Effect of a Simulated Coal Mine Environment on Polyurethane Grouting Material and a Proposed Polyurethane Strengthening Method
Abstract
:1. Introduction
2. Materials and Methods
2.1. Materials
2.2. Fabrication of Conventional PU and Ultrasound-Treated PU
2.3. Fabrication of PU–Gangue Material
2.4. Fabrication of the Dustiness of PU
2.5. Fabrication of Water–PU
2.6. Mechanical Tests and Characterization
3. Results
3.1. Effect of Ultrasound on the PU Foam
3.2. Effect of Gangue Granularity on PU–Gangue Induration
3.3. Effect of Dustiness on PU Induration
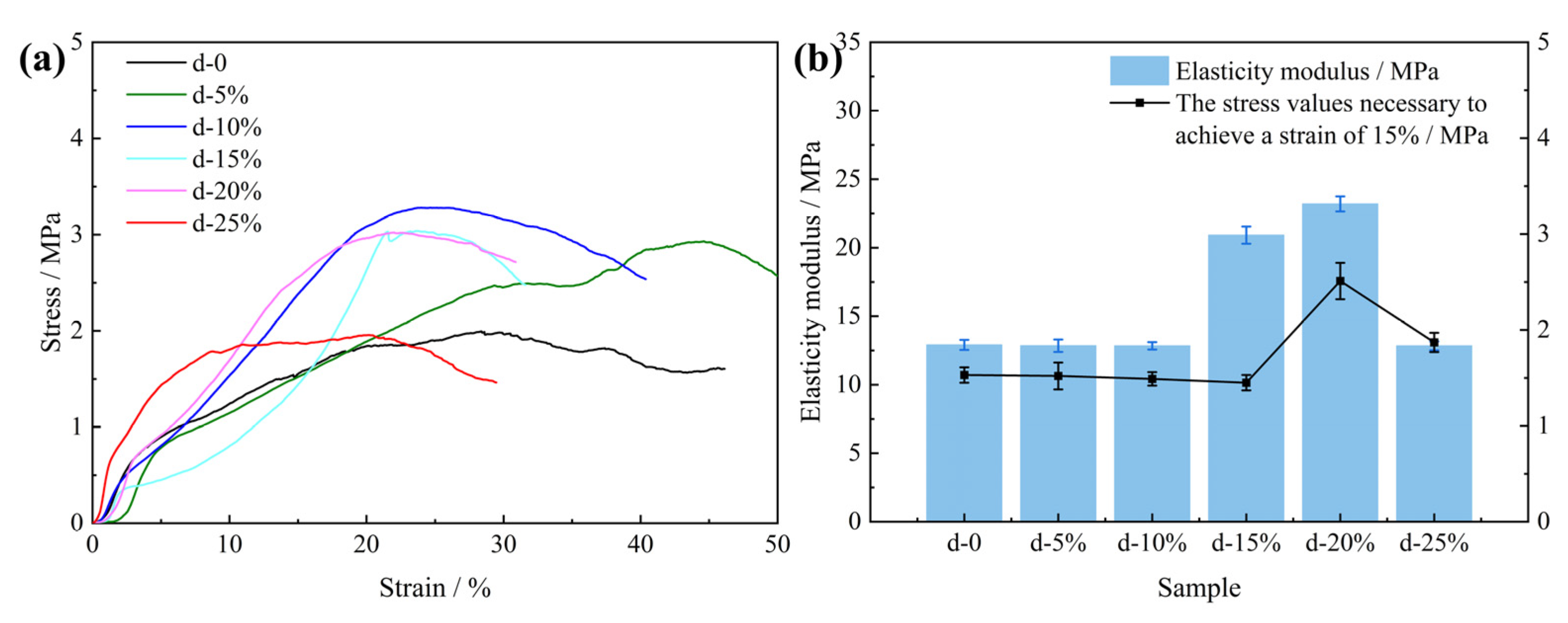
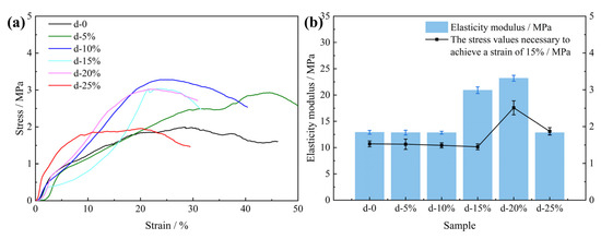
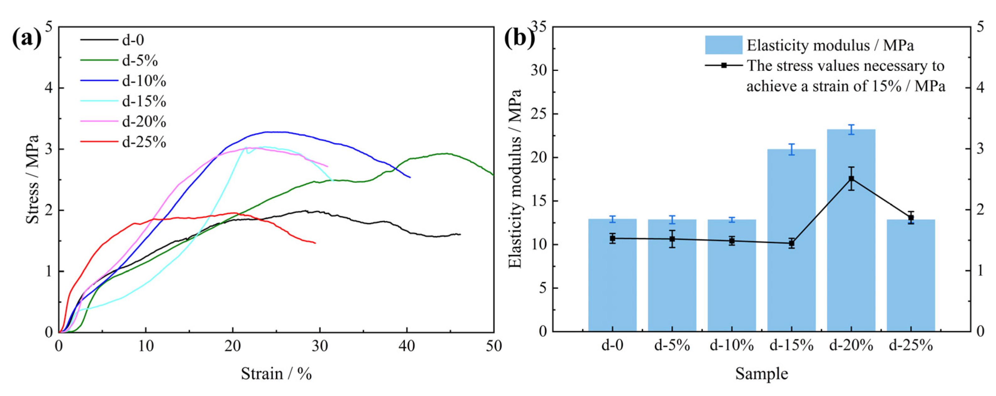
3.4. Effect of Water on PU Induration
![]() | (1) |
![]() | (2) |
3.5. Effect of Water on the Characteristic Functional Groups of PU–Gangue Material
4. Conclusions
- (1)
- In the natural foaming stage of PU, the final volume of the PU can be reduced by introducing ultrasound waves. After the ultrasound treatment, the volume of the PU foam with a final density of 50 kg/m3 was reduced by 7.50%. However, the strength is increased by 102.98% and the plateau stress was increased by 71.58%. The PU foam material with a density of 100 kg/m3 was subjected to ultrasonic treatment. The strength and the plateau stress of the rigid PU foam material treated with ultrasound were increased by 23.00% and 24.84%, respectively. Ultrasound reduces the cavity volume of PU in the foaming stage and enhances the mechanical strength of PU. The introduction of ultrasonic waves in the foaming process makes it possible to further increase the strength of PU;
- (2)
- The compressive strength of an induration composed of PU and coal gangue with the same mass but different particle sizes was significantly different than that of pure PU as it was considerably higher, which was due to the differences in the apparent density and structure of the coal gangue samples with different particle sizes;
- (3)
- The induration performance is affected by dust in the mine’s grouting cracks. The dust will improve the strength of PU grouting materials over a certain content range. However, the content cannot exceed 10% of the mass of the PU or it will deteriorate the PU’s performance. If the dust content is above 20%, it will increase the disorder of the cross-section morphology of PU materials, both reducing the consistency and decreasing the strength of the PU;
- (4)
- The PU’s performance is affected by water in the mine’s grouting cracks. The compressive strength of the induration decreases when the water content increases. When water is added, the smooth cell wall shows a convex cell body and lines, resulting in the deterioration of the mechanical strength.
Author Contributions
Funding
Institutional Review Board Statement
Data Availability Statement
