Sustainable Bio-Based UV-Cured Epoxy Vitrimer from Castor Oil
Abstract
1. Introduction
2. Materials and Methods
2.1. Materials
2.2. Formulation and Photo-Curing Process
2.3. Characterization Methods
2.3.1. Attenuated Total Reflectance Fourier Transform Infrared Spectroscopy (ATR-FTIR)
2.3.2. Photo Dynamic Scanning Calorimetry (Photo-DSC)
2.3.3. Dynamic Mechanical Thermal Analysis (DMTA)
2.3.4. Tensile Measurements
2.3.5. Thermogravimetric Analysis (TGA)
2.3.6. Dynamic Reversible Network Analysis
3. Results
3.1. Photo-Curing Process
3.2. Viscoelastic, Mechanical, and Thermal Properties of Cured ECO-Vitrimers
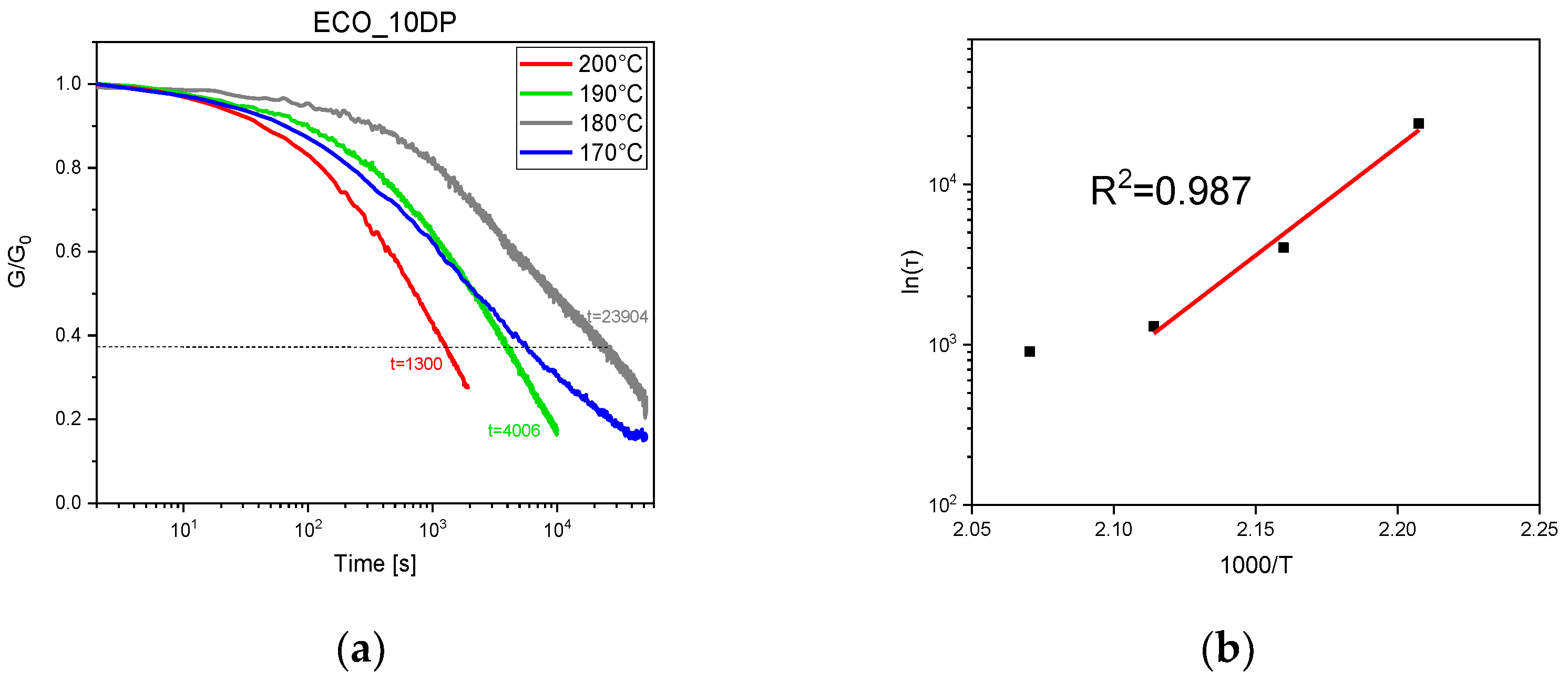
3.3. Dynamic Reversible Network Analysis
4. Conclusions
Author Contributions
Funding
Institutional Review Board Statement
Data Availability Statement
Conflicts of Interest
References
- Pascault, J.P.; Williams, R.J.J. Overview of Thermosets: Present and Future. In Thermosets: Structure, Properties, and Applications, 2nd ed.; Elsevier: Amsterdam, The Netherlands, 2018; pp. 3–34. [Google Scholar] [CrossRef]
- Vengatesan, M.R.; Varghese, A.M.; Mittal, V. Thermal Properties of Thermoset Polymers. In Thermosets: Structure, Properties, and Applications, 2nd ed.; Elsevier: Amsterdam, The Netherlands, 2018; pp. 69–114. [Google Scholar] [CrossRef]
- Mullins, M.J.; Liu, D.; Sue, H.J. Mechanical Properties of Thermosets. In Thermosets: Structure, Properties, and Applications, 2nd ed.; Elsevier: Amsterdam, The Netherlands, 2018; pp. 35–68. [Google Scholar] [CrossRef]
- Fidanovski, B.Z.; Spasojevic, P.M.; Panic, V.V.; Seslija, S.I.; Spasojevic, J.P.; Popovic, I.G. Synthesis and Characterization of Fully Bio-Based Unsaturated Polyester Resins. J. Mater. Sci 2018, 53, 4635–4644. [Google Scholar] [CrossRef]
- Bamane, P.B.; Wadgaonkar, K.K.; Chambhare, S.U.; Mehta, L.B.; Jagtap, R.N. Replacement of Traditional Unsaturated Acid by Bio-Based Itaconic Acid in the Preparation of Isophthalic Acid-Based Unsaturated Polyester Resin. Prog. Org. Coat. 2020, 147, 105743. [Google Scholar] [CrossRef]
- Post, W.; Susa, A.; Blaauw, R.; Molenveld, K.; Knoop, R.J.I. A Review on the Potential and Limitations of Recyclable Thermosets for Structural Applications. Polym. Rev. 2020, 60, 359–388. [Google Scholar] [CrossRef]
- Yang, Y.; Boom, R.; Irion, B.; van Heerden, D.J.; Kuiper, P.; de Wit, H. Recycling of Composite Materials. Chem. Eng. Process. Process Intensif. 2012, 51, 53–68. [Google Scholar] [CrossRef]
