H.-Y.; Hu, S.-H.; Chian, C.-S.; Chen, S.-Y.; Lai, H.-Y.; Chen, Y.-Y. Self-assembling PVA-F127 thermosensitive nanocarriers with highly sensitive magnetically-triggered drug release for epilepsy therapy in vivo. J. Mater. Chem. 2012, 22, 8566–8573. [Google Scholar] [CrossRef]
- Jiang, S.; Liu, S.; Feng, W. PVA hydrogel properties for biomedical application. J. Mech. Behav. Biomed. Mater. 2011, 4, 1228–1233. [Google Scholar] [CrossRef]
- Uedaira, H.; Yamauchi, A.; Nagasawa, J.; Ichijo, H.; Suehiro, T.; Ichimura, K. The effect of immobilization in photocrosslinked polymer on the thermal stability of invertase. Sen’i Gakkaishi 1984, 40, T317–T321. [Google Scholar] [CrossRef]
- Hirai, T.; Asada, Y.; Suzuki, T.; Hayashi, S.; Nambu, M. Studies on elastic hydrogel membrane. I. Effect of preparation conditions on the membrane performance. J. Appl. Polym. Sci. 1989, 38, 491–502. [Google Scholar] [CrossRef]
- Keikhaei, M.; Motevalizadeh, L.; Attaran-Kakhki, E. Optical Properties of Neodymium Oxide Nanoparticle-Doped Polyvinyl Alcohol Film. Int. J. Nanosci. 2016, 15, 1650012. [Google Scholar] [CrossRef]
- Elabbasy, M.; El-Kader, M.A.; Ismail, A.; Menazea, A. Regulating the function of bismuth (III) oxide nanoparticles scattered in Chitosan/Poly (Vinyl Pyrrolidone) by laser ablation on electrical conductivity characterization and antimicrobial activity. J. Mater. Res. Technol. 2021, 10, 1348–1354. [Google Scholar] [CrossRef]
- Menazea, A. One-Pot Pulsed Laser Ablation route assisted copper oxide nanoparticles doped in PEO/PVP blend for the electrical conductivity enhancement. J. Mater. Res. Technol. 2020, 9, 2412–2422. [Google Scholar] [CrossRef]
- Bryaskova, R.; Pencheva, D.; Nikolov, S.; Kantardjiev, T. Synthesis and comparative study on the antimicrobial activity of hybrid materials based on silver nanoparticles (AgNps) stabilized by polyvinylpyrrolidone (PVP). J. Chem. Biol. 2011, 4, 185–191. [Google Scholar] [CrossRef] [PubMed]
- Haaf, F.; Sanner, A.; Straub, F. Polymers of N-Vinylpyrrolidone: Synthesis, Characterization and Uses. Polym. J. 1985, 17, 143–152. [Google Scholar] [CrossRef]
- Kurakula, M.; Rao, G.K. Moving polyvinyl pyrrolidone electrospun nanofibers and bioprinted scaffolds toward multidisciplinary biomedical applications. Eur. Polym. J. 2020, 136, 109919. [Google Scholar] [CrossRef]
- Jadhav, S.V.; Nikam, D.S.; Khot, V.M.; Thorat, N.D.; Phadatare, M.R.; Ningthoujam, R.S.; Salunkhe, A.B.; Pawar, S.H. Studies on colloidal stability of PVP-coated LSMO nanoparticles for magnetic fluid hyperthermia. New J. Chem. 2013, 37, 3121–3130. [Google Scholar] [CrossRef]
- Graf, C.; Dembski, S.; Hofmann, A.; Rühl, E. A General Method for the Controlled Embedding of Nanoparticles in Silica Colloids. Langmuir 2006, 22, 5604–5610. [Google Scholar] [CrossRef] [PubMed]
- Kurakula, M.; Rao, G.K. Pharmaceutical assessment of polyvinylpyrrolidone (PVP): As excipient from conventional to controlled delivery systems with a spotlight on COVID-19 inhibition. J. Drug Deliv. Sci. Technol. 2020, 60, 102046. [Google Scholar] [CrossRef]
- Liu, H.-L.; Ko, S.P.; Wu, J.-H.; Jung, M.-H.; Min, J.H.; Lee, J.H.; An, B.; Kim, Y.K. One-pot polyol synthesis of monosize PVP-coated sub-5nm Fe3O4 nanoparticles for biomedical applications. J. Magn. Magn. Mater. 2007, 310, e815–e817. [Google Scholar] [CrossRef]
