Multiphysics Modeling Framework for Soft PVC Gel Sensors with Experimental Comparisons
Abstract
:1. Introduction
2. Materials and Methods
3. Results
3.1. Solid Mechanics Study
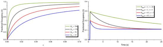
3.2. Transport and Migratory Effects
3.3. Model Results with Experimental Validation
4. Discussion
Author Contributions
Funding
Institutional Review Board Statement
Data Availability Statement
Acknowledgments
Conflicts of Interest
References
- Dong, T.-Y.; Zhang, X.-L.; Liu, T. Artificial muscles for wearable assistance and rehabilitation. Front. Inf. Technol. Electron. Eng. 2018, 19, 1303–1315. [Google Scholar] [CrossRef]
- Maeda, Y.; Hashimoto, M. Lightweight, Soft Variable Stiffness Gel Spats for Walking Assistance. Int. J. Adv. Robot. Syst. 2015, 12, 175. [Google Scholar] [CrossRef]
- Washington, J.; Kim Neubauer, K.J. Chapter 3—Soft Actuators and Their Potential Applications in Rehabilitative Devices. In Soft Robotics in Rehabilitation; Jafari, A., Ebrahimi, N., Eds.; Academic Press: Cambridge, MA, USA, 2021; pp. 89–110. ISBN 9780128185384. [Google Scholar] [CrossRef]
- Xia, H.; Hirai, T. Electric-Field-Induced Local Layer Structure in Plasticized PVC Actuator. J. Phys. Chem. B 2010, 114, 10756–10762. [Google Scholar] [CrossRef] [PubMed]
- Asaka, K.; Hashimoto, M. Electrical properties and electromechanical modeling of plasticized PVC gel actuators. Sens. Actuators B Chem. 2018, 273, 1246–1256. [Google Scholar] [CrossRef]
- Hwang, T.; Frank, Z.; Neubauer, J.; Kim, K.J. High-performance polyvinyl chloride gel artificial muscle actuator with graphene oxide and plasticizer. Sci. Rep. 2019, 9, 9658. [Google Scholar] [CrossRef] [PubMed]
- Frank, Z.; Olsen, Z.; Hwang, T.; Kim, K.J. Modelling and experimental study for PVC gel actuators. In Proceedings of the ASME 2019 Dynamic Systems and Control Conference, DSCC 2019, Park City, UT, USA, 8–11 October 2019; Volume 3. [Google Scholar] [CrossRef]
- Neubauer, J.; Olsen, Z.J.; Frank, Z.; Hwang, T.; Kim, K.J. A study of mechanoelectrical transduction behavior in polyvinyl chloride (PVC) gel as smart sensors. Smart Mater. Struct. 2022, 31, 015010. [Google Scholar] [CrossRef]
- Neubauer, J.; Kim, K.J. Tunable polyvinyl chloride (PVC) and thermoplastic polyurethane (TPU)-based soft polymer gel sensors. Smart Mater. Struct. 2022, 31, 115025. [Google Scholar] [CrossRef]
- Sharif, M.A. PVC, gel smart sensor for robotics sensing applications: An experimental and finite element simulation study. Eng. Res. Express 2022, 4, 035029. [Google Scholar] [CrossRef]
- Ju, M.; Mezghani, S.; Jmal, H.; Dupuis, R.; Aubry, E. Parameter Estimation of a Hyperelastic Constitutive Model for the Description of Polyurethane Foam in Large Deformation. Cell. Polym. 2013, 32, 21–40. [Google Scholar] [CrossRef]
- Schrodt, M.; Benderoth, G.; Kühhorn, A.; Silber, G. Hyperelastic description of polymer soft foams at finite deformations. Tech. Mech.-Eur. J. Eng. Mech. 2005, 25, 162–173. [Google Scholar]
- Liu, C.-H.; Chen, Y.; Yang, S.-Y. Quantification of hyperelastic material parameters for a 3D-Printed thermoplastic elastomer with different infill percentages. Mater. Today Commun. 2020, 26, 101895. [Google Scholar] [CrossRef]