- Kloxin, C.J.; Scott, T.F.; Adzima, B.J.; Bowman, C.N. Covalent Adaptable Networks (CANs): A Unique Paradigm in Cross-Linked Polymers. Macromolecules 2010, 43, 2643–2653. [Google Scholar] [CrossRef] [PubMed]
- Montarnal, D.; Capelot, M.; Tournilhac, F.; Leibler, L. Silica-Like Malleable Materials from Permanent Organic Networks. Science 2011, 334, 965–968. [Google Scholar] [CrossRef] [PubMed]
- Denissen, W.; Winne, J.M.; du Prez, F.E. Vitrimers: Permanent Organic Networks with Glass-like Fluidity. Chem. Sci. 2016, 7, 30–38. [Google Scholar] [CrossRef]
- Subramaniyan, S.; Bergoglio, M.; Sangermano, M.; Hakkarainen, M. Vanillin-Derived Thermally Reprocessable and Chemically Recyclable Schiff-Base Epoxy Thermosets. Glob. Chall. 2023; in press. [Google Scholar] [CrossRef]
- Yu, K.; Taynton, P.; Zhang, W.; Dunn, M.L.; Qi, H.J. Reprocessing and Recycling of Thermosetting Polymers Based on Bond Exchange Reactions. RSC Adv. 2014, 4, 10108–10117. [Google Scholar] [CrossRef]
- Zych, A.; Tellers, J.; Bertolacci, L.; Ceseracciu, L.; Marini, L.; Mancini, G.; Athanassiou, A. Biobased, Biodegradable, Self-Healing Boronic Ester Vitrimers from Epoxidized Soybean Oil Acrylate. ACS Appl. Polym. Mater. 2021, 3, 1135–1144. [Google Scholar] [CrossRef]
- Liu, T.; Hao, C.; Zhang, S.; Yang, X.; Wang, L.; Han, J.; Li, Y.; Xin, J.; Zhang, J. A Self-Healable High Glass Transition Temperature Bioepoxy Material Based on Vitrimer Chemistry. Macromolecules 2018, 51, 5577–5585. [Google Scholar] [CrossRef]
- Qiu, J.; Ma, S.; Wang, S.; Tang, Z.; Li, Q.; Tian, A.; Xu, X.; Wang, B.; Lu, N.; Zhu, J. Upcycling of Polyethylene Terephthalate to Continuously Reprocessable Vitrimers through Reactive Extrusion. Macromolecules 2021, 54, 703–712. [Google Scholar] [CrossRef]
- Zhao, X.-L.; Liu, Y.-Y.; Weng, Y.; Li, Y.-D.; Zeng, J.-B. Sustainable Epoxy Vitrimers from Epoxidized Soybean Oil and Vanillin. ACS Sustain. Chem. Eng. 2020, 8, 15020–15029. [Google Scholar] [CrossRef]
- Tao, Y.; Fang, L.; Dai, M.; Wang, C.; Sun, J.; Fang, Q. Sustainable Alternative to Bisphenol A Epoxy Resin: High-Performance Recyclable Epoxy Vitrimers Derived from Protocatechuic Acid. Polym. Chem 2020, 11, 4500–4506. [Google Scholar] [CrossRef]
- Pezzana, L.; Malmström, E.; Johansson, M.; Sangermano, M. Uv-Curable Bio-Based Polymers Derived from Industrial Pulp and Paper Processes. Polymers 2021, 13, 1530. [Google Scholar] [CrossRef]