Acknowledgments
Conflicts of Interest
References
- Zhang, C.J.; Shuai, B.; Zhang, X.F.; Hu, X.X.; Zhang, H.; Jia, Y.H.; Yang, Z.P.; Guan, X.M. Polyurethane/Red Mud Composites with Flexibility, Stretchability, and Flame Retardancy for Grouting. Polymers 2018, 10, 906. [Google Scholar] [CrossRef]
- Yang, Z.; Zhang, X.F.; Liu, X.; Guan, X.M.; Zhang, C.J.; Niu, Y.T. Flexible and stretchable polyurethane/waterglass grouting material. Constr. Build. Mater. 2017, 138, 240–246. [Google Scholar] [CrossRef]
- Xu, Y.T.; Zhang, Y.; Huang, J.J.; Chen, G.Q. Mechanical properties, microstructure and consolidation of sand modified with sodium silicate. Eng. Geol. 2022, 310, 106875. [Google Scholar] [CrossRef]
- Li, G.Z.; Shi, X.S.; Gao, Y.; Ning, J.G.; Chen, W.Q.; Wei, X.C.; Wang, J.; Yang, S. Reinforcing effects of carbon nanotubes on cement-based grouting materials under dynamic impact loading. Constr. Build. Mater. 2023, 382, 131083. [Google Scholar] [CrossRef]
- Mei, F.H.; Wang, S.F.; Dong, X.Y.; Ye, W.J.; Ding, Y.S. Preparation and Performance Enhancements of Low-Heat-Releasing Polyurethane Grouting Materials with Epoxy Resin and Water Glass. Appl. Sci. 2022, 12, 6397. [Google Scholar] [CrossRef]
- He, Z.L.; Li, Q.F.; Wang, J.W.; Yin, N.; Jiang, S.; Kang, M.Q. Effect of silane treatment on the mechanical properties of polyurethane/water glass grouting materials. Constr. Build. Mater. 2016, 116, 110–120. [Google Scholar] [CrossRef]
- Cherednichenko, K.; Kopitsyn, D.; Smirnov, E.; Nikolaev, N.; Fakhrullin, R. Fireproof Nanocomposite Polyurethane Foams: A Review. Polymers 2023, 15, 2314. [Google Scholar] [CrossRef]
- Jia, H.Y.; Wang, F.M.; Li, X.L.; Gui, Y.X.; Zhong, Y.H.; Zhang, B. Experimental and Numerical Studies of Self-Expansible Polyurethane Slurry Diffusion Behavior in a Fracture Considering the Slurry Temperature. Sustainability 2023, 15, 8563. [Google Scholar] [CrossRef]
- Park, S.J.; Im, S.H.; Kim, D.; Park, D.; Jung, Y.; Han, H.S.; Kim, S.H.; Chung, J.J. Tough and biodegradable polyurethane-silica hybrids with a rapid sol-gel transition for bone repair. NPG Asia Mater. 2023, 15, 28. [Google Scholar] [CrossRef]
- Jena, G.; Philip, J. A review on recent advances in graphene oxide-based composite coatings for anticorrosion applications. Prog. Org. Coat. 2022, 173, 107208. [Google Scholar] [CrossRef]
- Zhang, S.T.; Liu, W.Y.; Yang, K.J.; Yu, W.W.; Zhu, F.B.; Zheng, Q. The Influence of Fly Ash on the Foaming Behavior and Flame Retardancy of Polyurethane Grouting Materials. Polymers 2022, 14, 1113. [Google Scholar] [CrossRef]
- Wang, P.C.; Li, S.C.; Li, J.L.; Zhou, H.Y.; Ma, P.F.; Tian, Y.; Yuan, C.; Feng, X.D. Seepage behavior and mechanical properties of two kinds of polyurethane/ water glass in combined grouting experiment. Tunn. Undergr. Space Technol. 2023, 136, 105092. [Google Scholar] [CrossRef]
