Prediction of Aging Performance of Particle-Filled Polymer Composites Based on RVE Model
Abstract
:1. Introduction
2. Materials and Methods
3. Multiscale Aging Model
3.1. RVE Model of PFPCs
3.2. Matrix Modulus Prediction Based on Chain Reaction
3.2.1. Chemistry of Polymer Oxidation
3.2.2. Multiscale Predictive Model of Matrix Modulus
3.2.3. Parameters for Calculation of Matrix Modulus
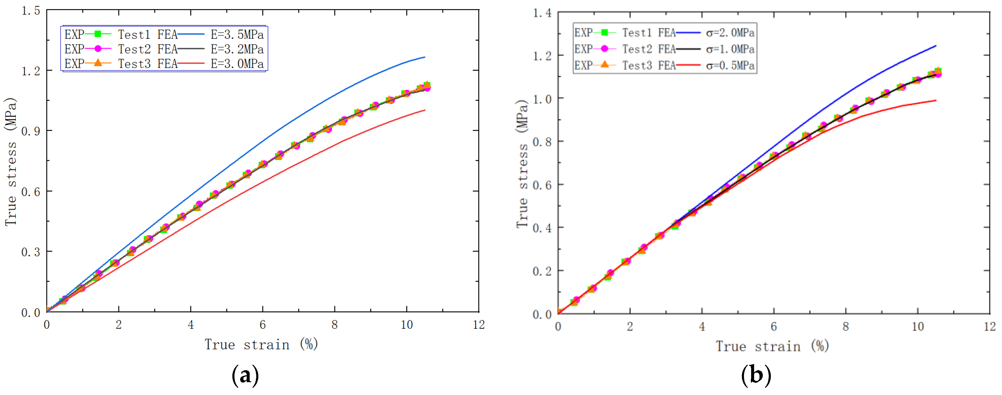
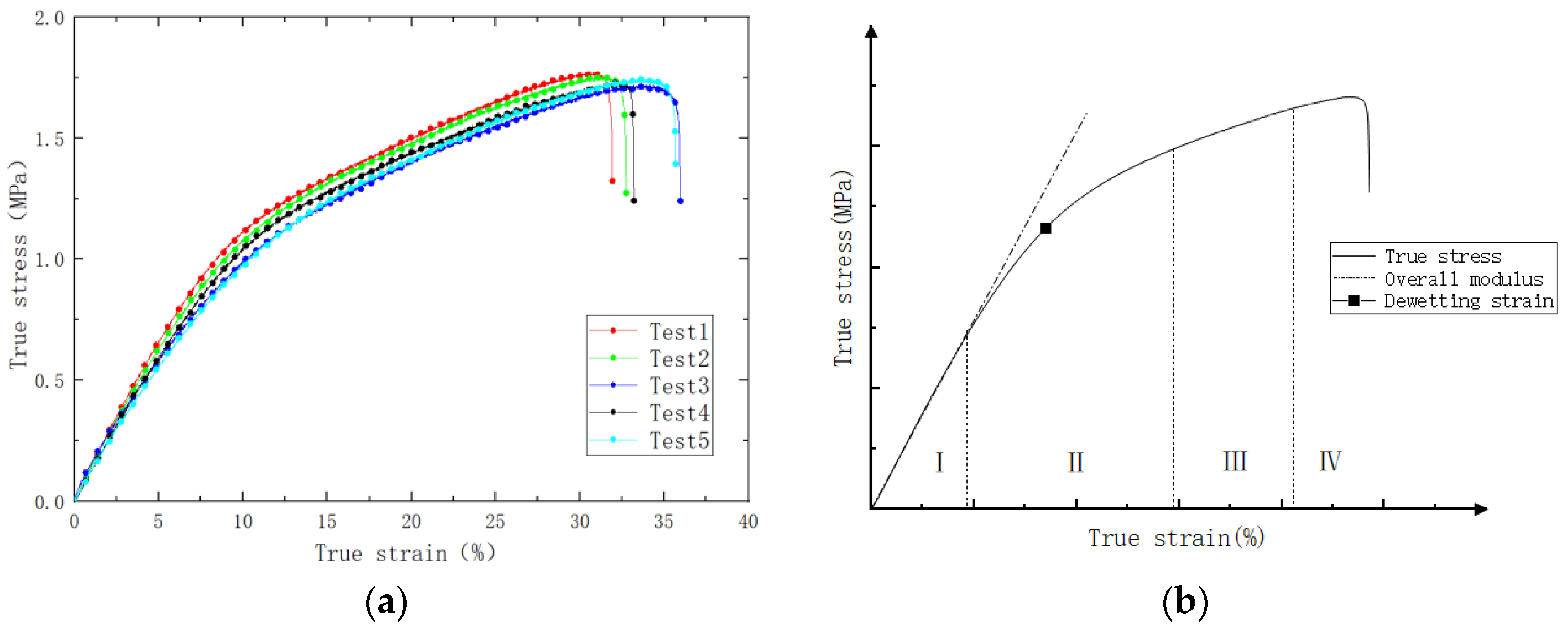
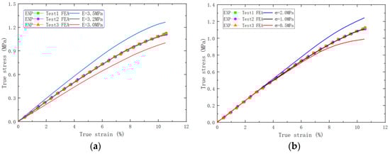
3.3. Interface Strength Prediction Based on Inversion Analysis
3.3.1. Inversion of Interface Strength
3.3.2. Multiscale Predictive Model of Interface Strength
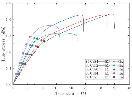
4. Results and Discussion
5. Conclusions
- (1)
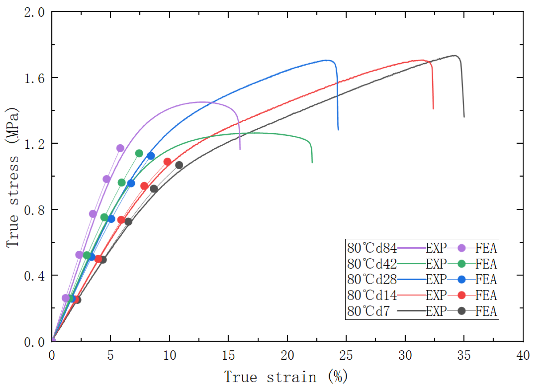
- With the increase in aging temperature and time, the modulus of PFPCs increases while the dewetting strain obviously decreases. With the occurrence of an oxidative crosslinking reaction, the crosslink density of the PFPCs increases continuously. In addition, the strength of the interface between the matrix and particles decreases after aging, showing that more particles were debonded on fractured surfaces.
- (2)
- The RVE model of the PFPCs was established using a random particle-packing algorithm. The modulus of an aged matrix in the RVE model was related to its crosslink density according to the theory of polymer physics. The crosslink density was predicted based on the closed-loop chain reaction of polymer oxidation.
- (3)
- The interface between the particle and matrix was modeled by the CZM, and the parameter of cohesive strength in the CZM was determined by inversion techniques. The power function was applied to fit the cohesive strength and crosslink density of the matrix.
- (4)
- By determining the aging effect on the modulus of the matrix and the strength of the interface, respectively, the RVE model was applied to predict the modulus and dewetting strain of the aged PFPCs. The predicted results show good agreement with the test results, which verify the reliability of this novel multiscale modeling framework.