- Kalita, D.J.; Tarnavchyk, I.; Chisholm, B.J.; Webster, D.C. Novel Bio-Based Epoxy Resins from Eugenol as an Alternative to BPA Epoxy and High Throughput Screening of the Cured Coatings. Polymer 2021, 233, 124191. [Google Scholar] [CrossRef]
- Noè, C.; Hakkarainen, M.; Malburet, S.; Graillot, A.; Adekunle, K.; Skrifvars, M.; Sangermano, M. Frontal-Photopolymerization of Fully Biobased Epoxy Composites. Macromol. Mater. Eng. 2022, 307, 2100864. [Google Scholar] [CrossRef]
- Nason, C.; Pojman, J.A.; Hoyle, C. The Effect of a Trithiol and Inorganic Fillers on the Photo-Induced Thermal Frontal Polymerization of a Triacrylate. J. Polym. Sci. A Polym. Chem. 2008, 46, 8091–8096. [Google Scholar] [CrossRef]
- Noè, C.; Hakkarainen, M.; Sangermano, M. Cationic Uv-Curing of Epoxidized Biobased Resins. Polymers 2021, 13, 89. [Google Scholar] [CrossRef]
- Wang, Q.; Popov, S.; Feilen, A.; Strehmel, V.; Strehmel, B. Rational Selection of Cyanines to Generate Conjugate Acid and Free Radicals for Photopolymerization upon Exposure at 860 Nm. Angew. Chem. Int. Ed. 2021, 60, 26855–26865. [Google Scholar] [CrossRef]
- Pierau, L.; Elian, C.; Akimoto, J.; Ito, Y.; Caillol, S.; Versace, D.-L. Bio-Sourced Monomers and Cationic Photopolymerization–The Green Combination towards Eco-Friendly and Non-Toxic Materials. Prog. Polym. Sci. 2022, 127, 101517. [Google Scholar] [CrossRef]
- Sangermano, M. Recent Advances in Cationic Photopolymerization. J. Photopolym. Sci. Technol. 2019, 32, 233–236. [Google Scholar] [CrossRef]
- Klikovits, N.; Liska, R.; D’Anna, A.; Sangermano, M. Successful UV-Induced RICFP of Epoxy-Composites. Macromol. Chem. Phys. 2017, 218, 1700313. [Google Scholar] [CrossRef]
- Bomze, D.; Knaack, P.; Koch, T.; Jin, H.; Liska, R. Radical Induced Cationic Frontal Polymerization as a Versatile Tool for Epoxy Curing and Composite Production. J. Polym. Sci. A Polym. Chem. 2016, 54, 3751–3759. [Google Scholar] [CrossRef]
- Crivello, J. v Hybrid Free Radical/Cationic Frontal Photopolymerizations. J. Polym. Sci. A Polym. Chem. 2007, 45, 4331–4340. [Google Scholar] [CrossRef]
- Mariani, A.; Bidali, S.; Fiori, S.; Sangermano, M.; Malucelli, G.; Bongiovanni, R.; Priola, A. UV-Ignited Frontal Polymerization of an Epoxy Resin. J. Polym. Sci. A Polym. Chem. 2004, 42, 2066–2072. [Google Scholar] [CrossRef]
- Pezzana, L.; Melilli, G.; Delliere, P.; Moraru, D.; Guigo, N.; Sbirrazzuoli, N.; Sangermano, M. Thiol-Ene Biobased Networks: Furan Allyl Derivatives for Green Coating Applications. Prog. Org. Coat. 2022, 173, 107203. [Google Scholar] [CrossRef]