- Abdelrazek, E.; Elashmawi, I.; El-Khodary, A.; Yassin, A. Structural, optical, thermal and electrical studies on PVA/PVP blends filled with lithium bromide. Curr. Appl. Phys. 2010, 10, 607–613. [Google Scholar] [CrossRef]
- Ali, F.M.; Kershi, R.M. Synthesis and Characterization of La3+ Ions Incorporated (PVA/PVP) Polymer Composite Films for Optoelectronics Devices. J. Mater.Sci. Mater. Electron. 2020, 31, 2557–2566. [Google Scholar] [CrossRef]
- Reddy, C.V.S.; Zhu, Q.-Y.; Mai, L.; Chen, W. Optical, electrical and discharge profiles for (PVC + NaIO4) polymer electrolytes. J. Appl. Electrochem. 2006, 36, 1051–1056. [Google Scholar] [CrossRef]
- Sreekanth, K.; Siddaiah, T.; Gopal, N.; Kumar, Y.M.; Ramu, C. Optical and electrical conductivity studies of VO2+ doped polyvinyl pyrrolidone (PVP) polymer electrolytes. J. Sci. Adv. Mater. Devices 2019, 4, 230–236. [Google Scholar] [CrossRef]
- Fan, L.; Wang, M.; Zhang, Z.; Qin, G.; Hu, X.; Chen, Q. Preparation and Characterization of PVA Alkaline Solid Polymer Electrolyte with Addition of Bamboo Charcoal. Materials 2018, 11, 679. [Google Scholar] [CrossRef]
- Reddy, C.S.; Sharma, A.; Rao, V.N. Electrical and optical properties of a polyblend electrolyte. Polymer 2006, 47, 1318–1323. [Google Scholar] [CrossRef]
- Junais, P.M.; Govindaraj, G. Conduction and dielectric relaxations in PVA/PVP hydrogel synthesized cerium oxide. Mater. Res. Express 2019, 6, 045914. [Google Scholar] [CrossRef]
- Qin, L.; Wang, K.; Wu, X.; Wu, W.; Liao, S.; Li, G. Nanocrystalline Nd2O3: Preparation, phase evolution, and kinetics of thermal decomposition of precursor. Ceram. Int. 2014, 40, 3003–3009. [Google Scholar] [CrossRef]
- Venkatesan, N.; Kamaraj, P.; Devikala, S.; Arthanareeswari, M. Synthesis and characterization of neodymium based polymer composites and their application in corrosive environment. RASĀYAN J. Chem. 2015, 8, 321. Available online: http://www.rasayanjournal (accessed on 23 February 2023).
- Yang, W.; Qi, Y.; Ma, Y.; Li, X.; Guo, X.; Gao, J.; Chen, M. Synthesis of Nd2O3 nanopowders by sol–gel auto-combustion and their catalytic esterification activity. Mater. Chem. Phys. 2004, 84, 52–57. [Google Scholar] [CrossRef]
- Yang, H.; Zhao, L.; Yang, X.; Shen, L.; Yu, L.; Sun, W.; Yan, Y.; Wang, W.; Feng, S. The synthesis and the magnetic properties of Nd2O3-doped Ni–Mn ferrites nanoparticles. J. Magn. Magn. Mater. 2003, 271, 230–236. [Google Scholar] [CrossRef]
- Bazzi, R.; Flores-Gonzalez, M.; Louis, C.; Lebbou, K.; Dujardin, C.; Brenier, A.; Zhang, W.; Tillement, O.; Bernstein, E.; Perriat, P. Synthesis and luminescent properties of sub-5-nm lanthanide oxides nanoparticles. J. Lumin. 2003, 102–103, 445–450. [Google Scholar] [CrossRef]
- Sreethawong, T.; Chavadej, S.; Ngamsinlapasathian, S.; Yoshikawa, S. Sol–gel synthesis of mesoporous assembly of Nd2O3 nanocrystals with the aid of structure-directing surfactant. Solid State Sci. 2008, 10, 20–25. [Google Scholar] [CrossRef]
- Du, J.; Gu, X.; Wu, Q.; Liu, J.; Guo, H.-Z.; Zou, J.-G. Hydrophilic and photocatalytic activities of Nd-doped titanium dioxide thin films. Trans. Nonferrous Met. Soc. China 2015, 25, 2601–2607. [Google Scholar] [CrossRef]
- Zawadzki, M.; Kępiński, L. Synthesis and characterization of neodymium oxide nanoparticles. J. Alloys Compd. 2004, 380, 255–259. [Google Scholar] [CrossRef]
