Structural Insights into LDPE/UHMWPE Blends Processed by γ-Irradiation
Abstract
1. Introduction
2. Materials and Methods
2.1. Materials
2.2. Preparation of Samples
2.3. Irradiation
2.4. Chemiluminescence
2.5. FTIR Spectroscopy
2.6. DSC
2.7. Mechanical Testing
2.8. Contact Angle
- -
- Good’s equation
- -
- Young’s equation
2.9. Biodegradability Testing
2.10. SEM
3. Results and Discussion
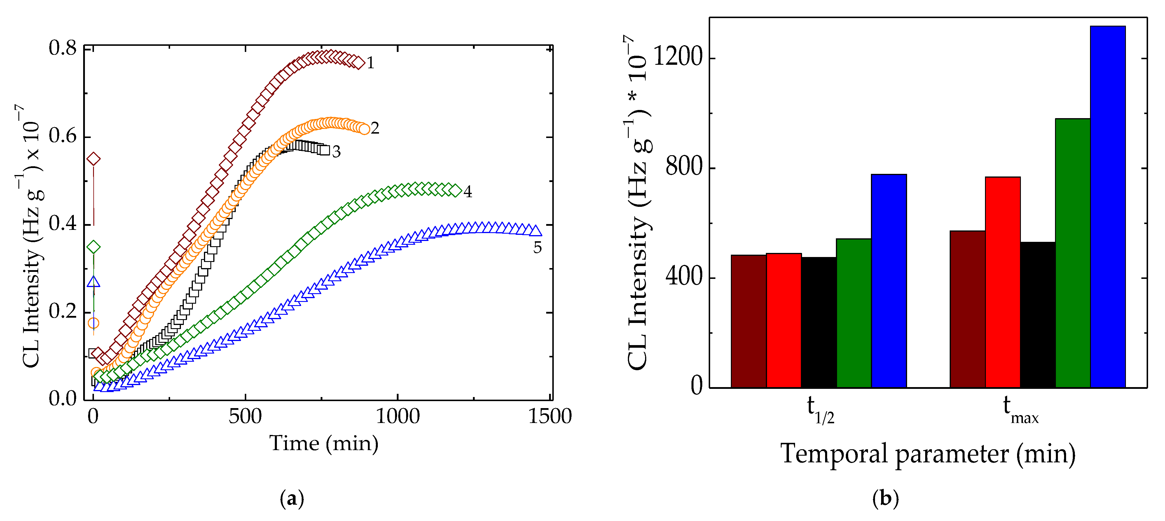
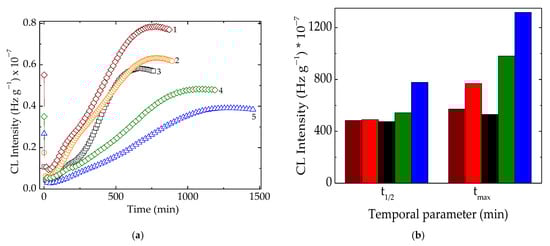
3.1. Chemiluminescence
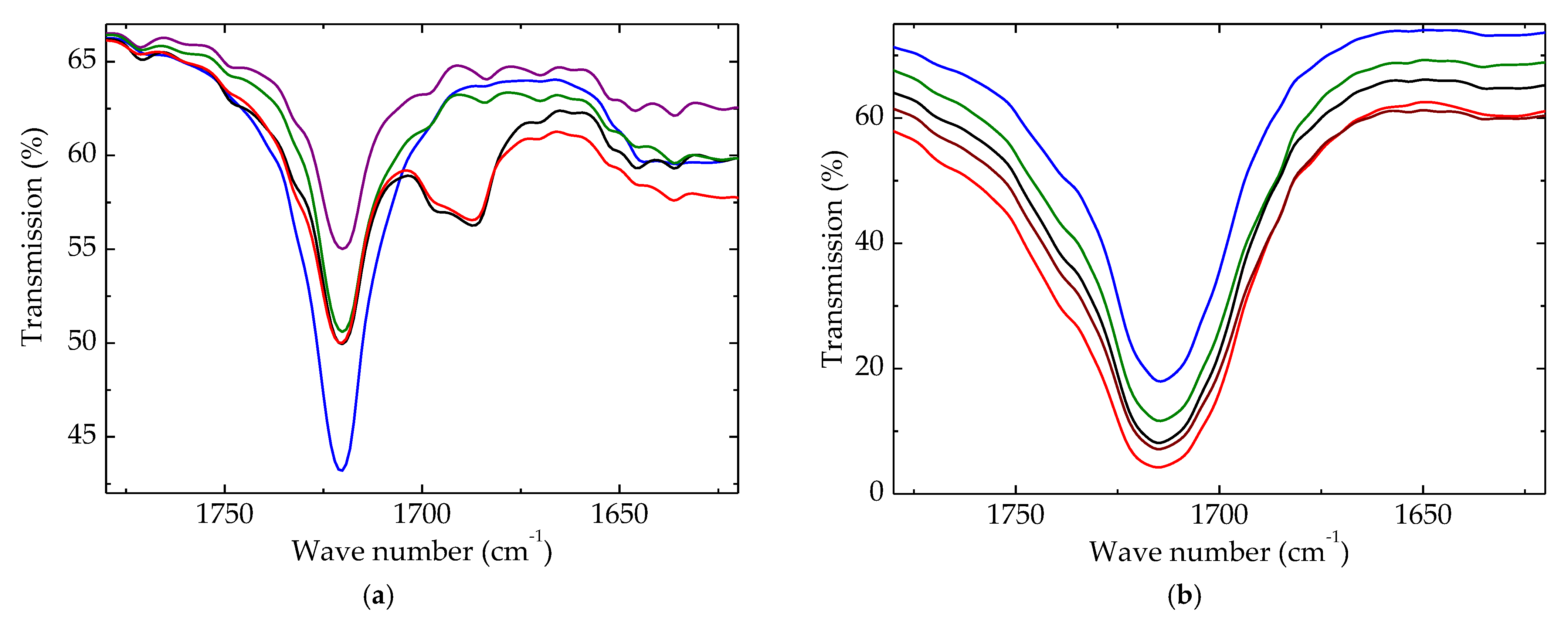
3.2. FTIR Spectroscopy
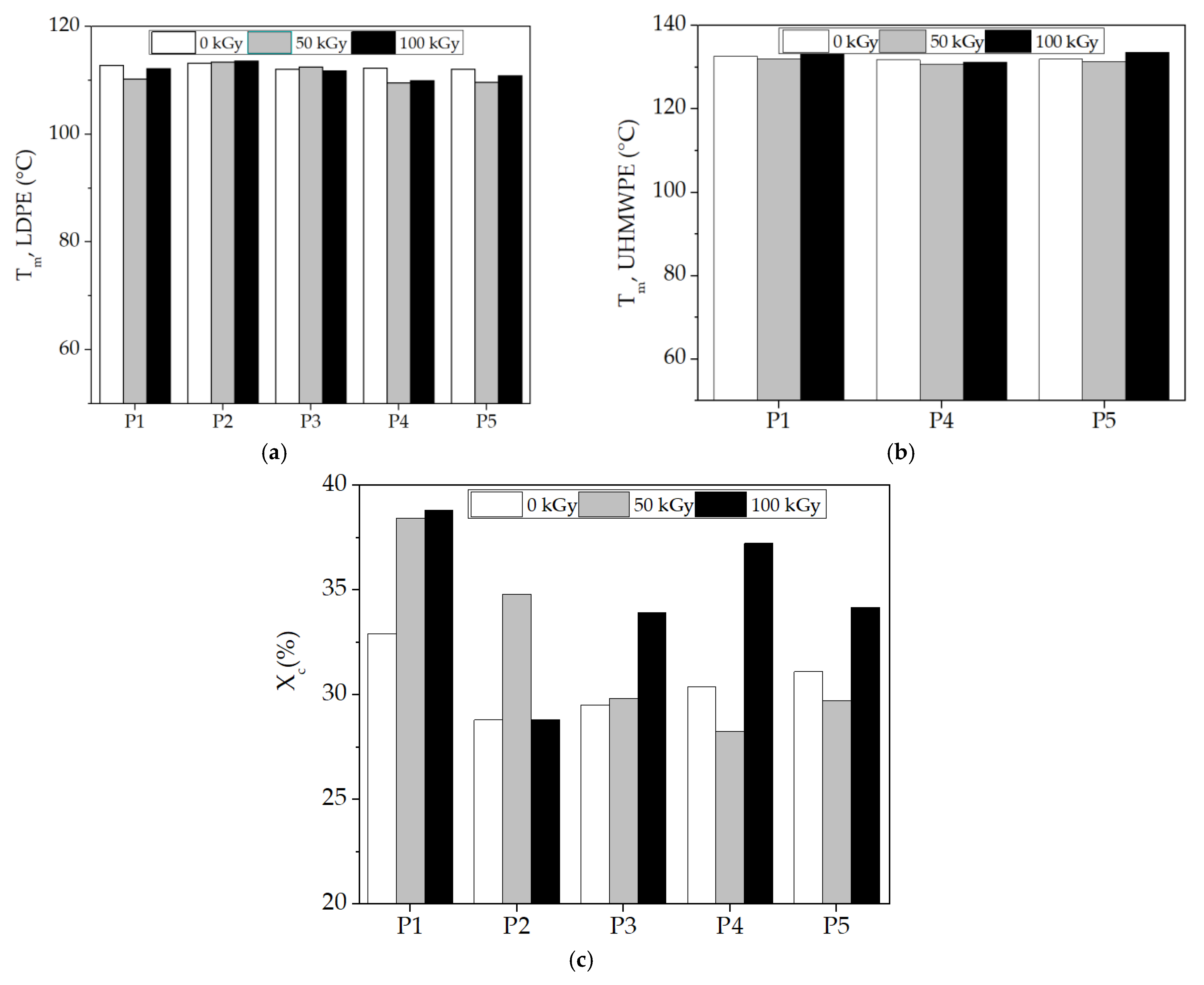
3.3. DSC
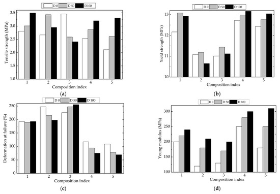
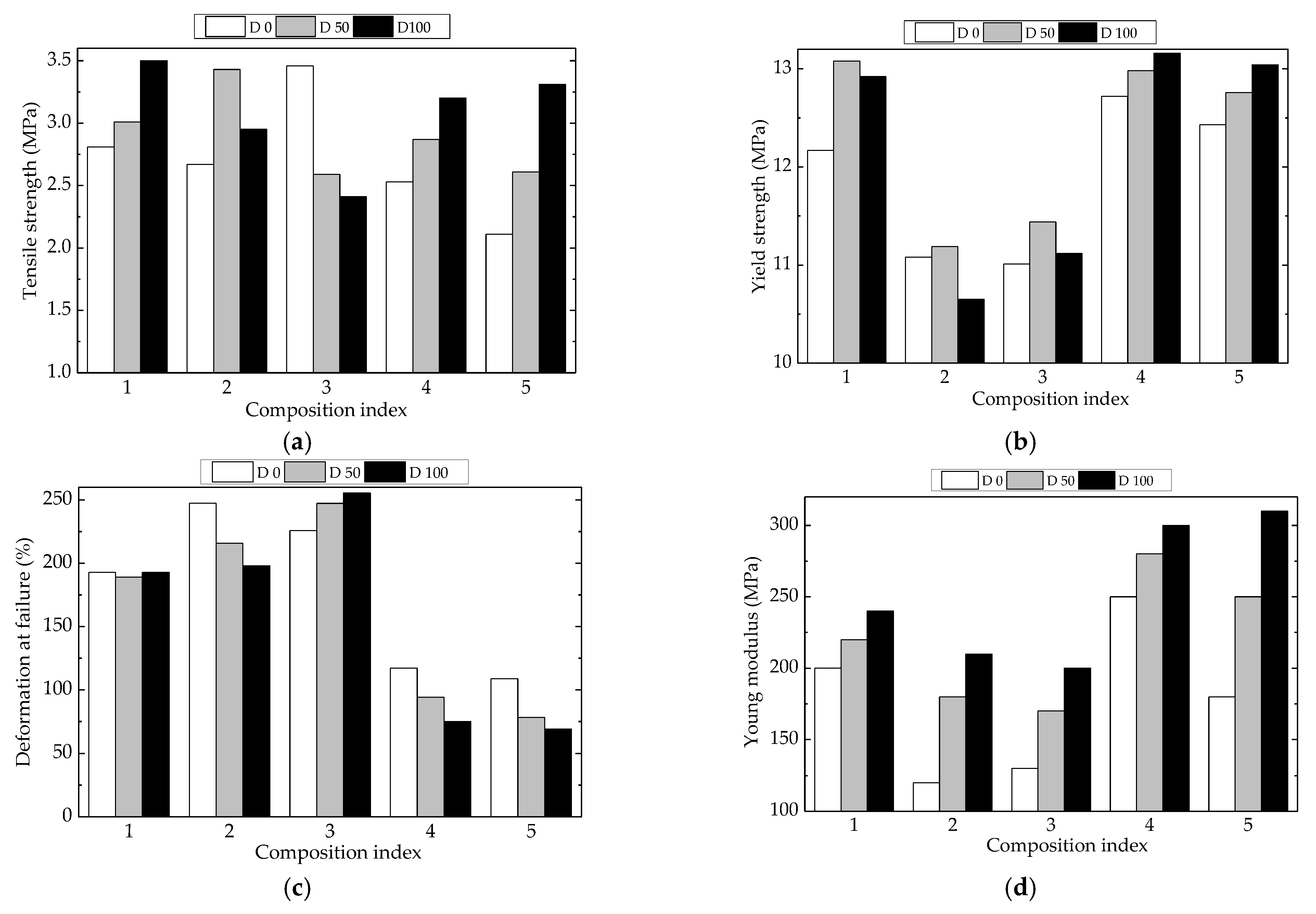
3.4. Mechanical Testing
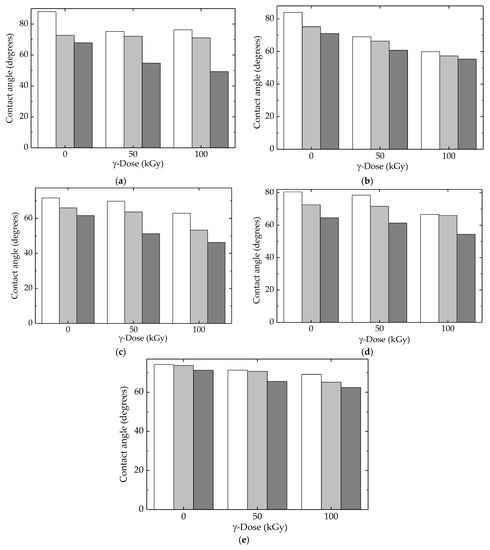
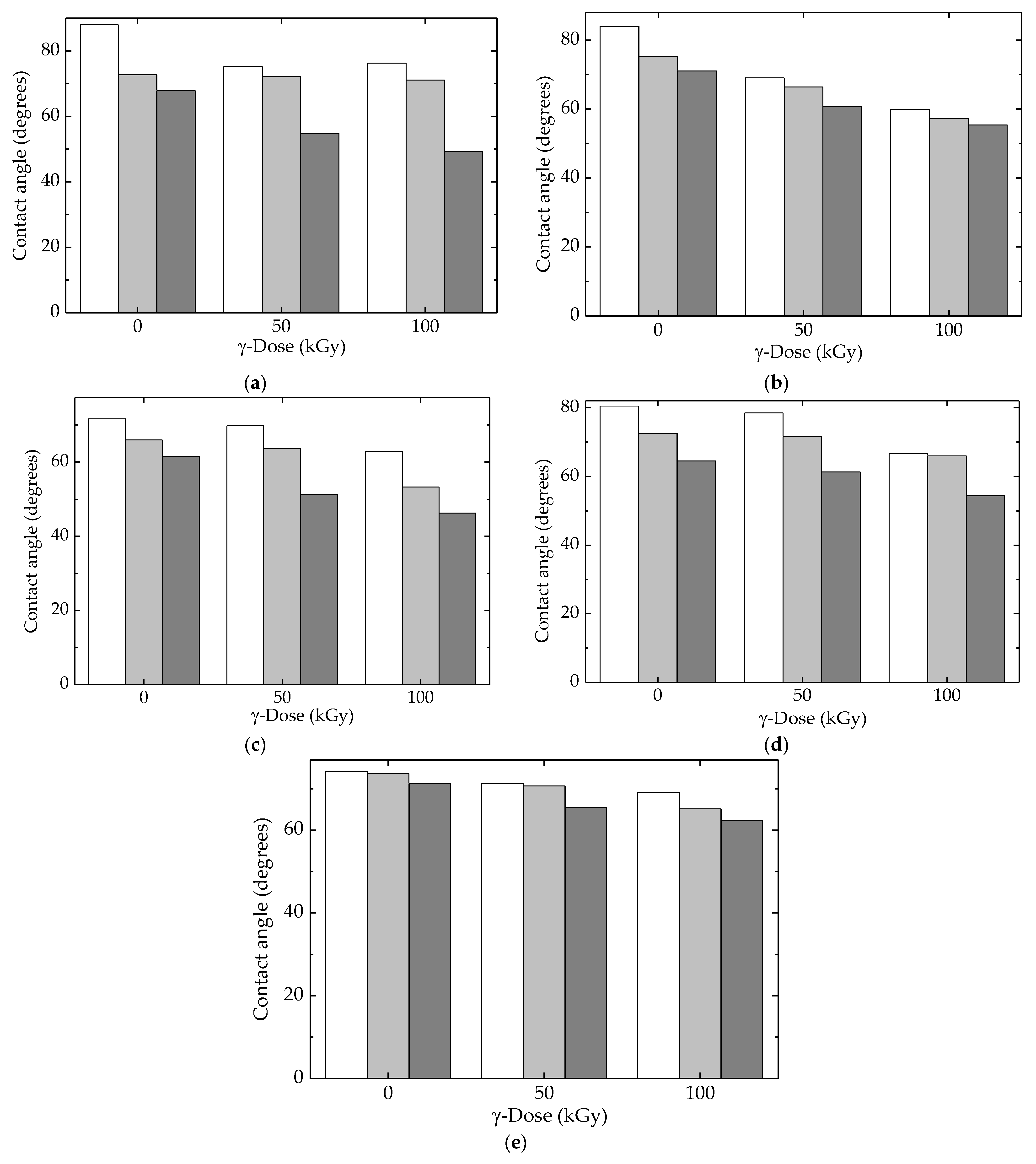
3.5. Contact Angle
3.6. Biodegradability Testing
LDPE/HAp > LDPE/HAp/RM
3.7. SEM
- -
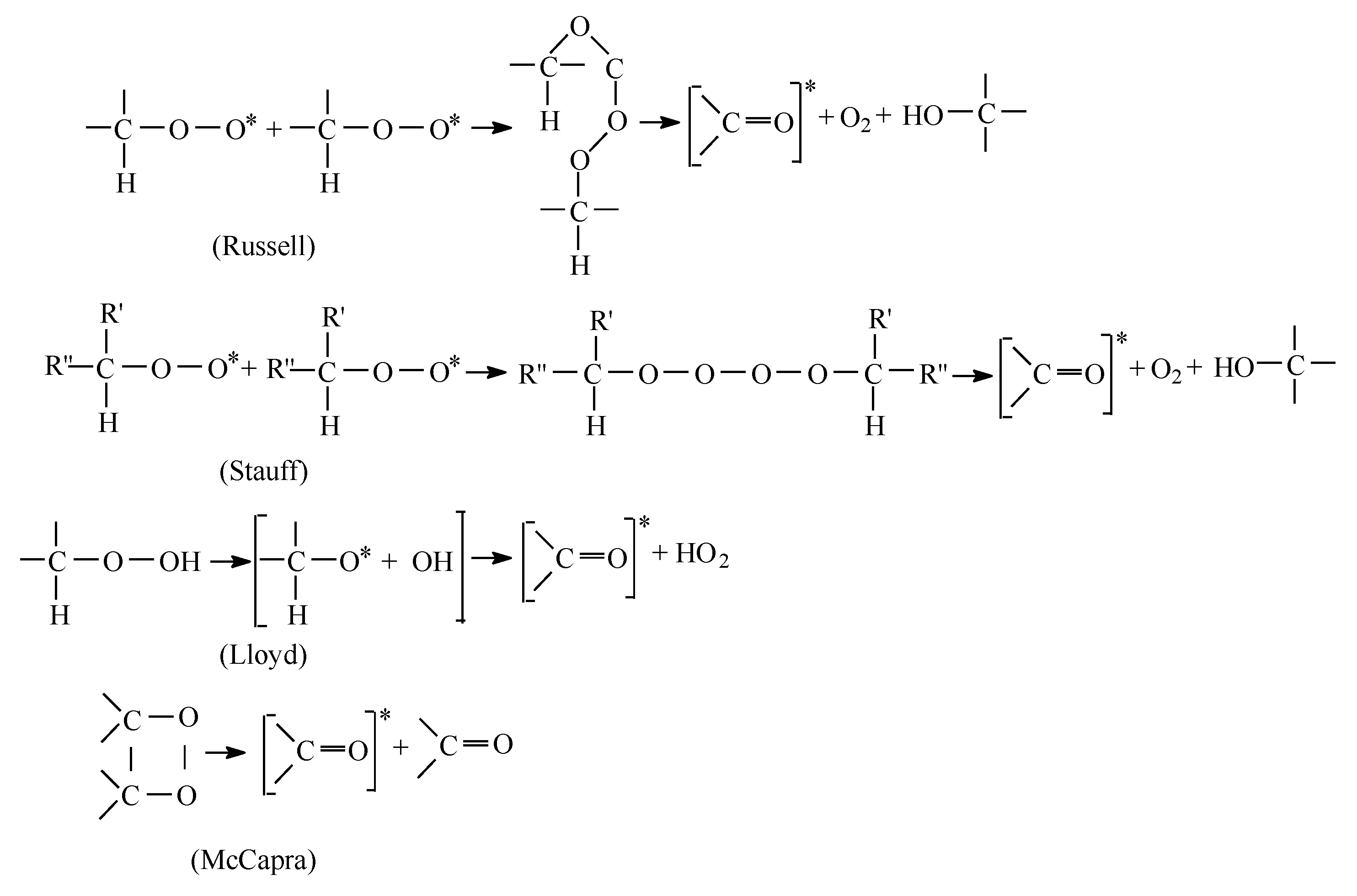
- The free radicals resulting from molecular scissions were the intermediates that were involved in several decay reactions according to the degradation mechanism [56];
- -
- The material densification illustrated by the blackened images was the consequence of crosslinking. When the rosemary extract was present, the process took place more evidently due to the stabilization activity of polyphenol components;
- -
- Decrease in the size of HAp particles was also a noticeable effect, which could be ascribed to the interactions between them and radicals that penetrated the surface through the material holes;
- -
- Energy transfer occurred in the irradiated materials, stimulating the structural strengthening [95], which improved material durability. This behavior was also sustained by chemiluminescence measurements that provided direct information on the intimate changes in polymer configurations;
- -
- The SEM images (Figure 14) are relevant proof for the involvement of the added compounds in the evolution of the material aging that took place at various rates when the polymer products were subjected to stressing actions.
4. Conclusions
Author Contributions
Funding
Institutional Review Board Statement
Data Availability Statement
Conflicts of Interest
References
- Rao, P.V.C. Effects of matrix modification on mechanical and durability characteristics through variations in micro fillers, macro fillers and fibers. Constr. Build. Mater. 2020, 235, 117505. [Google Scholar] [CrossRef]
- Zaharescu, T.; Tardei, C.; Râpă, M.; Iordoc, M. Size particle effects on the thermal stability of poly(lactic acid)/hydroxyapatite hybrids for biodegradable package. Ceram. Int. 2020, 46, 7288–7297. [Google Scholar] [CrossRef]
- Beloshenko, V.; Voznyak, Y.; Vozniak, A.; Savchenko, B. New approach to production of fiber reinforces polymer hybrid composites. Compos. Part B-Eng. 2017, 112, 22–30. [Google Scholar] [CrossRef]
- Avinash Patil, N.; Njuguna, J.; Kandasubramanian, B. UHMWPE for biomedical applications: Performance and functionalization. Eur. Polym. J. 2020, 125, 109529. [Google Scholar] [CrossRef]
- Rodriguez, M.M.; Fontoura, C.P.; Dotta, A.E.; Leidens, L.M.; Quevedo, H.G.; dos Santos Souza, K.; da Silva Crespo, J.; Fassini Michels, A.; Figuero, C.A.; Aguzzoli, C. Ti, Zr and Ta coated UHMWPE aiming surface improvement for medical applications. Compos. Part B-Eng. 2020, 189, 107909. [Google Scholar] [CrossRef]