- Visakh, P.M.; Semkin, A.O.; Rezaev, I.A.; Fateev, A.V. Review on soft polyurethane flame retardant. Constr. Build. Mater. 2019, 227, 116673. [Google Scholar] [CrossRef]
- Jin, X.; Wang, F.; Yang, Y.; Guo, N.; Zhang, H.; Liu, H. Evaluation and mechanism of interaction effect between thermoplastic polyurethane elastomer modified asphalt and fillers. J. Appl. Polym. Sci. 2022, 139, e52979. [Google Scholar] [CrossRef]
- Liu, S.; Jin, J.; Yu, H.; Gao, Y.; Du, Y.; Sun, X.; Qian, G. Performance enhancement of modified asphalt via coal gangue with microstructure control. Constr. Build. Mater. 2023, 367, 130287. [Google Scholar] [CrossRef]
- Zhang, D.; Sun, F.; Liu, T. Study on Preparation of Coal Gangue-Based Geopolymer Concrete and Mechanical Properties. Adv. Civ. Eng. 2021, 2021, 5117584. [Google Scholar] [CrossRef]
- Pang, S.; Zhang, X.; Zhu, K.; Li, J.; Su, L. Study on Mechanical Properties and Micro Characterization of Fibre Reinforced Ecological Cementitious Coal Gangue Materials. Polymers 2023, 15, 700. [Google Scholar]
- Li, G.; Zhao, J.; Wu, W.; Jiang, J.; Wang, B.; Jiang, H.; Fuh, J.Y.H. Effect of Ultrasonic Vibration on Mechanical Properties of 3D Printing Non-Crystalline and Semi-Crystalline Polymers. Materials 2018, 11, 826. [Google Scholar]
- Zhang, P.; Behl, M.; Peng, X.; Razzaq, M.Y.; Lendlein, A. Ultrasonic Cavitation Induced Shape-Memory Effect in Porous Polymer Networks. Macromol. Rapid Commun. 2016, 37, 1897–1903. [Google Scholar] [CrossRef]
- Wu, W.; Shan, Z.; Qiang, Y.; Zhou, M. Transient viscoelastic heating characteristics of polyethene under high frequency hammering during ultrasonic plasticizing. Ultrasonics 2023, 133, 107055. [Google Scholar] [CrossRef]
- Cai, B.; Mazahreh, J.; Ma, Q.; Wang, F.; Hu, X. Ultrasound-assisted fabrication of biopolymer materials: A review. Int. J. Biol. Macromol. 2022, 209, 1613–1628. [Google Scholar] [CrossRef]
- Kim, J.Y.; Kim, J.D.; Kim, J.H.; Kim, S.K.; Lee, J.M. Effects of ultrasonic dispersion on nanoparticle based polyurethane foam reinforcement. Polym. Test. 2021, 99, 107210. [Google Scholar] [CrossRef]
- Park, J.W.; Jeong, W.Y.; An, S.K.; Lee, J.H. Transport and mechanical properties of polyurethane film treated by ultrasonic energy. Text. Res. J. 2005, 75, 425–430. [Google Scholar] [CrossRef]
- Zhang, K.; Zhang, J.; Wei, J.; Ren, T.; Xu, X. Coal seam water infusion for dust control: A technical review. Environ. Sci. Pollut. Res. 2019, 26, 4537–4554. [Google Scholar] [CrossRef]
- Kamanzi, C.; Becker, M.; Jacobs, M.; Konečný, P.; Von Holdt, J.; Broadhurst, J. The impact of coal mine dust characteristics on pathways to respiratory harm: Investigating the pneumoconiotic potency of coals. Environ. Geochem. Health 2023, 45, 7363–7388. [Google Scholar] [CrossRef]