- Soliman, C. Neodymium oxide: A new thermoluminescent material for gamma dosimetry. Nucl. Instrum. Methods Phys. Res. Sect. B Beam Interact. Mater. Atoms. 2006, 251, 441–444. [Google Scholar] [CrossRef]
- Biswas, D.; Ghosh, T.; Prasad, R.; Parashar, K.; Parashar, S.K.S. Study of Electromagnetic behavior of Nd2O3/PVA thin film for microwave applications. In Proceedings of the 2018 International Conference on Applied Electromagnetics, Signal Processing and Communication, AESPC 2018, Bhubaneswar, India, 22–24 October 2018; Volume 1, pp. 1–3. [Google Scholar] [CrossRef]
- Campbell, J.; Suratwala, T.; Thorsness, C.; Hayden, J.; Thorne, A.; Cimino, J.; Iii, A.M.; Takeuchi, K.; Smolley, M.; Ficini-Dorn, G. Continuous melting of phosphate laser glasses. J. Non-Crystalline Solids 2000, 263–264, 342–357. [Google Scholar] [CrossRef]
- Rajesh, K.; Crasta, V.; Kumar, N.B.R.; Shetty, G.; Rekha, P.D. Structural, optical, mechanical and dielectric properties of titanium dioxide doped PVA/PVP nanocomposite. J. Polym. Res. 2019, 26, 99. [Google Scholar] [CrossRef]
- Rag, S.A.; Dhamodharan, D.; Selvakumar, M.; Bhat, S.; De, S.; Byun, H.S. Impedance Spectroscopic Study of Biodegradable PVA/PVP Doped TBAI Ionic Liquid Polymer Electrolyte. J. Ind. Eng. Chem. 2022, 111, 43–50. [Google Scholar] [CrossRef]
- Sadiq, M.; Raza, M.M.H.; Murtaza, T.; Zulfequar, M.; Ali, J. Sodium Ion-Conducting Polyvinylpyrrolidone (PVP)/Polyvinyl Alcohol (PVA) Blend Electrolyte Films. J. Electron. Mater. 2020, 50, 403–418. [Google Scholar] [CrossRef]
- Elashmawi, I.; Alatawi, N.S.; Elsayed, N.H. Preparation and characterization of polymer nanocomposites based on PVDF/PVC doped with graphene nanoparticles. Results Phys. 2017, 7, 636–640. [Google Scholar] [CrossRef]
- Ali, F.; Kershi, R.; Sayed, M.; AbouDeif, Y. Evaluation of structural and optical properties of Ce3+ ions doped (PVA/PVP) composite films for new organic semiconductors. Phys. B Condens. Matter 2018, 538, 160–166. [Google Scholar] [CrossRef]
- Parameswaran, V.; Nallamuthu, N.; Devendran, P.; Manikandan, A.; Nagarajan, E.R. Assimilation of NH4Br in Polyvinyl Alcohol/Poly(N-vinyl pyrrolidone) Polymer Blend-Based Electrolyte and Its Effect on Ionic Conductivity. J. Nanosci. Nanotechnol. 2018, 18, 3944–3953. [Google Scholar] [CrossRef]
- Hashim, A. Enhanced Structural, Optical, and Electronic Properties of In2O3 and Cr2O3 Nanoparticles Doped Polymer Blend for Flexible Electronics and Potential Applications. J. Inorg. Organomet. Polym. Mater. 2020, 30, 3894–3906. [Google Scholar] [CrossRef]
- Ali, F. Structural and optical characterization of [(PVA:PVP)-Cu2+] composite films for promising semiconducting polymer devices. J. Mol. Struct. 2019, 1189, 352–359. [Google Scholar] [CrossRef]
- Hassena, A.; El-Sayeda, S.; Morsic, W.; El Sayedb, A. Preparation, dielectric and optical properties of Cr2O3 /pvc nanocomposite films. J. Adv. Phys. 2014, 4, 571–584. [Google Scholar] [CrossRef]
- Badry, R.; Ibrahim, A.; Gamal, F.; Elhaes, H.; Yahia, I.S.; Zahran, H.Y.; Zahran, M.; Abdel-wahab, M.S.; Zyoud, S.H.; Ibrahim, M.A. Design and Implementation of Low-Cost Gas Sensor Based on Functionalized Graphene Quantum Dot/Polyvinyl Alcohol Polymeric Nanocomposites. Opt. Quantum Electron. 2023, 55, 1–13. [Google Scholar] [CrossRef]