- Pezzana, L.; Sangermano, M. Fully Biobased UV-Cured Thiol-Ene Coatings. Prog. Org. Coat. 2021, 157, 106295. [Google Scholar] [CrossRef]
- Noè, C.; Malburet, S.; Bouvet-Marchand, A.; Graillot, A.; Loubat, C.; Sangermano, M. Cationic Photopolymerization of Bio-Renewable Epoxidized Monomers. Prog. Org. Coat. 2019, 133, 131–138. [Google Scholar] [CrossRef]
- Noè, C.; Malburet, S.; Milani, E.; Bouvet-Marchand, A.; Graillot, A.; Sangermano, M. Cationic UV-Curing of Epoxidized Cardanol Derivatives. Polym. Int. 2020, 69, 668–674. [Google Scholar] [CrossRef]
- Malburet, S.; di Mauro, C.; Noè, C.; Mija, A.; Sangermano, M.; Graillot, A. Sustainable Access to Fully Biobased Epoxidized Vegetable Oil Thermoset Materials Prepared by Thermal or UV-Cationic Processes. RSC Adv. 2020, 10, 41954–41966. [Google Scholar] [CrossRef] [PubMed]
- Pezzana, L.; Melilli, G.; Guigo, N.; Sbirrazzuoli, N.; Sangermano, M. Cationic UV Curing of Bioderived Epoxy Furan-Based Coatings: Tailoring the Final Properties by in Situ Formation of Hybrid Network and Addition of Monofunctional Monomer. ACS Sustain. Chem. Eng. 2021, 9, 17403–17412. [Google Scholar] [CrossRef]
- Pezzana, L.; Melilli, G.; Guigo, N.; Sbirrazzuoli, N.; Sangermano, M. Cross-Linking of Biobased Monofunctional Furan Epoxy Monomer by Two Steps Process, UV Irradiation and Thermal Treatment. Macromol. Chem. Phys. 2023, 224, 2200012. [Google Scholar] [CrossRef]
- Pezzana, L.; Melilli, G.; Sangermano, M.; Sbirrazzuoli, N.; Guigo, N. Sustainable Approach for Coating Production: Room Temperature Curing of Diglycidyl Furfuryl Amine and Itaconic Acid with UV-Induced Thiol-Ene Surface Post-Functionalization. React. Funct. Polym 2023, 182, 105486. [Google Scholar] [CrossRef]
- Reisinger, D.; Dietliker, K.; Sangermano, M.; Schlögl, S. Streamlined Concept towards Spatially Resolved Photoactivation of Dynamic Transesterification in Vitrimeric Polymers by Applying Thermally Stable Photolatent Bases. Polym. Chem 2022, 13, 1169–1176. [Google Scholar] [CrossRef]
- Vidil, T.; Llevot, A. Fully Biobased Vitrimers: Future Direction toward Sustainable Cross-Linked Polymers. Macromol. Chem. Phys. 2022, 223, 2100494. [Google Scholar] [CrossRef]
- Chong, K.L.; Lai, J.C.; Rahman, R.A.; Adrus, N.; Al-Saffar, Z.H.; Hassan, A.; Lim, T.H.; Wahit, M.U. A Review on Recent Approaches to Sustainable Bio-Based Epoxy Vitrimer from Epoxidized Vegetable Oils. Ind. Crops Prod. 2022, 189. [Google Scholar] [CrossRef]