- GB/T 1041-2008; Plastics—Detemination of Compressive Properties. Standardization Administration of the Peopleʹs Republic of China: Beijing, China, 2008.
- He, T.; Chen, F.E.; Zhu, W.X.; Yan, N. Functionalized lignin nanoparticles for producing mechanically strong and tough flame-retardant polyurethane elastomers. Int. J. Biol. Macromol. 2022, 209, 1339–1351. [Google Scholar] [CrossRef]
- Yu, T.L.; Mathias, D.; Lu, S.X.; Xu, W.G.; Naushad, M.; Szunerits, S.; Boukherroub, R. Functionalized MoS2/polyurethane sponge: An efficient scavenger for oil in water. Sep. Purif. Technol. 2020, 238, 116420. [Google Scholar] [CrossRef]
- Li, Z.; Gao, Y.; Zhang, J.; Zhang, C.; Chen, J.; Liu, C. Effect of particle size and thermal activation on the coal gangue based geopolymer. Mater. Chem. Phys. 2021, 267, 124657. [Google Scholar] [CrossRef]
- Bian, J.W.; Zhang, W.B.; Shen, Z.Z.; Li, S.; Chen, Z.L. Analysis and optimization of mechanical properties of recycled concrete based on aggregate characteristics. Sci. Eng. Compos. Mater. 2021, 28, 516–527. [Google Scholar] [CrossRef]
- Han, X.-N.; Dong, Y.; Geng, Y.-Q.; Li, N.; Zhang, C.-Y. Influence of coal gangue mulching with various thicknesses and particle sizes on soil water characteristics. Sci. Rep. 2021, 11, 15368. [Google Scholar] [CrossRef]
- Li, J.; Wang, J. Comprehensive utilization and environmental risks of coal gangue: A review. J. Clean. Prod. 2019, 239, 117946. [Google Scholar] [CrossRef]
- Zhou, W.; Wang, H.; Wang, D.; Du, Y.; Zhang, K.; Zhang, J. The influence of pore structure of coal on characteristics of dust generation during the process of conical pick cutting. Powder Technol. 2020, 363, 559–568. [Google Scholar] [CrossRef]
- Zhang, Q.Q.; Lin, X.Q.; Chen, W.S.; Zhang, H.; Han, D.Z. Modification of Rigid Polyurethane Foams with the Addition of Nano-SiO2 or Lignocellulosic Biomass. Polymers 2020, 12, 107. [Google Scholar] [CrossRef]
- Xu, X.L.; Bo, G.X.; He, X.; Tian, X.K.; Yan, Y.J. Structural effects of dimensional nano-fillers on the properties of Sapium sebiferum oil-based polyurethane matrix: Experiments and molecular dynamics simulation. Polymer 2020, 202, 122709. [Google Scholar] [CrossRef]
- Lou, D.; Younes, H.; Yang, J.; Jasthi, B.K.; Hong, G.; Hong, H.P.; Tolle, C.; Bailey, C.; Widener, C.; Hrabe, R. Enhanced electrical conductivity of anticorrosive coatings by functionalized carbon nanotubes: Effect of hydrogen bonding. Nanotechnology 2022, 33, 155704. [Google Scholar] [CrossRef]
- Xavier, J.R. Electrochemical and dynamic mechanical properties of polyurethane nanocomposite reinforced with functionalized TiO2-ZrO2 nanoparticles in automobile industry. Appl. Nanosci. 2022, 12, 1763–1778. [Google Scholar] [CrossRef]
- Yan, Y.B.; Pang, H.; Yang, X.X.; Zhang, R.L.; Liao, B. Preparation and characterization of water-blown polyurethane foams from liquefied cornstalk polyol. J. Appl. Polym. Sci. 2008, 110, 1099–1111. [Google Scholar] [CrossRef]