- Kumar, R.M.; Rajesh, K.; Haldar, S.; Gupta, P.; Murali, K.; Roy, P.; Lahiri, D. Siurface modification of CNT reinforced UHMWPE composite for sustained drug delivery. J. Drug Deliv. Sci. Technol. 2019, 52, 748–759. [Google Scholar] [CrossRef]
- Collins, M.N.; Barron, D.; Birkinshaw, C. Ultra high molecular weight polyethylene (UHMWPE) for orthopaedic devices: Structure/property relationship. In Polyethylene-Based Blends, Composites and Nanocomposites; Visakh, P.M., Martínez Morlanes, M.J., Eds.; Elsevier: Amsterdam, The Netherlands, 2015; pp. 21–39. [Google Scholar]
- Gürgen, S. Wear performance of UHMWPE based composites including nano-size fumed silica. Comp. Part B-Eng. 2019, 173, 106967. [Google Scholar] [CrossRef]
- Oral, E.; Doshi, B.N.; Fung, K.; O’Brien, C.; Wannomae, K.K.; Muratoglu, O.K. Chemically cross-linked UHMWPE with superior toughness. J. Orthop. Res. 2019, 37, 2182–2188. [Google Scholar] [CrossRef] [PubMed]
- Jahan, M.S.; Walters, B.M.; Raihinasab, T.; Gnawali, R.; Adhikari, D.; Trieu, H. A comparative study of radiation effects in medical-grade polymers: UHMWPE, PCU and PEEK. Radiat. Phys. Chem. 2016, 118, 96–101. [Google Scholar] [CrossRef]
- Shibata, N.; Tomita, N. The anti-oxidative properties of α-tocopherol in γ-irradiated UHMWPE with respect to fatigue and oxidation resistance. Biomaterials 2005, 26, 5755–5762. [Google Scholar] [CrossRef]
- Zhang, L.; Sawae, Y.; Yamaguchi, T.; Murakami, T.; Yang, H. Effect of radiation doseon depth-dependent oxidation and wear of shelf-aged gamma-irradiated ultra-high molecular weight polyethylene (UHMWPE). Tribol. Int. 2015, 89, 78–85. [Google Scholar] [CrossRef]
- Chiu, K.-P.; Liaw, H.-H.; Tsay, R.-Y. EPR and kinetic studies of overall decay on gamma-irradiated UHMWPE used in joint arthroplasty. J. Taiwan Inst. Chem. Eng. 2016, 61, 1–11. [Google Scholar] [CrossRef]
- Brunella, V.; Bracco, P.; Carpentieri, I.; Paganini, M.C.; Zanetti, M.; Costa, L. Lifetime of alkyl macroradicals in irradiated ultra-high molecular weight polyethylene. Polym. Degrad. Stab. 2007, 92, 1498–1503. [Google Scholar] [CrossRef]
- Kasser, M.J.; Silverman, J.; Al-Sheikhly, M. EPR simulation of polyenyl radicals in ultrahigh molecular weight polyethylene. Macromolecules 2010, 43, 8862–8867. [Google Scholar] [CrossRef]
- Costa, L.; Carpentieri, I.; Bracco, P. Post electron-beam irradiation of orthopaedic UHMWPE. Polym. Degrad. Stab. 2008, 93, 1695–1703. [Google Scholar] [CrossRef]
- Mucavele, D.L.P.; Nones, J.; Matcinhe, J.V.; Lima, M.M.; Suares, C.; Fiori, M.A.; Riella, H.G. Advances in ultra high molecular weight polyethylene/hydroxyapatite composites for biomedical applications: A brief review. Mater. Sci. Eng. C 2017, 76, 1248–1262. [Google Scholar] [CrossRef]
- Senatov, F.; Amanbek, G.; Orlova, P.; Bartov, M.; Grunina, T.; Kolesnikov, E.; Maksimkin, A.; Kaloshkin, S.; Poponova, M.; Nikitin, K.; et al. Biomimetic UHMWPE/HA scaffolds with rhBMP-2 and erythropoietin for reconstruction surgery. Mater. Sci. Eng. C 2020, 111, 110750. [Google Scholar] [CrossRef]
