Analysis of an Adaptive Periodic Low-Frequency Wave Filter Featuring Magnetorheological Elastomers
Abstract
1. Introduction
2. Materials and Methods
2.1. Theoretical Model of Magnetic Effect
2.2. Bloch Periodic Boundary Conditions
3. Results and Discussion
3.1. Passive Design (Field-off) of Architected Structures
3.1.1. Parametric Study on the Effect of Radius of Cylindrical Core in Passive MRE Unit Cell
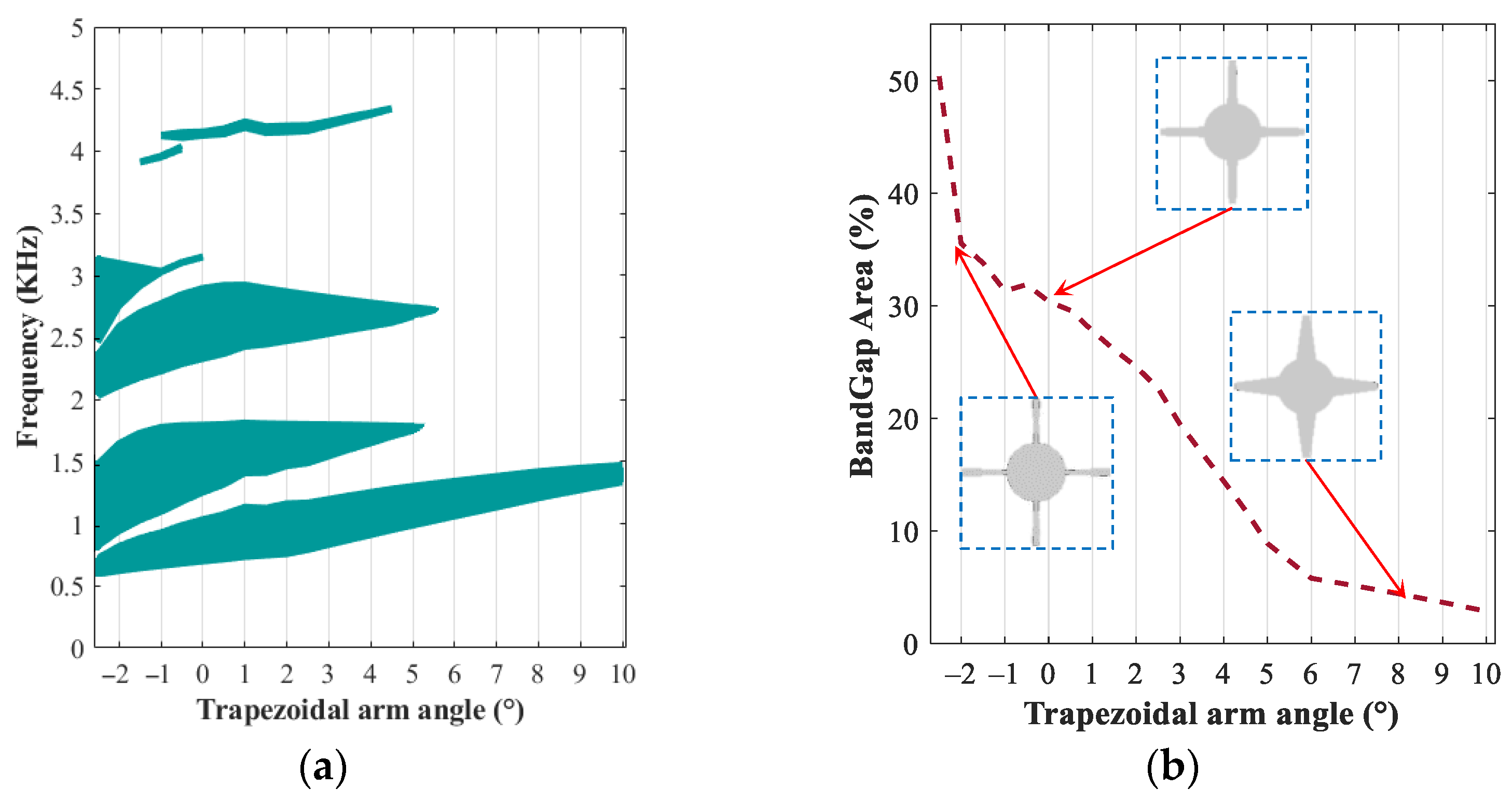
3.1.2. Parametric Study on the Effect of Radius of the Angle of Trapezoidal Arms in Passive MRE Unit Cell
3.1.3. Effect of Iron Volume Fractions on Passive MRE Unit Cell
3.2. Adaptive Feature of Proposed Architected Structures
4. Conclusions
Author Contributions
Funding
Institutional Review Board Statement
Data Availability Statement
Conflicts of Interest
References
- Anton, S.R.; Safaei, M. Piezoelectric Energy Harvesting; Olabi, A.-G., Ed.; Elsevier: Oxford, UK, 2022; pp. 104–116. ISBN 978-0-12-815733-6. [Google Scholar]
- Salim, A.; Lim, S. Review of Recent Metamaterial Microfluidic Sensors. Sensors 2018, 18, 232. [Google Scholar] [CrossRef] [PubMed]
- Hines, L.; Petersen, K.; Lum, G.Z.; Sitti, M. Soft Actuators for Small-Scale Robotics. Adv. Mater. 2017, 29, 1603483. [Google Scholar] [CrossRef]
- Jafari, H.; Sepehri, S.; Yazdi, M.R.H.; Mashhadi, M.M.; Fakhrabadi, M.M.S. Hybrid lattice metamaterials with auxiliary resonators made of functionally graded materials. Acta Mech. 2020, 231, 4835–4849. [Google Scholar] [CrossRef]
- Noroozi, R.; Bodaghi, M.; Jafari, H.; Zolfagharian, A.; Fotouhi, M. Shape-Adaptive Metastructures with Variable Bandgap Regions by 4D Printing. Polymers 2020, 12, 519. [Google Scholar] [CrossRef]