- Shaukat, U.; Sölle, B.; Rossegger, E.; Rana, S.; Schlögl, S. Vat Photopolymerization 3D-Printing of Dynamic Thiol-Acrylate Photopolymers Using Bio-Derived Building Blocks. Polymers 2022, 14, 5377. [Google Scholar] [CrossRef]
- Zhang, Y.; Zhai, M.; Shi, L.; Lei, Q.; Zhang, S.; Zhang, L.; Lyu, B.; Zhao, S.; Ma, J.; Thakur, V.K. Sustainable Castor Oil-Based Vitrimers: Towards New Materials with Reprocessability, Self-Healing, Degradable and UV-Blocking Characteristics. Ind. Crops Prod. 2023, 193, 116210. [Google Scholar] [CrossRef]
- Chauke, N.P.; Mukaya, H.E.; Nkazi, D.B. Chemical Modifications of Castor Oil: A Review. Sci. Prog. 2019, 102, 199–217. [Google Scholar] [CrossRef]
- Yuan, H.; Dong, Z.; He, J.; Wang, Y.; Zhang, H. Surface Characterization of Sulfated Zirconia and Its Catalytic Activity for Epoxidation Reaction of Castor Oil. Chem. Eng. Commun. 2019, 206, 1618–1627. [Google Scholar] [CrossRef]
- Liu, C.; Wang, C.; Hu, Y.; Zhang, F.; Shang, Q.; Lei, W.; Zhou, Y.; Cai, Z. Castor Oil-Based Polyfunctional Acrylate Monomers: Synthesis and Utilization in UV-Curable Materials. Prog. Org. Coat. 2018, 121, 236–246. [Google Scholar] [CrossRef]
- Li, M.; Xia, J.; Mao, W.; Yang, X.; Xu, L.; Huang, K.; Li, S. Preparation and Properties of Castor Oil-Based Dual Cross-Linked Polymer Networks with Polyurethane and Polyoxazolidinone Structures. ACS Sustain. Chem. Eng. 2017, 5, 6883–6893. [Google Scholar] [CrossRef]
- Chakrapani, S.; Crivello, J.V. Synthesis and Photoinitiated Cationic Polymerization of Epoxidized Castor Oil and Its Derivatives. J. Macromol. Sci. Pure Appl. Chem. 1998, 35, 1–20. [Google Scholar] [CrossRef]
- Fu, Q.; Tan, J.; Han, C.; Zhang, X.; Fu, B.; Wang, F.; Zhu, X. Synthesis and Curing Properties of Castor Oil-Based Triglycidyl Ether Epoxy Resin. Polym Adv. Technol. 2020, 31, 2552–2560. [Google Scholar] [CrossRef]
- Çayli, G.; Gürbüz, D.; Çınarli, A. Characterization and Polymerization of Epoxidized Methacrylated Castor Oil. Eur. J. Lipid Sci. Technol. 2019, 121, 1700189. [Google Scholar] [CrossRef]
- Yang, X.; Guo, L.; Xu, X.; Shang, S.; Liu, H. A Fully Bio-Based Epoxy Vitrimer: Self-Healing, Triple-Shape Memory and Reprocessing Triggered by Dynamic Covalent Bond Exchange. Mater. Des. 2020, 186, 108248. [Google Scholar] [CrossRef]