- Bien-Aimé, L.K.M.; Blaise, B.B.; Beda, T. Characterization of hyperelastic deformation behavior of rubber-like materials. SN Appl. Sci. 2020, 2, 648. [Google Scholar] [CrossRef]
- Hill, R. Aspects of Invariance in Solid Mechanics. Adv. Appl. Mech. 1979, 18, 1–75. [Google Scholar] [CrossRef]
- Lin, C.-Y. Alternative Form of Standard Linear Solid Model for Characterizing Stress Relaxation and Creep: Including a Novel Parameter for Quantifying the Ratio of Fluids to Solids of a Viscoelastic Solid. Front. Mater. 2020, 7, 11. [Google Scholar] [CrossRef]












| Variable | Units | Description |
|---|---|---|
| Strain on polymer gel sample | ||
| Density | ||
| Fractional occupancy of adsorptive sites | ||
| Voltage response | ||
| Concentration of bulk species | ||
| Equilibrium constant of surface layer | ||
| Proportionality constant | ||
| Time constant | ||
| Saturated surface concentration | ||
| Adsorption rate constant | ||
| Desorption rate constant | ||
| Rate of adsorption | ||
| Rate of desorption | ||
| Principal stretches | ||
| Shear modulus | ||
| Storakers model parameter | ||
| Storakers model parameter | ||
| Volumetric parameter | ||
| Stress | ||
| Bulk modulus | ||
| Strain energy density function | ||
| Modeled adsorption rate | ||
| Modeled desorption rate | ||
| Modeled dynamic interfacial effect | ||
| Dynamic interfacial rate constant | ||
| Compressive modulus | ||
| Time | ||
| Diffusivity of species j | ||
| Concentration of species j | ||
| Charge number of species j | ||
| Mobility of species j in medium m | ||
| Faraday constant | ||
| Electric potential |
| Name | P4 | P6 | P8 |
|---|---|---|---|
| PVC: plasticizer ratio | 1:4 | 1:6 | 1:8 |
| Model Fit | P4 Error | P6 Error | P8 Error |
|---|---|---|---|
| One-term | 3.04% (0.497 kPa) | 6.96% (4.094 kPa) | 7.58% (4.198 kPa) |
| Two-term | 3.07% (0.505 kPa) | 1.83% (0.646 kPa) | 3.02% (0.493 kPa) |
| Three-term | 3.02% (0.499 kPa) | 1.71% (0.430 kPa) | 3.02% (0.513 kPa) |
Disclaimer/Publisher’s Note: The statements, opinions and data contained in all publications are solely those of the individual author(s) and contributor(s) and not of MDPI and/or the editor(s). MDPI and/or the editor(s) disclaim responsibility for any injury to people or property resulting from any ideas, methods, instructions or products referred to in the content. |
© 2023 by the authors. Licensee MDPI, Basel, Switzerland. This article is an open access article distributed under the terms and conditions of the Creative Commons Attribution (CC BY) license (https://creativecommons.org/licenses/by/4.0/).
Share and Cite
Neubauer, J.; Kim, K.J. Multiphysics Modeling Framework for Soft PVC Gel Sensors with Experimental Comparisons. Polymers 2023, 15, 864. https://doi.org/10.3390/polym15040864
Neubauer J, Kim KJ. Multiphysics Modeling Framework for Soft PVC Gel Sensors with Experimental Comparisons. Polymers. 2023; 15(4):864. https://doi.org/10.3390/polym15040864
Chicago/Turabian StyleNeubauer, Justin, and Kwang J. Kim. 2023. "Multiphysics Modeling Framework for Soft PVC Gel Sensors with Experimental Comparisons" Polymers 15, no. 4: 864. https://doi.org/10.3390/polym15040864
APA StyleNeubauer, J., & Kim, K. J. (2023). Multiphysics Modeling Framework for Soft PVC Gel Sensors with Experimental Comparisons. Polymers, 15(4), 864. https://doi.org/10.3390/polym15040864