- Huang, Y.-F.; Xu, J.-Z.; Zhou, D.; Xu, L.; Zhao, B.S.; Li, Z.-M. Simultaneous reinforcement and toughening of polymer/hydroxyapatite composites by constructing bone like structure. Compos. Sci. Technol. 2017, 151, 234–242. [Google Scholar] [CrossRef]
- Reddy, S.K.; Kumar, S.; Varadarajan, K.M.; Marpu, P.R.; Gupta, T.K.; Choosri, M. Strain and damage-sensing performance of biocompatible smart CNT/UHMWPE nanocomposites. Mater. Sci. Eng. C 2018, 92, 957–968. [Google Scholar] [CrossRef]
- Alam, F.; Choosri, M.; Gupta, T.K.; Varadarajan, K.M.; Choi, D.; Kumar, S. Electrical, mechanical and thermal properties of graphene nanoplatelets reinforced UHMWPE nanocomposites. Mater. Sci. Eng. B 2019, 241, 82–91. [Google Scholar] [CrossRef]
- Duraccio, D.; Strongone, V.; Faga, M.G.; Auriemma, F.; Mussano, F.D.; Genova, T.; Malucelli, G. The role of different dry-mixing techniques on the mechanical and biological behavior of UHMWPE/alumina-zirconia composites for medical applications. Eur. Polym. J. 2019, 120, 109274. [Google Scholar] [CrossRef]
- Azam, U.M.; Samad, M.A. A novel organoclay reinforced UHMWPE nanocomposite coating for tribological applications. Prog. Org. Coat. 2018, 118, 97–107. [Google Scholar] [CrossRef]
- Jahan, M.S.; Walters, B.M. Macroradical reaction in ultra-high molecular weight polyethylene in the presence of vitamin E. Radiat. Phys. Chem. 2011, 80, 281–285. [Google Scholar] [CrossRef]
- Bracco, P.; Brunella, V.; Zanetti, M.; Luda, M.P.; Costa, L. Stabilisation of ultra-high molecular weight polyethylene with Vitamin, E. Polym. Degrad. Stab. 2007, 92, 2155–2162. [Google Scholar] [CrossRef]
- Zhang, L.; Lu, C.; Dong, P.; Wand, K.; Zhang, Q. Realizing mechanically reinforced all-polyethylene material by dispersing UHMWPE via high-speed shear extrusion. Polymer 2019, 180, 121711. [Google Scholar] [CrossRef]
- Zaharescu, T.; Râpă, M.; Blanco, I.; Borbath, T.; Borbath, I. Durability of UHMWPE/HDPE composites under accelerated degradation. Polymers 2020, 12, 1241. [Google Scholar] [CrossRef]
- Jeong, J.-O.; Oh, Y.-H.; Jeong, S.-I.; Park, J.-S. Optimization of the physical properties of HDPE/PU blends through improved compatibility and electron beam crosslinking. Polymers 2022, 14, 3607. [Google Scholar] [CrossRef]
- Sirin, M.; Zeybek, M.S.; Sirin, K.; Abali, Y. Effect of gamma irradiation on the thermal and mechanical behaviour of polypropylene and polyethylene blends. Radiat. Phys. Chem. 2022, 194, 110034. [Google Scholar] [CrossRef]
- Mali, M.N.; Arakh, A.A.; Dubey, K.A.; Mhaske, S.T. Influence of triallyl cyanurate as co-agent on gamma irradiation cured high density polyethylene/reclaimed tire rubber blend. Radiat. Phys. Chem. 2017, 131, 66–72. [Google Scholar] [CrossRef]
- Żenkiewicz, M.; Czupryńska, J.; Polański, J.; Karasiewicz, T.; Engelgard, W. Effects of electron-beam irradiation on some structural properties of granulated polymer blends. Radiat. Phys. Chem. 2008, 77, 146–153. [Google Scholar] [CrossRef]
- Tamada, M. Radiation Processing of Polymers and Its Applications; Kudo, H., Ed.; Radiation Applications. An Advanced Course in Nuclear Engineering; Springer: Singapore, 2018; Volume 7. [Google Scholar]
- Posadas, P.; Valentín, J.L.; Benavente, R.; Blázquez-Blázquez, E.; Urtiaga, A.; Álvarez, J.S.; Cerrada, M.L. Crosslinked networks in electron beam irradiated polyethylenes evaluated by proton low-field NMR spectroscopy. Radiat. Phys. Chem. 2023, 204, 110694. [Google Scholar] [CrossRef]