- Capelot, M.; Montarnal, D.; Tournilhac, F.; Leibler, L. Metal-Catalyzed Transesterification for Healing and Assembling of Thermosets. J. Am. Chem. Soc. 2012, 134, 7664–7667. [Google Scholar] [CrossRef]
- Hubbard, A.M.; Ren, Y.; Konkolewicz, D.; Sarvestani, A.; Picu, C.R.; Kedziora, G.S.; Roy, A.; Varshney, V.; Nepal, D. Vitrimer Transition Temperature Identification: Coupling Various Thermomechanical Methodologies. ACS Appl. Polym. Mater. 2021, 3, 1756–1766. [Google Scholar] [CrossRef]
- Liu, J.; Zhang, C.; Li, Z.; Zhang, L.; Xu, J.; Wang, H.; Xu, S.; Guo, T.; Yang, K.; Guo, K. Dibutyl Phosphate Catalyzed Commercial Relevant Ring-Opening Polymerizations to Bio-Based Polyesters. Eur. Polym. J. 2019, 113, 197–207. [Google Scholar] [CrossRef]








| Sample | Integral [J/g] |
|---|---|
| ECO_1phr | 256.3 ± 15.0 |
| ECO_2phr | 296.4 ± 16.7 |
| ECO_4phr | 227.1 ± 28.2 |
| ECO_2phr | Elastic Modulus [MPa] | Tg [°C] | |
|---|---|---|---|
| 0DP | 0.7 ± 0.5 | 78.3 | 21 ± 4 |
| 10DP | 2.7 ± 4.1 | 307.7 | 26 ± 4 |
| 15DP | 0.5 ± 0.1 | 63.5 | 23 ± 5 |
Disclaimer/Publisher’s Note: The statements, opinions and data contained in all publications are solely those of the individual author(s) and contributor(s) and not of MDPI and/or the editor(s). MDPI and/or the editor(s) disclaim responsibility for any injury to people or property resulting from any ideas, methods, instructions or products referred to in the content. |
© 2023 by the authors. Licensee MDPI, Basel, Switzerland. This article is an open access article distributed under the terms and conditions of the Creative Commons Attribution (CC BY) license (https://creativecommons.org/licenses/by/4.0/).
Share and Cite
Bergoglio, M.; Reisinger, D.; Schlögl, S.; Griesser, T.; Sangermano, M. Sustainable Bio-Based UV-Cured Epoxy Vitrimer from Castor Oil. Polymers 2023, 15, 1024. https://doi.org/10.3390/polym15041024
Bergoglio M, Reisinger D, Schlögl S, Griesser T, Sangermano M. Sustainable Bio-Based UV-Cured Epoxy Vitrimer from Castor Oil. Polymers. 2023; 15(4):1024. https://doi.org/10.3390/polym15041024
Chicago/Turabian StyleBergoglio, Matteo, David Reisinger, Sandra Schlögl, Thomas Griesser, and Marco Sangermano. 2023. "Sustainable Bio-Based UV-Cured Epoxy Vitrimer from Castor Oil" Polymers 15, no. 4: 1024. https://doi.org/10.3390/polym15041024
APA StyleBergoglio, M., Reisinger, D., Schlögl, S., Griesser, T., & Sangermano, M. (2023). Sustainable Bio-Based UV-Cured Epoxy Vitrimer from Castor Oil. Polymers, 15(4), 1024. https://doi.org/10.3390/polym15041024