- Lee, H.; Jang, Y.; Choe, J.K.; Lee, S.; Song, H.; Lee, J.P.; Lone, N.; Kim, J. 3D-printed programmable tensegrity for soft robotics. Sci. Robot. 2020, 5, eaay9024. [Google Scholar] [CrossRef] [PubMed]
- Marette, A.; Poulin, A.; Besse, N.; Rosset, S.; Briand, D.; Shea, H. Flexible Zinc–Tin Oxide Thin Film Transistors Operating at 1 kV for Integrated Switching of Dielectric Elastomer Actuators Arrays. Adv. Mater. 2017, 29, 1700880. [Google Scholar] [CrossRef] [PubMed]
- Cummer, S.A.; Christensen, J.; Alù, A. Controlling sound with acoustic metamaterials. Nat. Rev. Mater. 2016, 1, 16001. [Google Scholar] [CrossRef]
- Moučka, R.; Goňa, S.; Sedlačík, M. Accurate measurement of the true plane-wave shielding effectiveness of thick polymer composite materials via rectangular waveguides. Polymers 2019, 11, 1603. [Google Scholar] [CrossRef]
- Zhu, H.F.; Sun, X.W.; Song, T.; Wen, X.D.; Liu, X.X.; Feng, J.S.; Liu, Z.J. Tunable characteristics of low-frequency bandgaps in two-dimensional multivibrator phononic crystal plates under prestrain. Sci. Rep. 2021, 11, 8389. [Google Scholar] [CrossRef]
- Sharma, A.K.; Kosta, M.; Shmuel, G.; Amir, O. Gradient-based topology optimization of soft dielectrics as tunable phononic crystals. Compos. Struct. 2022, 280, 114846. [Google Scholar] [CrossRef]
- Alam, Z.; Sharma, A.K. Functionally Graded Soft Dielectric Elastomer Phononic Crystals: Finite Deformation, electro-elastic longitudinal waves, and band gaps tunability via electro-mechanical loading. Int. J. Appl. Mech. 2022, 14, 2250050. [Google Scholar] [CrossRef]
- Li, B.; Yan, W.; Gao, Y. Tunability of band gaps of programmable hard-magnetic soft material phononic crystals. Acta Mech. Solida Sin. 2022, 35, 719–732. [Google Scholar] [CrossRef]
- World Health Organization. Burden of Disease from Environmental Noise; World Health Organization (WHO): Geneve, Switzerland, 2011.