- Bracco, P.; Brunella, V.; Luda, M.P.; Brach del Prever, E.M.; Zanetti, M.; Costa, L. Oxidation behaviour in prosthetic UHMWPE components sterilized with high-energy radiation in the presence of oxygen. Polym. Degrad. Stab. 2006, 91, 3057–3064. [Google Scholar] [CrossRef]
- Wen, X.; Li, Z.; Yang, C.; Yan, K.; Wu, G.; Wang, D. Electron beam irradiation assisted preparation of UHMWPE fiber with 3D cross-linked structure and outstanding creep resistance. Radiat. Phys. Chem. 2022, 199, 110370. [Google Scholar] [CrossRef]
- Jipa, S.; Zaharescu, T.; Setnescu, R.; Gorghiu, L.M.; Dumitrescu, C.; Santos, C.; Silva, A.M.; Gigante, B. Kinetic Approach on Stabilization of LDPE in the Presence of Carnosic Acid and Related Compounds. I. Thermal Investigation. J. Appl. Polym. Sci. 2005, 95, 1571–1577. [Google Scholar] [CrossRef]
- Doudin, K.; Al-Malaika, S. Vitamin E-stabilised UHMWPE for surgical orthopaedic implants: Quantification of vitamin E and characterisation of its transformation products. Polym. Degrad. Stab. 2016, 125, 59–75. [Google Scholar] [CrossRef]
- Jefferies, C.; Al-Malaika, S.; Sheena, H.H. New and novel thopeadic implants. Polym. Degrad. Stabil. 2021, 183, 109462. [Google Scholar] [CrossRef]
- Kirschweng, B.; Tatraaljai, D.; Földes, E.; Pukanszky, B. Natural antioxidants as stabilizers for polymers. Polym. Degrad. Stabil. 2017, 145, 25–40. [Google Scholar] [CrossRef]
- Kahya, N.; Kestir, S.M.; Öztürk, S.; Yolaç, A.; Torlak, E.; ZAkın-Evingür, G.K.; Erim, F.B. Antioxidant and antimicrobial chitosan films enriched with aqueous sage and rosemary extracts as food coating materials: Characterization of the films and detection of rosmarinic acid release. Int. J. Biol. Macromol. 2022, 217, 470–480. [Google Scholar] [CrossRef]
- Mira-Sánchez, M.D.; Castillo-Sánchez, J.; Morillas-Ruiz, J.M. Comparative study of rosemary extracts and several synthetic and natural food antioxidants. Relevance of carnosic acid/carnosol ratio. Food Chem. 2020, 309, 125688. [Google Scholar] [CrossRef]
- Mariș, M.; Mariș, D.A.; Jipa, S.; Zaharescu, T.; Gorghiu, L.M. Radio-protective potential of rosemary (Rosmarinus Officinalis) against teh effects of ionizing radiation. Rev. Chim. 2010, 61, 235–237. [Google Scholar]
- Rychlý, J.; Matisová-Rychlá, L. The role of oxidation in degradation of polymers: The relation of oxidation to the light emission from oxidized polymers. Compr. Anal. Chem. 2008, 53, 451–498. [Google Scholar] [CrossRef]
- Farrar, D.; Brain, A. The microstructure of ultra-high molecular weight polyethylene used in total joint replacements. Biomaterials 1997, 18, 1677–1685. [Google Scholar] [CrossRef] [PubMed]
- Gindl, M.; Sinn, G.; Gindl, W.; Reiterer, A.; Tschegg, S. A comparison of different methods to calculate the surface free energy of wood using contact angle measurements. Colloids Surf. A 2001, 181, 279–287. [Google Scholar] [CrossRef]
- Zisman, W.A. Contact angle, wettability, and adhesion. Adv. Chem. 1964, 43, 1–51. [Google Scholar] [CrossRef]
- ISO 846/2019; Plastics. Evaluation of the Action of Microorganisms. International Organization for Standardization: London, UK, 2019.
