The Relationship between Structure and Performance of Different Polyimides Based on Molecular Simulations
Abstract
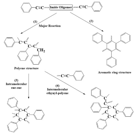
1. Introduction
2. Molecular Models of Polyimide Resin System and Simulation Details
2.1. The Amorphous Molecular Model
2.2. Construction of Cross-Linked Polyimide Resin
2.3. Viscosity Calculation
2.4. Glass-Transition Temperature Calculation
3. Results and Discussion
3.1. Structure of Cross-Linked Polyimide Resin
3.2. Prepolymer Melt Viscosity
3.3. Glass-Transition Temperature
3.3.1. Δρ-T Curve Analysis
3.3.2. Statistical Analysis of Dihedral Angle Variation with Temperature
ΔP-T Curve Acquisition and Analysis
Analysis of the Relationship between Tg and Change in Dihedral Angle
4. Conclusions
Supplementary Materials
Author Contributions
Funding
Institutional Review Board Statement
Informed Consent Statement
Data Availability Statement
Conflicts of Interest
References
- Liaw, D.J.; Wang, K.L.; Huang, Y.C.; Lee, K.R.; Lai, J.Y.; Ha, C.S. Advanced polyimide materials: Syntheses, physical properties and applications. Prog. Polym. Sci. 2012, 37, 907–974. [Google Scholar] [CrossRef]
- Zhuang, Y.B.; Seong, J.G.; Lee, Y.M. Polyimides containing aliphatic/alicyclic segments in the main chains. Prog. Polym. Sci. 2019, 92, 35–88. [Google Scholar] [CrossRef]
- Sanaeepur, H.; Amooghin, A.E.; Bandehali, S.; Moghadassi, A.; Matsuura, T.; Van der Bruggen, B. Polyimides in membrane gas separation: Monomer’s molecular design and structural engineering. Prog. Polym. Sci. 2019, 91, 80–125. [Google Scholar] [CrossRef]
- Ni, H.J.; Liu, J.G.; Wang, Z.H.; Yang, S.Y. A review on colorless and optically transparent polyimide films: Chemistry, process and engineering applications. J. Ind. Eng. Chem. 2015, 28, 16–27. [Google Scholar] [CrossRef]
- Vanherck, K.; Koeckelberghs, G.; Vankelecom, I.F.J. Crosslinking polyimides for membrane applications: A review. Prog. Polym. Sci. 2013, 38, 874–896. [Google Scholar] [CrossRef]
- Sanders, D.E.; Smith, Z.P.; Guo, R.L.; Robeson, L.M.; McGrath, J.E.; Paul, D.R.; Freeman, B.D. Energy-efficient polymeric gas separation membranes for a sustainable future: A review. Polymer 2013, 54, 4729–4761. [Google Scholar] [CrossRef]
- Higashihara, T.; Ueda, M. Recent Progress in High Refractive Index Polymers. Macromolecules 2015, 48, 1915–1929. [Google Scholar] [CrossRef]
- Ding, Y.C.; Hou, H.Q.; Zhao, Y.; Zhu, Z.T.; Fong, H. Electrospun polyimide nanofibers and their applications. Prog. Polym. Sci. 2016, 61, 67–103. [Google Scholar] [CrossRef]
- Chu, J.F.; Liu, Z.Y.; Yang, T.; Kong, A.G. Thioether-modified covalent aromatic polyimides with enhanced photocatalytic performance for hydrogen peroxide photosynthesis in pure water. Appl. Surf. Sci. 2023, 611, 155717. [Google Scholar] [CrossRef]
- Butnaru, I.; Constantin, C.P.; Damaceanu, M.D. Optimization of triphenylamine-based polyimide structure towards molecular sensors for selective detection of heavy/transition metal ions. J. Photochem. Photobiol. A 2023, 435, 114271. [Google Scholar] [CrossRef]