- Ramage-Morin, P.L.; Gosselin, M. Canadians vulnerable to workplace noise. Health Rep. 2018, 29, 9–17. [Google Scholar]
- Gidlöf-Gunnarsson, A.; Öhrström, E. Noise and well-being in urban residential environments: The potential role of perceived availability to nearby green areas. Landsc. Urban Plan. 2007, 83, 115–126. [Google Scholar] [CrossRef]
- Xia, X.; Spadaccini, C.M.; Greer, J.R. Responsive materials architected in space and time. Nat. Rev. Mater. 2022, 7, 683–701. [Google Scholar] [CrossRef]
- Park, H.W.; Seung, H.M.; Choi, W.; Kim, M.; Oh, J.H. Highly tunable low frequency metamaterial cavity for vibration localization. Sci. Rep. 2022, 12, 9714. [Google Scholar] [CrossRef] [PubMed]
- Giguère, C.; Berger, E.H. Speech recognition in noise under hearing protection: A computational study of the combined effects of hearing loss and hearing protector attenuation. Int. J. Audiol. 2016, 55, S30–S40. [Google Scholar] [CrossRef]
- Lu, X.; Wu, X.; Xiang, H.; Shen, J.; Li, Y.; Li, Y.; Wang, X. Triple tunability of phononic bandgaps for three-dimensional printed hollow sphere lattice metamaterials. Int. J. Mech. Sci. 2022, 221, 107166. [Google Scholar] [CrossRef]
- Zou, B.; Liang, Z.; Cui, Z.; Xiao, K.; Shao, S.; Ju, J. Magneto-thermomechanically triggered active mechanical metamaterials--untethered, reversible, reprogrammable transformations with shape locking. arXiv 2022, arXiv:2207.03177. [Google Scholar]
- Ebrahimi, F.; Enferadi, A.; Dabbagh, A. Wave Dispersion Behaviors of Multi-Scale CNT/Glass Fiber/Polymer Nanocomposite Laminated Plates. Polymers 2022, 14, 5448. [Google Scholar] [CrossRef]
- Yang, S.; Zhou, X.; Wang, Y.F. Tunable band gap and wave guiding in periodic grid structures with thermal sensitive materials. Compos. Struct. 2022, 290, 115536. [Google Scholar] [CrossRef]
- Sepehri, S.; Mashhadi, M.M.; Seyyed Fakhrabadi, M.M. Active/passive tuning of wave propagation in phononic microbeams via piezoelectric patches. Mech. Mater. 2022, 167, 104249. [Google Scholar] [CrossRef]
- Zhang, C.; Li, J.; Yang, C.; Gong, S.; Jiang, H.; Sun, M.; Qian, C. A pH-sensitive coordination polymer network-based nanoplatform for magnetic resonance imaging-guided cancer chemo-photothermal synergistic therapy. Nanomed. Nanotechnol. Biol. Med. 2020, 23, 102071. [Google Scholar] [CrossRef] [PubMed]
- Wang, Y.; Li, M.; Chang, J.K.; Aurelio, D.; Li, W.; Kim, B.J.; Kim, J.H.; Liscidini, M.; Rogers, J.A.; Omenetto, F.G. Light-activated shape morphing and light-tracking materials using biopolymer-based programmable photonic nanostructures. Nat. Commun. 2021, 12, 1651. [Google Scholar] [CrossRef] [PubMed]
- Khurana, A.; Kumar, D.; Sharma, A.K.; Zurlo, G.; Joglekar, M.M. Taut domains in transversely isotropic electro-magneto-active thin membranes. Int. J. Non. Linear. Mech. 2022, 147, 104228. [Google Scholar] [CrossRef]