- Spadaro, G.; Alessi, S.; Dispenza, C. Ionizing radiation-induced crosslinking and degradation of polymer. In Applications of Ionizing Radiation in Materials Processing; Sun, Y., Chmielewski, A.G., Eds.; INCT: Warsaw, Poland, 2017; Chapter 7; Volume 1, pp. 167–182. [Google Scholar]
- Lee, J.-G.; Jeong, J.-O.; Jeong, S.-I.; Park, J.-S. Radiation-based crosslinking technique for enhanced thermal and mechanical properties of HDPE/EVA/PU blends. Polymers 2021, 13, 2832. [Google Scholar] [CrossRef]
- Mistretta, M.C.; Fontana, P.; Ceraulo, M.; Morreale, M.; La Mantia, F.P. Effect of compatibilization on the photo-oxidation behaviour of polyethylene/polyamide 6 blends and their nanocomposites. Polym. Degrad. Stab. 2015, 112, 192–197. [Google Scholar] [CrossRef]
- Bhattacharya, A.; Ray, P. Basic features and techniques. In Polymer Grafting and Crosslinking; Bhattacharya, A., Rawlins, J.W., Ray, P., Eds.; Wiley: New York, NY, USA, 2009; pp. 7–64. [Google Scholar]
- Ashfaq, A.; Clochard, M.-C.; Coqueret, X.; Dispenza, C.; Driscoll, M.S.; Ulański, P.; Al-Sheikhly, M. Polymerization reactions and modifications of polymers by ionizing radiation. Polymers 2020, 12, 2877. [Google Scholar] [CrossRef] [PubMed]
- Przybytniak, G.; Sadło, J.; Walo, M.; Wróbel, N.; Žák, P. Comparison of radical processes in non-aged and radiation-aged polyethylene unprotected or protected by antioxidants. Mater. Today Commun. 2020, 25, 101521. [Google Scholar] [CrossRef]
- Malíková, M.; Rychlý, J.; Matisová-Rychlá, L.; Csomorová, K.; Janigová, I.; Wilde, H.-W. Assessing the progress of degradation in polyurethanes by chemiluminescence. I. Unstabilised polyurethane films. Polym. Degrad. Stab. 2010, 95, 2367–2375. [Google Scholar] [CrossRef]
- Zaharescu, T.; Pleşa, I.; Jipa, S. Improvement in the degradation resistance of LDPE for radiochemical processing. Radiat. Phys. Chem. 2014, 94, 151–155. [Google Scholar] [CrossRef]
- Pospíšil, J.; Nešpůrek, S. Chain-breaking stabilizers in polymers: The current status. Polym. Degrad. Stab. 1995, 49, 99–110. [Google Scholar] [CrossRef]
- Kang, P.H.; Nho, Y.C. The effect of γ-irradiation on ultra-high molecular weight polyethylene recrystallized under different cooling conditions. Radiat. Phys. Chem. 2001, 60, 79–87. [Google Scholar] [CrossRef]
- Rychlý, J.; Rychlá, L.; Novák, I.; Vanko, V.; Preťo, J.; Janigová, I.; Chodák, I. Thermooxidative stability of hot melt adhesives based on metallocene polyolefins grafted with polar acrylic acid moieties. Polym. Test. 2020, 85, 106422. [Google Scholar] [CrossRef]
- Huang, G.; Ni, Z.; Chen, G.; Zhao, Y. The Influence of irradiation and accelerated aging on the mechanical and tribological properties of the graphene oxide/ultra-high-molecular-weight polyethylene nanocomposites. Int. J. Polym. Sci. 2016, 2016, 2618560. [Google Scholar] [CrossRef]
- Abbas-Abadi, M.S. The effect of process and structural parameters on the stability, thermo-mechanical and thermal degradation of polymers with hydrocarbon skeleton containing PE, PP, PS, PVC, NR, PBR and SBR. J. Therm. Anal. Calorim. 2021, 143, 2867–2882. [Google Scholar] [CrossRef]
- Ghafoor, B.; Mehmood, M.S.; Shahid, U.; Baluch, M.A.; Yasin, T. Influence of γ-ray modified MWCNTs on the structural and thermal properties of high-density polyethylene. Radiat. Phys. Chem. 2016, 125, 145–150. [Google Scholar] [CrossRef]