Author Contributions
Funding
Institutional Review Board Statement
Data Availability Statement
Conflicts of Interest
References
- Lakshmi Narayana, S.; Gopalan, V. Mechanical Characterization of Particle Reinforced Jute Fiber Composite and Development of Hybrid Grey-ANFIS Predictive Model. J. Nat. Fibers 2023, 20, 2167033. [Google Scholar] [CrossRef]
- Ez-Zahraoui, S.; Sabir, S.; Berchane, S.; Bouhfid, R.; Qaiss, A.E.K.; Semlali Aouragh Hassani, F.Z.; El Achaby, M. Toughening Effect of Thermoplastic Polyurethane Elastomer on the Properties of Fly Ash-Reinforced Polypropylene-Based Composites. Polym. Compos. 2023, 44, 1534–1545. [Google Scholar] [CrossRef]
- El Moumen, A.; Saouab, A.; Imad, A.; Kanit, T. Towards a Numerical Modeling of the Coupling between RTM Process and Induced Mechanical Properties for Rigid Particle-Filled Composites. Int. J. Adv. Manuf. Technol. 2023, 125, 1251–1270. [Google Scholar] [CrossRef]
- Lu, T.; Solis-Ramos, E.; Yi, Y.B.; Kumosa, M. Particle Removal Mechanisms in Synergistic Aging of Polymers and Glass Reinforced Polymer Composites under Combined UV and Water. Compos. Sci. Technol. 2017, 153, 273–281. [Google Scholar] [CrossRef]
- Yang, Z.; Kang, G.; Liu, R.; Chen, P. Effect of Particle Morphology on Mechanical Behaviour of Highly Particle-Filled Composites. Int. J. Mech. Sci. 2022, 227, 107446. [Google Scholar] [CrossRef]
- Wang, J.; Cheng, J.; Lei, M.; Hu, X.; Wen, L. Mechanical Properties and Constitutive Model of a Composite Solid Propellant under the Synergistic Effects of Accelerated Aging Time, Pre-Strain, and Damage Growth. Mech. Mater. 2020, 148, 103453. [Google Scholar] [CrossRef]
- Naseem, H.; Yerra, J.; Murthy, H.; Ramakrishna, P.A. Ageing Studies on AP/HTPB Based Composites Solid Propellants. Energetic Mater. Front. 2021, 2, 111–124. [Google Scholar] [CrossRef]
- Pochiraju, K.V.; Tandon, G.P.; Schoeppner, G.A. Evolution of Stress and Deformations in High-Temperature Polymer Matrix Composites during Thermo-Oxidative Aging. Mech. Time Depend. Mater. 2008, 12, 45–68. [Google Scholar] [CrossRef]
- Pochiraju, K.V. Modeling Thermo-Oxidative Aging and Degradation of Composites. In Long-Term Durability of Polymeric Matrix Composites; Springer: Boston, MA, USA, 2012; pp. 383–425. [Google Scholar]
- Zhang, J.; Shi, L.; Luo, P.; Zhou, J. Mechanical Properties and Deformation Behaviors of the Hydroxyl-Terminated Poly-butadiene and Ammonium Perchlorate Interface by Molecular Dynamics Simulation. Comput. Mater. Sci. 2023, 221, 112077. [Google Scholar] [CrossRef]
- Mohammadi, H.; Morovati, V.; Poshtan, E.; Dargazany, R. Understanding Decay Functions and Their Contribution in Modeling of Thermal-Induced Aging of Cross-Linked Polymers. Polym. Degrad. Stab. 2020, 175, 109108. [Google Scholar] [CrossRef]
- Celina, M.; Graham, A.C.; Gillen, K.T.; Assink, R.A.; Minier, L.M. Thermal Degradation Studies of a Polyurethane Propellant Binder. Rubber Chem. Technol. 2000, 73, 678–693. [Google Scholar] [CrossRef]
- Konica, S.; Sain, T. A Thermodynamically Consistent Chemo-Mechanically Coupled Large Deformation Model for Polymer Oxidation. J. Mech. Phys. Solids 2020, 137, 103858. [Google Scholar] [CrossRef]
- de la Fuente, J.L.; Rodríguez, O. Dynamic Mechanical Study on the Thermal Aging of a Hydroxyl-terminated Polybutadiene-based Energetic Composite. J. Appl. Polym. Sci. 2003, 87, 2397–2405. [Google Scholar] [CrossRef]