- Ali, H.E.; Khairy, Y.; Algarni, H.; Elsaeedy, H.I.; Alshehri, A.M.; Yahia, I.S. Optical spectroscopy and electrical analysis of La3+-doped PVA composite films for varistor and optoelectronic applications. J. Mater. Sci. Mater. Electron. 2018, 29, 20424–20432. [Google Scholar] [CrossRef]
- Muhammad, F.F.; Aziz, S.; Hussein, S.A. Effect of the dopant salt on the optical parameters of PVA:NaNO3 solid polymer electrolyte. J. Mater. Sci. Mater. Electron. 2014, 26, 521–529. [Google Scholar] [CrossRef]
- Mohammed, M.I.; Bouzidi, A.; Zahran, H.Y.; Jalalah, M.; Harraz, F.A.; Yahia, I.S. Ammonium iodide salt-doped polyvinyl alcohol polymeric electrolyte for UV-shielding filters: Synthesis, optical and dielectric characteristics. J. Mater. Sci. Mater. Electron. 2021, 32, 4416–4436. [Google Scholar] [CrossRef]
- Yahia, I.S.; Alfaify, S.; Jilani, A.; Abdel-Wahab, M.S.; Al-Ghamdi, A.A.; Abutalib, M.M.; Al-Bassam, A.; El-Naggar, A.M. Non-linear optics of nano-scale pentacene thin film. Appl. Phys. B Laser Opt. 2016, 122, 191. [Google Scholar] [CrossRef]
- Mohammed, M.I.; Yahia, I.S. Synthesis and optical properties of basic fuchsin dye-doped PMMA polymeric films for laser applications: Wide scale absorption band. Opt. Quantum Electron. 2018, 50, 159. [Google Scholar] [CrossRef]
- Tauc, J. (Ed.) Amorphous and Liquid Semiconductors; Springer: Berlin, Germany, 1974. [Google Scholar] [CrossRef]
- Souri, D.; Shomalian, K. Band gap determination by absorption spectrum fitting method (ASF) and structural properties of different compositions of (60−x) V2O5–40TeO2–xSb2O3 glasses. J. Non-Crystalline Solids 2009, 355, 1597–1601. [Google Scholar] [CrossRef]
- Awad, S.; El-Gamal, S.; El Sayed, A.M.; Abdel-Hady, E.E. Characterization, optical, and nanoscale free volume properties of Na-CMC/PAM/CNT nanocomposites. Polym. Adv. Technol. 2019, 31, 114–125. [Google Scholar] [CrossRef]
- Ali, H.E.; Abd-Rabboh, H.S.; Awwad, N.S.; Algarni, H.; Sayed, M.; El-Rehim, A.A.; Abdel-Aziz, M.; Khairy, Y. Photoluminescence, optical limiting, and linear/nonlinear optical parameters of PVP/PVAL blend embedded with silver nitrate. Optik 2021, 247, 167863. [Google Scholar] [CrossRef]
- Deb, S.K.; Zunger, A.; Solar Energy Research Institute. Ternary and Multinary Compounds. In Proceedings of the 7th International Conference, Snowmass, CO, USA, 10–12 September 1986; Materials Research Society: Pittsburgh, PA, USA, 1987; p. 572. [Google Scholar]
- Moss, T.S. Relations between the Refractive Index and Energy Gap of Semiconductors. Phys. Status Solidi (B) 1985, 131, 415–427. [Google Scholar] [CrossRef]
- Ravindra, N.; Srivastava, V. Variation of refractive index with energy gap in semiconductors. Infrared Phys. 1979, 19, 603–604. [Google Scholar] [CrossRef]
- Hervé, P.; Vandamme, L. General relation between refractive index and energy gap in semiconductors. Infrared Phys. Technol. 1994, 35, 609–615. [Google Scholar] [CrossRef]
- Gupta, V.P.; Ravindra, N.M. Comments on the Moss Formula. Phys. Status Solidi (B) 1980, 100, 715–719. [Google Scholar] [CrossRef]
- Anani, M.; Mathieu, C.; Lebid, S.; Amar, Y.; Chama, Z.; Abid, H. Model for calculating the refractive index of a III–V semiconductor. Comput. Mater. Sci. 2007, 41, 570–575. [Google Scholar] [CrossRef]
- NOPR: Model for Calculating the Refractive Index of Different Materials. Available online: http://nopr.niscair.res.in/handle/123456789/9962 (accessed on 23 February 2023).