- Malavašić, T.; Musil, V. Thermal properties of binary polyolefin blends. J. Therm. Anal. Calorim. 1988, 34, 503–508. [Google Scholar] [CrossRef]
- Al Maaded, M.A.; Madi, N.K.; Hodzic, A.; Soutis, C. Influence of additives on recycled polymer blends. J. Therm. Anal. Calorim. 2014, 115, 811–821. [Google Scholar] [CrossRef]
- Cser, F.; Jollands, M.; White, P.; Bhattacharya, S. Miscibility studies on cross-linked EVA/LLDPE blends by TMDSC. J. Therm. Anal. Calorim. 2002, 70, 651–662. [Google Scholar] [CrossRef]
- Shelly, M.; Raghavendra, M.; Prabhu, A.; Ravikumar, H.B.; Mathew, M.; Francis, T. Improved mechanical and microstructural performance of high-density polyethylene–chitosan–hydroxyapatite composites as potential bone implant materials. Mater. Today Sustain. 2022, 19, 100186. [Google Scholar] [CrossRef]
- Kirschweng, B.; Vörös, B.; Arroussi, M.; Tátraaljai, D.; Zsuga, M.l.; Pukánszky, B. Melt stabilization of polyethylene with natural antioxidants: Comparison of a natural extract and its main component. J. Therm. Anal. Calorim. 2021, 145, 67–75. [Google Scholar] [CrossRef]
- Soltani, Z.; Ziaie, F.; Ghaffari, M.; Afarideh, H.; Ehsani, M. Mechanical and thermal properties and morphological studies of 10MeV electron beam irradiated LDPE/hydroxyapatite nanocomposite. Radiat. Phys. Chem. 2013, 83, 79–85. [Google Scholar] [CrossRef]
- Mészáros, L.; Kara, Y.; Fekete, T.; Molnár, K. Development of self-reinforced low-density polyethylene using γ-irradiation cross-linked polyethylene fibres. Radiat. Phys. Chem. 2020, 170, 108655. [Google Scholar] [CrossRef]
- Musuc, A.M.; Badea-Doni, M.; Jecu, L.; Rusu, A.; Popa, V.T. FTIR, XRD, and DSC analysis of the rosemary extract effect on polyethylene structure and biodegradability. J. Therm. Anal. Calorim. 2013, 114, 169–177. [Google Scholar] [CrossRef]
- Oral, E.; Ghali, B.W.; Muratoglu, O.K. The elimination of free radicals in irradiated UHMWPEs with and without vitamin E stabilization by annealing under pressure. J. Biomed. Mater. Res. B 2011, 97, 167–174. [Google Scholar] [CrossRef]
- Mohammadi, M.; Ziaie, F.; Majdabadi, A.; Akhavan, A.; Shafaei, M. Improvement of mechanical and thermal properties of high energy electron beam irradiated HDPE/hydroxyapatite nano-composite. Radiat. Phys. Chem. 2017, 130, 229–235. [Google Scholar] [CrossRef]
- Costa, L.; Carpentieri, I.; Bracco, P. Post electron-beam irradiation oxidation of orthopaedic Ultra-High Molecular Weight Polyethylene (UHMWPE) stabilized with vitamin. Polym. Degrad. Stab. 2009, 94, 1542–1547. [Google Scholar] [CrossRef]
- Rapp, G.; Tireau, J.; Bussiere, J.-M.; Chenal, P.-O.; Gardette, J.-L.; Therias, S.; Chazeau, L. Consequences of thermo-oxidative ageing on the microstructure and mechanical properties of blends of polyethylenes with different butene contents. Polym. Degrad. Stab. 2022, 204, 110121. [Google Scholar] [CrossRef]
- Bellare, A.; Carvalho, B.L. The role of lamellar morphology on the post-irradiation oxidative degradation of ultra-high molecular weight polyethylene. Polym. Degrad. Stab. 2022, 206, 110174. [Google Scholar] [CrossRef]