- Wrobleski, D.A.; Langlois, D.A.; Orler, E.B.; Labouriau, A.; Uribe, M.; Houlton, R.; Kress, J.D.; Kendrick, B. Accelerated Aging and Characterization of a Plasticized Poly(Ester Urethane) Binder; American Chemical Society: Washington, DC, USA, 2009; pp. 181–196. [Google Scholar]
- Elsaka, E.; Elbasuney, S.; Elbeih, A.; Mostafa, H.E.; Awad, M.E.; Elhedery, T.M. Assessment of Antioxidant Resistance to Thermal—Oxidative Degradation of Stabilized Polybutadiene Binder. IOP Conf. Ser. Mater. Sci. Eng. 2020, 975, 012006. [Google Scholar] [CrossRef]
- Lei, M.; Ren, S.; Chen, E.; Zhang, Z.; Xiao, J.; Wen, L.; Hou, X. Correlation between Solid Propellant Failure and Interface Debonding in Solid Rocket Motors. Polym. Test. 2022, 115, 107755. [Google Scholar] [CrossRef]
- Hu, A.; Li, X.; Ajdari, A.; Jiang, B.; Burkhart, C.; Chen, W.; Brinson, L.C. Computational Analysis of Particle Reinforced Viscoelastic Polymer Nanocomposites–Statistical Study of Representative Volume Element. J. Mech. Phys. Solids 2018, 114, 55–74. [Google Scholar] [CrossRef]
- Cinar, K.; Parasiz, S.A.; Akbulut, M.; Eruslu, S.O. An Experimental and Numerical Investigation of Particle Morphology Effect on the Elasto-Plastic Behavior of Particle-Filled Composites. Fibers Polym. 2022, 23, 2694–2711. [Google Scholar] [CrossRef]
- Niu, R.-M.; Zhou, Q.-C.; Chen, X.; Ju, Y.-T.; Wei, Z.; Zheng, J. Experimental and Numerical Analysis of Mode II Fracture between Propellant and Insulation. Int. J. Adhes. Adhes. 2014, 52, 1–10. [Google Scholar] [CrossRef]
- Chowdhury, U.; Wu, X.-F. Cohesive Zone Modeling of the Elastoplastic and Failure Behavior of Polymer Nanoclay Com-posites. J. Compos. Sci. 2021, 5, 131. [Google Scholar] [CrossRef]
- Jiang, Q.; Lv, X.; Cui, H.; Ma, T. Computational Technique for Crack Propagation Simulation in Viscoelastic Solid Propellant. Int. J. Aerosp. Eng. 2023, 2023, 8827953. [Google Scholar] [CrossRef]
- Fu, S.-Y.; Feng, X.-Q.; Lauke, B.; Mai, Y.-W. Effects of Particle Size, Particle/Matrix Interface Adhesion and Particle Loading on Mechanical Properties of Particulate–Polymer Composites. Compos. B Eng. 2008, 39, 933–961. [Google Scholar] [CrossRef]
- Chen, J.; Yao, Y.; Zhang, B. The Interface Debonding in Particle-Reinforced Nonlinear Viscoelastic Polymer Composites. Meccanica 2022, 57, 1353–1367. [Google Scholar] [CrossRef]
- Zou, Z.; Qiang, H.; Li, Y.; Wang, X. Review on the Dewetting of the Particle-Matrix Interface in Composite Solid Propellants. Propellants Explos. Pyrotech. 2023, 48, e202200270. [Google Scholar] [CrossRef]
- Fang, C.; Wang, H.; Zhang, Y.; Zhang, M.; Shen, T.; Du, J. Multi-Scale Model for the Aging Performance of Particle-Filled Polymer Composites. Polymers 2023, 15, 3158. [Google Scholar] [CrossRef] [PubMed]
- Ma, H.; Shen, Z.; Li, D. A Viscoelastic Constitutive Model of Composite Propellant Considering Dewetting and Strain-Rate and Its Implementation. Propellants Explos. Pyrotech. 2019, 44, 759–768. [Google Scholar] [CrossRef]
- Supriya, S.; Selwinrajadurai, J.; Anshul, P. Microstructure based finite element analysis of particle filled polymer composite. Trans. Can. Soc. Mech. Eng. 2017, 41, 681–690. [Google Scholar] [CrossRef]
- Pan, Y.; Qu, W.; Zhang, S.; Xiao, L.; Chu, X. A Nonlinear Ultrasonic Method for Detection and Characterization of Dewetting Damage in Solid Propellant. Propellants Explos. Pyrotech. 2022, 47, e202200079. [Google Scholar] [CrossRef]