- Gomaa, H.M.; Yahia, I.S.; Zahran, H.Y. Correlation between the Static Refractive Index and the Optical Bandgap: Review and New Empirical Approach. Phys. B Condens. Matter 2021, 620, 413246. [Google Scholar] [CrossRef]
- Ali, F.M. Synthesis and Characterization of a Novel Erbium Doped Poly(vinyl alcohol) Films for Multifunctional Optical Materials. J. Inorg. Organomet. Polym. Mater. 2019, 30, 2418–2429. [Google Scholar] [CrossRef]
- Zyoud, S.H.; Jilani, W.; Bouzidi, A.; AlAbdulaal, T.H.; Harraz, F.A.; Al-Assiri, M.S.; Yahia, I.S.; Zahran, H.Y.; Ibrahim, M.A.; Abdel-wahab, M.S. The Impact of Ammonium Fluoride on Structural, Absorbance Edge, and the Dielectric Properties of Polyvinyl Alcohol Films: Towards a Novel Analysis of the Optical Refractive Index, and CUT-OFF Laser Filters. Crystals 2023, 13, 376. [Google Scholar] [CrossRef]
- Shinde, V.; Lokhande, C.; Mane, R.; Han, S.-H. Hydrophobic and textured ZnO films deposited by chemical bath deposition: Annealing effect. Appl. Surf. Sci. 2004, 245, 407–413. [Google Scholar] [CrossRef]
- Frumar, M.; Jedelský, J.; Frumarová, B.; Wágner, T.; Hrdlička, M. Optically and thermally induced changes of structure, linear and non-linear optical properties of chalcogenides thin films. J. Non-Crystalline Solids 2003, 326–327, 399–404. [Google Scholar] [CrossRef]
- Moll, J.F.; Akcora, P.; Rungta, A.; Gong, S.; Colby, R.H.; Benicewicz, B.C.; Kumar, S.K. Mechanical Reinforcement in Polymer Melts Filled with Polymer Grafted Nanoparticles. Macromolecules 2011, 44, 7473–7477. [Google Scholar] [CrossRef]
- Ticha, H.; Tichý, L.T.-J. Relation between nonlinear susceptibility (refractive index), linear refractive index and optical gap and its application to amorphous chalcogenides. J. Optoelectron. Adv. Mater. 2002, 4, 381–386. Available online: http://citeseerx.ist.psu.edu/viewdoc/download?doi=10.1.1.457.9038&rep=rep1&type=pdf (accessed on 17 March 2022).
- Wang, C.C. Empirical Relation between the Linear and the Third-Order Nonlinear Optical Susceptibilities. Phys. Rev. B 1970, 2, 2045–2048. [Google Scholar] [CrossRef]
- Hanna, D. Handbook of Laser Science and Technology. J. Mod. Opt. 1988, 35, 12–13. [Google Scholar] [CrossRef]
- Ali, H.E.; Algarni, H.; Yahia, I.; Khairy, Y. Optical absorption and linear/nonlinear parameters of polyvinyl alcohol films doped by fullerene. Chin. J. Phys. 2021, 72, 270–285. [Google Scholar] [CrossRef]
- Ali, H.E.; Abdel-Aziz, M.; Nawar, A.M.; Algarni, H.; Zahran, H.; Yahia, I.; Khairy, Y. Structural, electrical, and nonlinear optical performance of PVAL embedded with Li+-ions for multifunctional devices. Polym. Adv. Technol. 2020, 32, 1011–1025. [Google Scholar] [CrossRef]
- Yahia, I.S.; Mohammed, M.I. Facile synthesis of graphene oxide/PVA nanocomposites for laser optical limiting: Band gap analysis and dielectric constants. J. Mater. Sci. Mater. Electron. 2018, 29, 8555–8563. [Google Scholar] [CrossRef]