- Verma, N.; Kumar Keshri, A.; Zafar, S.; Prasad, A.; Pathak, H. Comparative analysis on tribological and biological responses of UHMWPE-based composite and UV irradiated UHMWPE. Biotribology 2022, 32, 100225. [Google Scholar] [CrossRef]
- Zarandi, M.B.; Bioki, H.A.; Mirbagheri, Z.-a.; Tabbakh, F.; Mirjalili, G. Effect of crystallinity and irradiation on thermal properties and specific heat capacity of LDPE & LDPE/EVA. Appl. Radiat. Isotopes 2012, 70, 1–5. [Google Scholar] [CrossRef]
- Ferreira, L.M.; Falcão, A.N.; Gil, M.H. Modification of LDPE molecular structure by gamma irradiation for bioapplications. Nucl. Instrum. Meth. B 2005, 236, 513–520. [Google Scholar] [CrossRef]
- Stelescu, D.M.; Airinei, A.; Homocianu, M.; Fifere, N.; Timpu, D.; Aflori, M. Structural characteristics of some high density polyethylene/EPDM blends. Polym. Test. 2013, 32, 187–196. [Google Scholar] [CrossRef]
- Singh Bedi, H.; Kumar, S.; Agnihotri, P.K. Wettability of thermoplastic and thermoset polymers with carbon nanotube grafted carbon fiber. Mater. Today. Proc. 2021, 41, 838–842. [Google Scholar] [CrossRef]
- Mao, X.; Yuk, H.; Zhao, X. Hydration and swelling of dry polymers for wet adhesion. J. Mech. Phys. Solids 2020, 137, 103863. [Google Scholar] [CrossRef]
- Żenkiewicz, M.; Rytlewski, P.; Czupryńska, J.; Polański, J.; Karasiewicz, T.; Engelgard, W. Contact angle and surface free energy of electron-beam irradiated polymer composites. Polymery 2008, 53, 446–451. [Google Scholar] [CrossRef]
- Quillin, D.T.; Caulfield, D.F.; Koutsky, J.A. Surface energy compatibilites of cellulose and polypropylene. MRS Online Proc. Libr. 1992, 266, 113–126. [Google Scholar] [CrossRef]
- Encinas, N.; Pantoja, M.; Abenojar, J.; Martínez, M.A. Control of wettability of polymers by surface roughness modification. J. Adhes. Sci. Technol. 2010, 24, 1869–1883. [Google Scholar] [CrossRef]
- Raaman, N.; Rajitha, N.; Jayshree, A.; Jegadeesh, R. Biodegradation of plastic by Aspergillus sp. isolated from polythene polluted sites around Chennai. J. Acad. Indus. Res. 2012, 1, 313–316. [Google Scholar]
- Shah, A.A.; Hasn, F.; Hameed, A.; Ahmed, S. Biological degradation of plastics: A comprehensive review. Biotechnol. Adv. 2008, 26, 246–265. [Google Scholar] [CrossRef]
- Ojha, N.; Pradhan, N.; Singh, S.; Barla, A.; Shrivastava, A.; Pradip, K.; Rai, V.; Bose, S. Evaluation of HDPE and LDPE degradation by fungus, implemented by statistical optimization. Sci. Rep. 2017, 7, 39515. [Google Scholar] [CrossRef] [PubMed]
- Muhonja, C.N.; Makonde, H.; Magoma, G.; Imbuga, M. Biodegradability of polyethylene by bacteria and fungi from Dandora dumpsite Nairobi-Kenya. PLoS ONE 2019, 13, e0198446. [Google Scholar] [CrossRef] [PubMed]
- Zaharescu, T.; Râpă, M.; Lungulescu, E.M.; Butoi, N. Filler effect on the degradation of γ-processed PLA/vinyl POSS hybrid. Radiat. Phys. Chem. 2018, 153, 188–197. [Google Scholar] [CrossRef]
- Wilski, H. The radiation induced degradation of polymers. Radiat. Phys. Chem. 1987, 29, 1–14. [Google Scholar] [CrossRef]
- Negrin, M.; Macerata, E.; Consolati, G.; Di Landro, L.; Mariani, M. Ionizing radiation effects on polymer biodegradation. Radiat. Eff. Defects Solids 2018, 173, 842–850. [Google Scholar] [CrossRef]