- Ounaies, Z.; Park, C.; Harrison, J.; Lillehei, P. Evidence of piezoelectricity in SWNT-polyimide and SWNT-PZT-polyimide composites. J. Thermoplast. Compos. Mater. 2008, 21, 393–409. [Google Scholar] [CrossRef]
- Jing, H.; Miao, Z.; Zeng, Z.; Liu, H.; Zhou, S.; Zou, H.; Liang, M. Carbonization of graphene-doped isocyanate-based polyimide foams to achieve carbon foams with excellent electromagnetic interference shielding performance. Materials 2022, 12, 7551. [Google Scholar] [CrossRef] [PubMed]
- Zheng, L.; Zhang, K.; Liu, L.; Xu, F. Biomimetic architectured Kevlar/polyimide composites with ultra-light, superior anti-compressive and flame-retardant properties. Compos. Part B Eng. 2022, 230, 109485. [Google Scholar] [CrossRef]
- Zhang, H.; Fan, X.; Chen, W.; Wang, Y.; Liu, C.; Cui, B.; Li, G.; Song, J.; Zhao, D.; Wang, D.; et al. A simple and green strategy for preparing flexible thermoplastic polyimide foams with exceptional mechanical, thermal-insulating properties, and temperature resistance for high-temperature lightweight composite sandwich structures. Compos. Part B Eng. 2022, 228, 109405. [Google Scholar] [CrossRef]
- Wang, Y.; Sun, W.; Yan, D.; Dai, K.; Li, Z. Ultralight carbon nanotube/graphene/polyimide foam with heterogeneous interfaces for efficient electromagnetic interference shielding and electromagnetic wave absorption. Carbon 2021, 176, 118–125. [Google Scholar] [CrossRef]
- Yu, L.; Yu, Y.; Shi, J.; Zhang, X.; Gao, F.; Li, C.; Yang, Z.; Zhao, J. Synthesis of a novel hyperbranched polyimide for reinforcing toughness and insulating properties of bismaleimide resin. Polymers 2022, 14, 4234. [Google Scholar] [CrossRef]
- Zhang, P.; Liu, H.; Yao, Y.; Yang, T.; Sun, J.; Zhong, X.; Bao, J.; Zhao, Y.; Chen, X. Preparation and properties of modified phenylethynyl terminated polyimide with neodymium oxide. Materials 2022, 15, 4148. [Google Scholar] [CrossRef]
- Wang, J.; Yi, X. Preparation and the properties of PMR-type polyimide composites with aluminum nitride. J. Appl. Polym. Sci. 2003, 89, 3913–3917. [Google Scholar] [CrossRef]
- Chen, F.; Liu, X.; Liu, H.; Li, S.; Li, S.; Sun, T.; Zhao, Y.; Wang, K. Improved interfacial performance of carbon fiber/polyetherimide composites by polyetherimide and modified graphene oxide complex emulsion type sizing agent. High Perform. Polym. 2022, 34, 292–309. [Google Scholar] [CrossRef]
- Qiu, Z.; He, F. Polyimide composites reinforced with whiskers. High Perform. Polym. 2001, 13, S343–S350. [Google Scholar]
- Quirke, N. Molecular modelling and simulation: Tools for the modern era. Mol. Simul. 2001, 26, 1–31. [Google Scholar] [CrossRef]
- Barhaghi, M.S.; Crawford, B.; Schwing, G.; Hardy, D.J.; Stone, J.E.; Schwiebert, L.; Potoff, J.; Tajkhorshid, E. py-MCMD: Python software for performing hybrid monte carlo/molecular dynamics simulations with GOMC and NAMD. J. Chem. Theory Comput. 2022, 18, 4983–4994. [Google Scholar] [CrossRef]
- Batzner, S.; Musaelian, A.; Sun, L.; Geiger, M.; Mailoa, J.P.; Kornbluth, M.; Molinari, N.; Smidt, T.E.; Kozinsky, B. E(3)-equivariant graph neural networks for data-efficient and accurate interatomic potentials. Nat. Commun. 2022, 13, 2453. [Google Scholar] [CrossRef] [PubMed]