- Khairy, Y.; Abdel-Aziz, M.M.; Algarni, H.; Alshehri, A.M.; Yahia, I.S.; Ali, H.E. The optical characteristic of PVA composite films doped by ZrO2 for optoelectronic and block UV-Visible applications. Mater. Res. Express 2019, 6, 115346. [Google Scholar] [CrossRef]
- Tataroğlu, A.; Altındal, Ş.; Bülbül, M. Temperature and frequency dependent electrical and dielectric properties of Al/SiO2/p-Si (MOS) structure. Microelectron. Eng. 2005, 81, 140–149. [Google Scholar] [CrossRef]
- Eliasson, H.; Albinsson, I.; Mellander, B.-E. Conductivity and dielectric properties of AgCF3SO3-PPG. Mater. Res. Bull. 2000, 35, 1053–1065. [Google Scholar] [CrossRef]
- Ahamad, M.N.; Varma, K. Dielectric properties of (100−x)Li2B4O7–x(Ba5Li2Ti2Nb8O30) glasses and glass nanocrystal composites. Mater. Sci. Eng. B 2010, 167, 193–201. [Google Scholar] [CrossRef]
- Anand, K.; Kaur, R.; Arora, A.; Tripathi, S.K. Tuning of Linear and Non-Linear Optical Properties of MoS2/PVA Nanocomposites via Ultrasonication. Opt. Mater. 2023, 137, 113523. [Google Scholar] [CrossRef]
- Choudhary, S. Characterization of amorphous silica nanofiller effect on the structural, morphological, optical, thermal, dielectric and electrical properties of PVA–PVP blend based polymer nanocomposites for their flexible nanodielectric applications. J. Mater. Sci. Mater. Electron. 2018, 29, 10517–10534. [Google Scholar] [CrossRef]
- Abdelghany, A.; Oraby, A.; Farea, M. Influence of green synthesized gold nanoparticles on the structural, optical, electrical and dielectric properties of (PVP/SA) blend. Phys. B Condens. Matter 2019, 560, 162–173. [Google Scholar] [CrossRef]
- Aziz, S.B.; Abdullah, R.M.; Kadir, M.F.Z.; Ahmed, H.M. Non suitability of silver ion conducting polymer electrolytes based on chitosan mediated by barium titanate (BaTiO3) for electrochemical device applications. Electrochim. Acta 2019, 296, 494–507. [Google Scholar] [CrossRef]
- Kobayashi, M.; Mizuno, M.; Aizawa, T.; Hayashi, M.; Mitani, K. Development of Zinc-Oxide Non-Linear Resistors and Their Applications to Gapless Surge Arresters. IEEE Trans. Power Appar. Syst. 1978, PAS-97, 1149–1158. Available online: https://ieeexplore.ieee.org/abstract/document/4181542/ (accessed on 24 March 2022). [CrossRef]
- Mohammed, M.I. Dielectric dispersion and relaxations in (PMMA/PVDF)/ZnO nanocomposites. Polym. Bull. 2021, 79, 2443–2459. [Google Scholar] [CrossRef]
- Al-Saygh, A.; Ponnamma, D.; Almaadeed, M.A.; Vijayan, P.P.; Karim, A.; Hassan, M.K. Flexible Pressure Sensor Based on PVDF Nanocomposites Containing Reduced Graphene Oxide-Titania Hybrid Nanolayers. Polymers 2017, 9, 33. [Google Scholar] [CrossRef] [PubMed]
- AlAbdulaal, T.; AlShadidi, M.; Hussien, M.S.; Vanga, G.; Bouzidi, A.; Rafique, S.; Algarni, H.; Zahran, H.; Abdel-Wahab, M.; Yahia, I. Enhancing the electrical, optical, and structure morphology using Pr2O3-ZnO nanocomposites: Towards electronic varistors and environmental photocatalytic activity. J. Photochem. Photobiol. A Chem. 2021, 418, 113399. [Google Scholar] [CrossRef]