- Kuang, X.; Wu, S.; Ze, Q.; Yue, L.; Jin, Y.; Montgomery, S.M.; Yang, F.; Qi, H.J.; Zhao, R. Magnetic Dynamic Polymers for Modular Assembling and Reconfigurable Morphing Architectures. Adv. Mater. 2021, 33, 2102113. [Google Scholar] [CrossRef]
- Ju, Y.; Hu, R.; Xie, Y.; Yao, J.; Li, X.; Lv, Y.; Han, X.; Cao, Q.; Li, L. Reconfigurable magnetic soft robots with multimodal locomotion. Nano Energy 2021, 87, 106169. [Google Scholar] [CrossRef]
- Vizzoca, A.; Lucarini, G.; Tognoni, E.; Tognarelli, S.; Ricotti, L.; Gherardini, L.; Pelosi, G.; Pellegrino, M.; Menciassi, A.; Grimaldi, S.; et al. Erythro–Magneto–HA–Virosome: A Bio-Inspired Drug Delivery System for Active Targeting of Drugs in the Lungs. Int. J. Mol. Sci. 2022, 23, 9893. [Google Scholar] [CrossRef]
- Montgomery, S.M.; Wu, S.; Kuang, X.; Armstrong, C.D.; Zemelka, C.; Ze, Q.; Zhang, R.; Zhao, R.; Qi, H.J. Magneto-Mechanical Metamaterials with Widely Tunable Mechanical Properties and Acoustic Bandgaps. Adv. Funct. Mater. 2021, 31, 2005319. [Google Scholar] [CrossRef]
- Shu, Q.; Hu, T.; Xu, Z.; Zhang, J.; Fan, X.; Gong, X.; Xuan, S. Non-tensile piezoresistive sensor based on coaxial fiber with magnetoactive shell and conductive flax core. Compos. Part A Appl. Sci. Manuf. 2021, 149, 106548. [Google Scholar] [CrossRef]
- Zhang, Z.; Li, X.; Yu, X.; Chai, H.; Li, Y.; Wu, H.; Jiang, S. Magnetic actuation bionic robotic gripper with bistable morphing structure. Compos. Struct. 2019, 229, 111422. [Google Scholar] [CrossRef]
- Vatandoost, H.; Sedaghati, R.; Rakheja, S. A novel methodology for accurate estimation of magnetic permeability of magnetorheological elastomers. J. Magn. Magn. Mater. 2022, 560, 169669. [Google Scholar] [CrossRef]
- Vatandoost, H.; Hemmatian, M.; Sedaghati, R.; Rakheja, S. Effect of shape factor on compression mode dynamic properties of magnetorheological elastomers. J. Intell. Mater. Syst. Struct. 2021, 32, 1678–1699. [Google Scholar] [CrossRef]
- Vatandoost, H.; Sedaghati, R.; Rakheja, S. Development of New Phenomenological Models for Predicting Magnetic Permeability of Isotropic and Anisotropic Magneto-Rheological Elastomers. IEEE Trans. Instrum. Meas. 2022, 71, 1–10. [Google Scholar] [CrossRef]
- Xu, Z.; Wu, F. Elastic band gaps of magnetorheological elastomer vibration isolators. J. Intell. Mater. Syst. Struct. 2015, 26, 858–864. [Google Scholar] [CrossRef]
- Xu, Z.; Tong, J.; Wu, F. Magnetorheological elastomer vibration isolation of tunable three-dimensional locally resonant acoustic metamaterial. Solid State Commun. 2018, 271, 51–55. [Google Scholar] [CrossRef]
- Pierce, C.D.; Willey, C.L.; Chen, V.W.; Hardin, J.O.; Berrigan, J.D.; Juhl, A.T.; Matlack, K.H. Adaptive elastic metastructures from magneto-active elastomers. Smart Mater. Struct. 2020, 29, 065004. [Google Scholar] [CrossRef]
- Zhang, Q.; Rudykh, S. Magneto-deformation and transverse elastic waves in hard-magnetic soft laminates. Mech. Mater. 2022, 169, 104325. [Google Scholar] [CrossRef]