- Chen, C.; Lu, Y.; Gao, Y.M. Rapid boiling of argon vapor film confined by alternated hydrophobic and hydrophilic structures: Molecular dynamics study. Int. Commun. Heat Mass Transfer 2021, 125, 105315. [Google Scholar] [CrossRef]
- Shen, Z.; Meng, Z. Enhancing the efficiency of coal bed methane recovery by injecting carbon dioxide based on an anthracite coal macromolecular model and simulation methods. Energy Fuels 2022, 36, 6329–6342. [Google Scholar] [CrossRef]
- Li, L.; Li, W.; Gong, J.; Xu, Y.; Wu, Z.; Jiang, Z.; Cheng, Y.; Li, Q.; Ni, H. An effective computational-screening strategy for simultaneously improving both catalytic activity and thermostability of alpha-l-rhamnosidase. Biotechnol. Bioeng. 2021, 118, 3409–3419. [Google Scholar] [CrossRef]
- Chen, K.; Zeng, K. Performance Optimization Model of Molecular Dynamics Simulation Based on Machine Learning and Data Mining Algorithm. Mobile Inf. Syst. 2022, 2022, 4553446. [Google Scholar] [CrossRef]
- Mo, Y.Z.; Zhang, H.; Xu, J.C. Molecular dynamic simulation of the mechanical properties of polyimide based on Materials Studio. In Proceedings of the International Conference on Mechanics and Materials Engineering (ICMME 2014), Xi’an, China, 12–13 April 2014. [Google Scholar]
- Qiu, G.; Ma, W.; Wu, L. Thermoplastic and low dielectric constants polyimides based on BPADA-BAPP. Polym.-Plast. Technol. Mater. 2020, 59, 1482–1491. [Google Scholar] [CrossRef]
- Lin, J.; Lin, H.; Yang, W.; Li, X.; Liu, Y.; Xie, Z.; Zhang, P. Effect of different particle size of nano-zinc oxide on the surface binding energy in polyimide/zinc oxide composites. In Proceedings of the 3rd International Conference on Chemical Engineering and Advanced Materials (CEAM 2013), Guangzhou, China, 6–7 July 2013. [Google Scholar]
- Wen, Q.; Tang, A.; Chen, C.; Liu, Y.; Xiao, C.; Tan, J.; Li, D. Synthesis, barrier performance, and molecular simulation of a high-barrier polyimide that contains amide groups. Mater. Res. Express 2021, 8, 045305. [Google Scholar] [CrossRef]
- Fang, X.; Xie, X.Q.; Simone, C.D.; Stevens, M.P.; Scola, D.A. A solid state 13C NMR study of the cure of 13C-labeled phenylethynyl end-capped polyimides. Macromolecues 2000, 33, 1671–1681. [Google Scholar] [CrossRef]
- Dufty, J.W.; Brey, J.J. Green-Kubo expressions for a granular gas. J. Stat. Phys. 2022, 109, 433–448. [Google Scholar] [CrossRef]
- Jaksic, V.; Ogata, Y.; Pillet, C.A. The Green-Kubo formula and the Onsager reciprocity relations in quantum statistical mechanics. Commun. Math. Phys. 2006, 265, 721–738. [Google Scholar] [CrossRef]
- Dal Cengio, S.; Levis, D.; Pagonabarraga, I. Linear response theory and green-kubo relations for active matter. Phys. Rev. Lett. 2019, 123, 238003. [Google Scholar] [CrossRef] [PubMed]
- Ke, Q.; Gong, X.; Liao, S.; Duan, C.; Li, L. Effects of thermostats/barostats on physical properties of liquids by molecular dynamics simulations. J. Mol. Liq. 2022, 365, 120116. [Google Scholar] [CrossRef]