- Chaudhary, N.; Dikshit, M.K. Study of the Cross-Linking Density Effect on the Mechanical Properties of h-BNNS Reinforced Epoxy Nanocomposite Part-1: A Molecular Dynamics Simulation. J. Mol. Model. 2023, 29, 146. [Google Scholar] [CrossRef]
- Knott, G.M.; Jackson, T.L.; Buckmaster, J. Random Packing of Heterogeneous Propellants. AIAA J. 2001, 39, 678–686. [Google Scholar] [CrossRef]
- Lu, X.; Ridha, M.; Chen, B.Y.; Tan, V.B.C.; Tay, T.E. On Cohesive Element Parameters and Delamination Modelling. Eng. Fract. Mech. 2019, 206, 278–296. [Google Scholar] [CrossRef]
- Han, B.; Ju, Y.; Zhou, C. Simulation of Crack Propagation in HTPB Propellant Using Cohesive Zone Model. Eng. Fail. Anal. 2012, 26, 304–317. [Google Scholar] [CrossRef]
- Dalby, B.; Caraës, A. Lifetime Numerical Prediction of Solid Rocket Motors with HTPB Binder Based Propellants Using a Multiscale Model. In Proceedings of the 51st AIAA/SAE/ASEE Joint Propulsion Conference, Orlando, FL, USA, 17–19 July 2015; American Institute of Aeronautics and Astronautics: Reston, VA, USA, 2015. [Google Scholar]
- Sharaf, M.A. Cis-1,4-Polybutadiene. In Polymer Data Handbook; Oxford University Press Inc.: New York, NY, USA, 1999. [Google Scholar]
- Coquillat, M. Aging of Polybutadiene Based Propellants: Kinetic Modelling of Oxidation. Ph.D. Thesis, École Nationale Supérieure d’Arts et Métiers, Paris, France, 2007. [Google Scholar]















| Temperature (°C) | Aging Time (Days) | |||||||
|---|---|---|---|---|---|---|---|---|
| 60 | 14 | 28 | 42 | 56 | 84 | 112 | 140 | 168 |
| 70 | 7 | 14 | 21 | 35 | 42 | 63 | 84 | 112 |
| 80 | 7 | 14 | 21 | 28 | 35 | 42 | 63 | 84 |
| Reaction Stage | Reaction Equation | Rate Constant | |
|---|---|---|---|
| Initiation | I | kⅠ | |
| Propagation | II | kⅡ | |
| III | kⅢ | ||
| IV | kⅣ | ||
| Termination | V | kⅤ | |
| VI | kⅥ | ||
Disclaimer/Publisher’s Note: The statements, opinions and data contained in all publications are solely those of the individual author(s) and contributor(s) and not of MDPI and/or the editor(s). MDPI and/or the editor(s) disclaim responsibility for any injury to people or property resulting from any ideas, methods, instructions or products referred to in the content. |
© 2023 by the authors. Licensee MDPI, Basel, Switzerland. This article is an open access article distributed under the terms and conditions of the Creative Commons Attribution (CC BY) license (https://creativecommons.org/licenses/by/4.0/).
Share and Cite
Wang, H.; Fang, C.; Zhang, Y.; Zhang, M.; Shen, T.; Du, J. Prediction of Aging Performance of Particle-Filled Polymer Composites Based on RVE Model. Polymers 2023, 15, 4724. https://doi.org/10.3390/polym15244724
Wang H, Fang C, Zhang Y, Zhang M, Shen T, Du J. Prediction of Aging Performance of Particle-Filled Polymer Composites Based on RVE Model. Polymers. 2023; 15(24):4724. https://doi.org/10.3390/polym15244724
Chicago/Turabian StyleWang, Huizhen, Congli Fang, Yujiao Zhang, Minghua Zhang, Tao Shen, and Jianke Du. 2023. "Prediction of Aging Performance of Particle-Filled Polymer Composites Based on RVE Model" Polymers 15, no. 24: 4724. https://doi.org/10.3390/polym15244724
APA StyleWang, H., Fang, C., Zhang, Y., Zhang, M., Shen, T., & Du, J. (2023). Prediction of Aging Performance of Particle-Filled Polymer Composites Based on RVE Model. Polymers, 15(24), 4724. https://doi.org/10.3390/polym15244724