- Zhang, Q.; Cherkasov, A.V.; Arora, N.; Hu, G.; Rudykh, S. Magnetic field-induced asymmetric mechanical metamaterials. Extrem. Mech. Lett. 2023, 59, 101957. [Google Scholar] [CrossRef]
- Phani, A.S.; Woodhouse, J.; Fleck, N.A. Wave propagation in two-dimensional periodic lattices. J. Acoust. Soc. Am. 2006, 119, 1995–2005. [Google Scholar] [CrossRef]
- Sepehri, S.; Jafari, H.; Mashhadi, M.M.; Yazdi, M.R.H.; Fakhrabadi, M.M.S. Study of tunable locally resonant metamaterials: Effects of spider-web and snowflake hierarchies. Int. J. Solids Struct. 2020, 204–205, 81–95. [Google Scholar] [CrossRef]
- Amin, M.; Siddiqui, O.; Orfali, W.; Farhat, M.; Khelif, A. Resonant Beam Steering and Carpet Cloaking Using an Acoustic Transformational Metascreen. Phys. Rev. Appl. 2018, 10, 064030. [Google Scholar] [CrossRef]
- Zhang, Q.; Cen, S. Multiphysics Modeling: Numerical Methods and Engineering Applications: Tsinghua University Press Computational Mechanics Series; Elsevier: Amsterdam, The Netherlands, 2015; ISBN 0124077374. [Google Scholar]
- Bhavikatti, S.S. Finite Element Analysis; New Age International: Delhi, India, 2005; ISBN 812241589X. [Google Scholar]
- Ghosh, M.K.; Gao, Y.; Dozono, H.; Muramatsu, K.; Guan, W.; Yuan, J.; Tian, C.; Chen, B. Proposal of Maxwell stress tensor for local force calculation in magnetic body. IEEE Trans. Magn. 2018, 54, 1–4. [Google Scholar] [CrossRef]
- Beheshti, A.; Sedaghati, R.; Rakheja, S. Transversely isotropic magnetoactive elastomers: Theory and experiments. Arch. Appl. Mech. 2021, 91, 375–392. [Google Scholar] [CrossRef]
- Asadi Khanouki, M.; Sedaghati, R.; Hemmatian, M. Experimental characterization and microscale modeling of isotropic and anisotropic magnetorheological elastomers. Compos. Part B Eng. 2019, 176, 107311. [Google Scholar] [CrossRef]
- Chen, L.; Chang, Z.; Qin, T. Elastic wave propagation in simple-sheared hyperelastic materials with different constitutive models. Int. J. Solids Struct. 2017, 126, 1–7. [Google Scholar] [CrossRef]
- Liu, Y.; Chang, Z.; Feng, X.Q. Stable elastic wave band-gaps of phononic crystals with hyperelastic transformation materials. Extrem. Mech. Lett. 2017, 11, 37–41. [Google Scholar] [CrossRef]
- Dobardžić, E.; Dimitrijević, M.; Milovanović, M. V Generalized bloch theorem and topological characterization. Phys. Rev. B 2015, 91, 125424. [Google Scholar] [CrossRef]
- Lim, Q.J.; Wang, P.; Koh, S.J.A.; Khoo, E.H.; Bertoldi, K. Wave propagation in fractal-inspired self-similar beam lattices. Appl. Phys. Lett. 2015, 107, 221911. [Google Scholar] [CrossRef]
- Lee, K.H.; Yu, K.; Al Ba’ba’a, H.; Xin, A.; Feng, Z.; Wang, Q. Sharkskin-Inspired Magnetoactive Reconfigurable Acoustic Metamaterials. Research 2020, 2020, 4825185. [Google Scholar] [CrossRef]
- Sepehri, S.; Jafari, H.; Mashhadi, M.M.; Yazdi, M.R.H.; Fakhrabadi, M.M.S. Tunable elastic wave propagation in planar functionally graded metamaterials. Acta Mech. 2020, 231, 3363–3385. [Google Scholar] [CrossRef]