- Mohammed, M.I.; Khafagy, R.M.; Hussien, M.S.A.; Sakr, G.B.; Ibrahim, M.A.; Yahia, I.S.; Zahran, H.Y. Enhancing the structural, optical, electrical, properties and photocatalytic applications of ZnO/PMMA nanocomposite membranes: Towards multifunctional membranes. J. Mater. Sci. Mater. Electron. 2021, 33, 1977–2002. [Google Scholar] [CrossRef]
- Ali, H.E.; Abdel-Aziz, M.M.; Algarni, H.; Yahia, I.S.; Khairy, Y. Multifunctional Applications of a Novel Ru-Metal Mixed PVAL Flexible Composite for Limiting Absorption and Varistor: Synthesis, Optical, and Electrical Characterization. J. Inorg. Organomet. Polym. Mater. 2020, 31, 1503–1516. [Google Scholar] [CrossRef]



















| Samples | Eg (ind), (eV) (the Indirect Bandgap) | Eg (d), (eV) (the Direct Bandgap) | Eu, (eV) (Urbach’s Tail) |
|---|---|---|---|
| PB-Nd+3-0 | 5.6 | 6.09 | 5.42 |
| PB-Nd+3-1 | 5.49 | 6.07 | 4.66 |
| PB-Nd+3-2 | 5.52 | 6.05 | 6.474 |
| PB-Nd+3-3 | 5.36 | 6.005 | 8.69 |
| PB-Nd+3-4 | 5.36 | 5.95 | 7.88 |
| PB-Nd+3-5 | 4.82 | 5.83 | 12.33 |
| Samples | (a) Refractive Index (n) Values Using Direct Band Transition | |||||||
|---|---|---|---|---|---|---|---|---|
| Moss Relation | Ravindra et al. Relation | Herve and Vandamme Relation | Reddy et al. Relation | Anani et al. Relation | Singh-Kumar Relation | Hosam—Ibrahim—Heba Relation | Mean Values | |
| PB-Nd+3-0 | 1.987 | 2.052 | 1.747 | 1.785 | 2.182 | 1.880 | 1.714 | 1.907 |
| PB-Nd+3-1 | 1.988 | 2.053 | 1.749 | 1.788 | 2.186 | 1.882 | 1.717 | 1.909 |
| PB-Nd+3-2 | 1.990 | 2.055 | 1.752 | 1.791 | 2.19 | 1.884 | 1.719 | 1.912 |
| PB-Nd+3-3 | 1.994 | 2.059 | 1.758 | 1.799 | 2.199 | 1.889 | 1.724 | 1.917 |
| PB-Nd+3-4 | 1.998 | 2.0640 | 1.765 | 1.808 | 2.21 | 1.894 | 1.731 | 1.924 |
| PB-Nd+3-5 | 2.009 | 2.074 | 1.780 | 1.828 | 2.234 | 1.907 | 1.745 | 1.939 |
| Samples | (b) Refractive Index (n) Values Using Indirect Band Transition | |||||||
| Moss Relation | Ravindra et al. Relation | Herve and Vandamme Relation | Reddy et al. Relation | Anani et al. Relation | Singh-Kumar Relation | Hosam—Ibrahim—Heba Relation | Mean Values | |
| PB-Nd+3-0 | 2.029 | 2.095 | 1.812 | 1.869 | 2.28 | 1.932 | 1.773 | 1.970 |
| PB-Nd+3-1 | 2.039 | 2.106 | 1.827 | 1.888 | 2.302 | 1.944 | 1.787 | 1.985 |
| PB-Nd+3-2 | 2.036 | 2.103 | 1.823 | 1.883 | 2.296 | 1.941 | 1.783 | 1.981 |
| PB-Nd+3-3 | 2.051 | 2.118 | 1.846 | 1.912 | 2.328 | 1.959 | 1.804 | 2.003 |
| PB-Nd+3-4 | 2.051 | 2.118 | 1.846 | 1.912 | 2.328 | 1.959 | 1.804 | 2.003 |
| PB-Nd+3-5 | 2.107 | 2.175 | 1.933 | 2.019 | 2.436 | 2.027 | 1.880 | 2.082 |
| (a) | |||||
|---|---|---|---|---|---|
| Samples | High-Frequency Dielectric Constants, (ɛ∞) | Static Dielectric Constant, (ɛo) | , | , 10−13 (esu) | , 10−11 (esu) |
| PB-Nd+3-0 | 3.636 | 630.497 | 0.209 | 3.30 | 0.65 |
| PB-Nd+3-1 | 3.646 | 621.577 | 0.210 | 3.35 | 0.66 |
| PB-Nd+3-2 | 3.655 | 612.743 | 0.211 | 3.399 | 0.669 |
| PB-Nd+3-3 | 3.677 | 593.172 | 0.213 | 3.51 | 0.689 |
| PB-Nd+3-4 | 3.704 | 569.825 | 0.215 | 3.653 | 0.715 |