- Gilan Orr, I.; Hadar, Y.; Sivan, A. Colonization, biofilm formation and biodegradation of polyethylene by a strain of Rhodococcus ruber. Appl. Microbiol. Biotechnol. 2004, 65, 97–104. [Google Scholar] [CrossRef]
- Tamariz, E.; Rios-Raamirz, A. Biodegradation of medical purpose polymeric materials and their impact on biocompatibility. In Biodegradation-Life of Science; Hamy, R., Rosenkranz, F., Eds.; Intech: London, UK, 2013. [Google Scholar] [CrossRef]
- Bakhtiari, S.S.E.; Bakhsheshi-Rad, H.R.; Razzaghi, M.; Ismail, A.F.; Sharif, S.; Ramakrishna, S.; Berto, F. Effects of nanomaterials on biodegradation of biomaterials. In Biodegradation and Biodeterioration at the Nanoscale; Iqbal, H.M.N., Bilal, M., Nguyen, T.A., Yasin, G., Eds.; Elsevier: New York, NY, USA, 2022; pp. 137–151. [Google Scholar]
- Raju, A.; Sanjeeva Rao, B.; Madhuka, K.; Reddy, K.R.; Sadhu, V.; Chouhan, R. Effect irradiation on physicochemical and mechanical properties of polymers and polymer blends. In Green Sustainable Process for Chemical and Environmental Engineering and Science; Altalhi, T., Inamuddin, Eds.; Elsevier: Amsterdam, The Netherlands, 2022; pp. 147–163. [Google Scholar]
- Ferry, M.; Ngono, Y. Energy transfer in polymers submitted to ionizing radiation: A review. Radiat. Phys. Chem. 2021, 180, 109320. [Google Scholar] [CrossRef]














| Sample | OIT (min) | Correlation Factor | Ea (kJ mol−1) | |||
|---|---|---|---|---|---|---|
| 160 °C | 170 °C | 180 °C | 190 °C | |||
| LDPE/UHMWPE | 462 | 258 | 104 | - | 0.99410 | 121 |
| LDPE/HAp | 415 | 198 | 99 | - | 0.99998 | 116 |
| LDPE/HAp/RM | - | 480 | 186 | 109 | 0.98922 | 127 |
| LDPE/UHMWPE/HAp | - | 385 | 172 | 81 | 0.99998 | 132 |
| LDPE/UHMWPE/HAp/RM | - | 634 | 288 | 124 | 0.99952 | 139 |
Disclaimer/Publisher’s Note: The statements, opinions and data contained in all publications are solely those of the individual author(s) and contributor(s) and not of MDPI and/or the editor(s). MDPI and/or the editor(s) disclaim responsibility for any injury to people or property resulting from any ideas, methods, instructions or products referred to in the content. |
© 2023 by the authors. Licensee MDPI, Basel, Switzerland. This article is an open access article distributed under the terms and conditions of the Creative Commons Attribution (CC BY) license (https://creativecommons.org/licenses/by/4.0/).
Share and Cite
Zaharescu, T.; Nicula, N.; Râpă, M.; Iordoc, M.; Tsakiris, V.; Marinescu, V.E. Structural Insights into LDPE/UHMWPE Blends Processed by γ-Irradiation. Polymers 2023, 15, 696. https://doi.org/10.3390/polym15030696
Zaharescu T, Nicula N, Râpă M, Iordoc M, Tsakiris V, Marinescu VE. Structural Insights into LDPE/UHMWPE Blends Processed by γ-Irradiation. Polymers. 2023; 15(3):696. https://doi.org/10.3390/polym15030696
Chicago/Turabian StyleZaharescu, Traian, Nicoleta Nicula, Maria Râpă, Mihai Iordoc, Violeta Tsakiris, and Virgil Emanuel Marinescu. 2023. "Structural Insights into LDPE/UHMWPE Blends Processed by γ-Irradiation" Polymers 15, no. 3: 696. https://doi.org/10.3390/polym15030696
APA StyleZaharescu, T., Nicula, N., Râpă, M., Iordoc, M., Tsakiris, V., & Marinescu, V. E. (2023). Structural Insights into LDPE/UHMWPE Blends Processed by γ-Irradiation. Polymers, 15(3), 696. https://doi.org/10.3390/polym15030696