- Jafari, H.; Yazdi, M.H.; Fakhrabadi, M.M.S.; Masoud, M.; Fakhrabadi, S.; Fakhrabadi, M.M.S. Damping effects on wave-propagation characteristics of microtubule-based bio-nano-metamaterials. Int. J. Mech. Sci. 2020, 184, 105844. [Google Scholar] [CrossRef]
- Vatandoost, H.; Hemmatian, M.; Sedaghati, R.; Rakheja, S. Dynamic characterization of isotropic and anisotropic magnetorheological elastomers in the oscillatory squeeze mode superimposed on large static pre-strain. Compos. Part B Eng. 2020, 182, 107648. [Google Scholar] [CrossRef]
- Bayat, A.; Gordaninejad, F. Band-gap of a soft magnetorheological phononic crystal. J. Vib. Acoust. Trans. ASME 2015, 137, 011013. [Google Scholar] [CrossRef]















| Iron Volume Fraction (%) | Young’s Modulus of Filled Elastomer (MPa) | Density of Filled Elastomer | Effective Magnetic Susceptibility Difference |
|---|---|---|---|
| 3.14 | 0.22661 | 1019 | 0.169 |
| 6.08 | 0.26147 | 1205 | 0.457 |
| 8.85 | 0.28785 | 1307 | 0.953 |
| 11.47 | 0.30889 | 1413 | 2.03 |
| 13.94 | 0.36696 | 1675 | 6.02 |
| 16.27 | 0.43402 | 1770 | 8.34 |
| 18.48 | 0.49576 | 1860 | 11.53 |
| Order of Bandgap | Lower Branch (nth Mode Shape) | Upper Branch (nth Mode Shape) | Colour |
|---|---|---|---|
| First Bandgap | 5th | 6th | Purple |
| Second Bandgap | 7th | 8th | Red |
| Third Bandgap | 9th | 10th | Green |
| Fourth Bandgap | 11th | 12th | Black |
| Iron Volume Fraction (%) | |||
|---|---|---|---|
| ) | |||
| ) | No Band Gap | ||
| ) | |||
| ) | No Band Gap | No Band Gap | |
| ) | |||
| ) |
Disclaimer/Publisher’s Note: The statements, opinions and data contained in all publications are solely those of the individual author(s) and contributor(s) and not of MDPI and/or the editor(s). MDPI and/or the editor(s) disclaim responsibility for any injury to people or property resulting from any ideas, methods, instructions or products referred to in the content. |
© 2023 by the authors. Licensee MDPI, Basel, Switzerland. This article is an open access article distributed under the terms and conditions of the Creative Commons Attribution (CC BY) license (https://creativecommons.org/licenses/by/4.0/).
Share and Cite
Jafari, H.; Sedaghati, R. Analysis of an Adaptive Periodic Low-Frequency Wave Filter Featuring Magnetorheological Elastomers. Polymers 2023, 15, 735. https://doi.org/10.3390/polym15030735
Jafari H, Sedaghati R. Analysis of an Adaptive Periodic Low-Frequency Wave Filter Featuring Magnetorheological Elastomers. Polymers. 2023; 15(3):735. https://doi.org/10.3390/polym15030735
Chicago/Turabian StyleJafari, Hamid, and Ramin Sedaghati. 2023. "Analysis of an Adaptive Periodic Low-Frequency Wave Filter Featuring Magnetorheological Elastomers" Polymers 15, no. 3: 735. https://doi.org/10.3390/polym15030735
APA StyleJafari, H., & Sedaghati, R. (2023). Analysis of an Adaptive Periodic Low-Frequency Wave Filter Featuring Magnetorheological Elastomers. Polymers, 15(3), 735. https://doi.org/10.3390/polym15030735