| PB-Nd+3-5 | 3.76 | 521.035 | 0.220 | 3.984 | 0.773 |
| (b) | |||||
| Samples | High-Frequency Dielectric Constants, (ɛ∞) | Static Dielectric Constant, (ɛo) | , | , 10−13 (esu) | , 10−11 (esu) |
| PB-Nd+3-0 | 3.882 | 435.488 | 0.229 | 4.712 | 0.9 |
| PB-Nd+3-1 | 3.940 | 398.133 | 0.234 | 5.110 | 0.97 |
| PB-Nd+3-2 | 3.924 | 408.099 | 0.2328 | 4.998 | 0.95 |
| PB-Nd+3-3 | 4.012 | 356.832 | 0.239 | 5.627 | 1.058 |
| PB-Nd+3-4 | 4.012 | 356.832 | 0.239 | 5.627 | 1.058 |
| PB-Nd+3-5 | 4.337 | 215.932 | 0.265 | 8.478 | 1.533 |
| Samples | σDC, (S/m) | s |
|---|---|---|
| PB-Nd+3-0 | 6.750 × 10−11 | 1.00633 |
| PB-Nd+3-1 | 1.184 × 10−10 | 1.00219 |
| PB-Nd+3-2 | 1.060 × 10−10 | 1.00299 |
| PB-Nd+3-3 | 1.520 × 10−10 | 1.00204 |
| PB-Nd+3-4 | 2.088 × 10−10 | 0.99926 |
| PB-Nd+3-5 | 4.220 × 10−10 | 0.99656 |
Disclaimer/Publisher’s Note: The statements, opinions and data contained in all publications are solely those of the individual author(s) and contributor(s) and not of MDPI and/or the editor(s). MDPI and/or the editor(s) disclaim responsibility for any injury to people or property resulting from any ideas, methods, instructions or products referred to in the content. |
© 2023 by the authors. Licensee MDPI, Basel, Switzerland. This article is an open access article distributed under the terms and conditions of the Creative Commons Attribution (CC BY) license (https://creativecommons.org/licenses/by/4.0/).
Share and Cite
Zyoud, S.H.; Almoadi, A.; AlAbdulaal, T.H.; Alqahtani, M.S.; Harraz, F.A.; Al-Assiri, M.S.; Yahia, I.S.; Zahran, H.Y.; Mohammed, M.I.; Abdel-wahab, M.S. Structural, Optical, and Electrical Investigations of Nd2O3-Doped PVA/PVP Polymeric Composites for Electronic and Optoelectronic Applications. Polymers 2023, 15, 1351. https://doi.org/10.3390/polym15061351
Zyoud SH, Almoadi A, AlAbdulaal TH, Alqahtani MS, Harraz FA, Al-Assiri MS, Yahia IS, Zahran HY, Mohammed MI, Abdel-wahab MS. Structural, Optical, and Electrical Investigations of Nd2O3-Doped PVA/PVP Polymeric Composites for Electronic and Optoelectronic Applications. Polymers. 2023; 15(6):1351. https://doi.org/10.3390/polym15061351
Chicago/Turabian StyleZyoud, Samer H., Ali Almoadi, Thekrayat H. AlAbdulaal, Mohammed S. Alqahtani, Farid A. Harraz, Mohammad S. Al-Assiri, Ibrahim S. Yahia, Heba Y. Zahran, Mervat I. Mohammed, and Mohamed Sh. Abdel-wahab. 2023. "Structural, Optical, and Electrical Investigations of Nd2O3-Doped PVA/PVP Polymeric Composites for Electronic and Optoelectronic Applications" Polymers 15, no. 6: 1351. https://doi.org/10.3390/polym15061351
APA StyleZyoud, S. H., Almoadi, A., AlAbdulaal, T. H., Alqahtani, M. S., Harraz, F. A., Al-Assiri, M. S., Yahia, I. S., Zahran, H. Y., Mohammed, M. I., & Abdel-wahab, M. S. (2023). Structural, Optical, and Electrical Investigations of Nd2O3-Doped PVA/PVP Polymeric Composites for Electronic and Optoelectronic Applications. Polymers, 15(6), 1351. https://doi.org/10.3390/polym15061351