- Rokni, H.; Lu, W. Direct measurements of interfacial adhesion in 2D materials and van der Waals heterostructures in ambient air. Nat. Commun. 2020, 11, 5607. [Google Scholar] [CrossRef] [PubMed]
- Liu, Y.; Wu, J.; Wang, Z.; Lu, X.; Avdeev, M.; Shi, S.; Wang, C.; Yu, T. Predicting creep rupture life of Ni-based single crystal superalloys using divide-and-conquer approach based machine learning. Acta Mater. 2020, 195, 454–467. [Google Scholar] [CrossRef]
- Yoshikawa, T.; Doi, T.; Nakai, H. Finite-temperature-based linear-scaling divide-and-conquer self-consistent field method for static electron correlation systems. Chem. Phys. Lett. 2019, 725, 18–23. [Google Scholar] [CrossRef]
- Nevins, D.; Spera, F.J. Accurate computation of shear viscosity from equilibrium molecular dynamics simulations. Mol. Simul. 2007, 33, 1261–1266. [Google Scholar] [CrossRef]









| System | Density Theo (g/cm3) | Viscosity Theo (Pa·s) | Viscosity Exp (Pa·s) |
|---|---|---|---|
| ODPA-APB | 1.169 | 0.179 | 0.8360 |
| 6FDA-APB | 1.213 | 0.331 | 0.4968 |
| BTDA-APB | 1.202 | 1.707 | ~ |
| α-BPDA-4,4-ODA | 1.179 | 7.258 | 3.088 |
| α-BPDA-DMBZ | 1.176 | 1.385 | ~ |
| α-BPDA-TFMBZ | 1.276 | 2.345 | 2.676 |
| System | 6FDA-APB | BTDA-APB | ODPA-APB | α-BPDA -4,4-ODA | α-BPDA -DMBZ | α-BPDA-TFMBZ |
|---|---|---|---|---|---|---|
| Tg /Theo(K) | 590 | 595 | 580 | 686 | 771 | 723 |
| Tg /Exp(K) | 593 | 618 | 569 | 660 | 773 | 720 |
Disclaimer/Publisher’s Note: The statements, opinions and data contained in all publications are solely those of the individual author(s) and contributor(s) and not of MDPI and/or the editor(s). MDPI and/or the editor(s) disclaim responsibility for any injury to people or property resulting from any ideas, methods, instructions or products referred to in the content. |
© 2023 by the authors. Licensee MDPI, Basel, Switzerland. This article is an open access article distributed under the terms and conditions of the Creative Commons Attribution (CC BY) license (https://creativecommons.org/licenses/by/4.0/).
Share and Cite
Zhang, P.; Dai, Y.; Liu, H.; Dong, B.; Yao, Y.; Sun, J.; Yang, T.; Zhong, X.; Bao, J. The Relationship between Structure and Performance of Different Polyimides Based on Molecular Simulations. Polymers 2023, 15, 646. https://doi.org/10.3390/polym15030646
Zhang P, Dai Y, Liu H, Dong B, Yao Y, Sun J, Yang T, Zhong X, Bao J. The Relationship between Structure and Performance of Different Polyimides Based on Molecular Simulations. Polymers. 2023; 15(3):646. https://doi.org/10.3390/polym15030646
Chicago/Turabian StyleZhang, Peng, Yadong Dai, Hansong Liu, Botao Dong, Yilun Yao, Jinsong Sun, Tao Yang, Xiangyu Zhong, and Jianwen Bao. 2023. "The Relationship between Structure and Performance of Different Polyimides Based on Molecular Simulations" Polymers 15, no. 3: 646. https://doi.org/10.3390/polym15030646
APA StyleZhang, P., Dai, Y., Liu, H., Dong, B., Yao, Y., Sun, J., Yang, T., Zhong, X., & Bao, J. (2023). The Relationship between Structure and Performance of Different Polyimides Based on Molecular Simulations. Polymers, 15(3), 646. https://doi.org/10.3390/polym15030646