- Wang, J.; Gao, S.; Zhang, C.; Deng, Y.; Zhang, P. Preparation and Performance of Water-Active Polyurethane Grouting Material in Engineering: A Review. Polymers 2022, 14, 5099. [Google Scholar] [CrossRef]
- Zhou, X.; Fang, C.Q.; Lei, W.Q.; Su, J.; Li, L.; Li, Y. Thermal and Crystalline Properties of Waterborne Polyurethane by in situ water reaction process and the potential application as biomaterial. Prog. Org. Coat. 2017, 104, 1–10. [Google Scholar] [CrossRef]
- Hao, M.M.; Li, X.L.; Zhong, Y.H.; Zhang, B.; Wang, F.M. Experimental Study of Polyurethane Grout Diffusion in a Water-Bearing Fracture. J. Mater. Civ. Eng. 2021, 33, 04020485. [Google Scholar] [CrossRef]
- Zhang, R.Y.; Huang, Y.; Sun, C.B.; Liang, X.Z.; Bentian, X.S.; Wang, Z.J. Study on ultrasonic techniques for enhancing the separation process of membrane. Ultrason. Sonochemistry 2019, 55, 341–347. [Google Scholar] [CrossRef]
- Wang, Z.H.; Feng, G.R.; Qi, T.Y.; Guo, Y.X.; Du, X.J. Evaluation of static segregation of cemented gangue-fly ash backfill material using electrical resistivity method. Measurement 2020, 154, 107483. [Google Scholar] [CrossRef]










| Particle Size (mm) | 15–20 | 10–15 | 5–10 | 0–5 |
| Porosity (%) | 48.00 | 42.29 | 37.50 | 35.33 |
| Water absorption (%) | 2.11 | 2.33 | 2.45 | 2.83 |
| Water content (%) | 1.05 | 0.85 | 0.85 | 0.54 |
| Apparent density (kg/m3) | 2532 | 2388 | 2276 | 2250 |
| Bulk density (kg/m3) | 1087 | 1150 | 1285 | 1270 |
| Assignment | Wavenumber (cm−1) |
|---|---|
| Stretching vibration of C-O in aliphatic ether | 1071 |
| Stretching vibration of C-O in ester group | 1219 |
| δ (N-H) + ν(C-N), amide III band | 1306 |
| δ (N-H) + ν(C-N), amide II band | 1512 |
| Benzene ring skeleton vibration | 1595 |
| Stretching vibration of amido-carbonyl C=O | 1712 |
| Stretching vibration of methyl and methylene | 2923 |
| N–H stretching vibrations of hydrogen bonding | 3300 |
| Stretching vibration of free hydroxy(-OH) | 3691 |
Disclaimer/Publisher’s Note: The statements, opinions and data contained in all publications are solely those of the individual author(s) and contributor(s) and not of MDPI and/or the editor(s). MDPI and/or the editor(s) disclaim responsibility for any injury to people or property resulting from any ideas, methods, instructions or products referred to in the content. |
© 2023 by the authors. Licensee MDPI, Basel, Switzerland. This article is an open access article distributed under the terms and conditions of the Creative Commons Attribution (CC BY) license (https://creativecommons.org/licenses/by/4.0/).
Share and Cite
Hou, K.; Wang, S.; Yao, X.; Yao, S.; Zhou, X.; Ma, J.; Wang, P.; Feng, G. Effect of a Simulated Coal Mine Environment on Polyurethane Grouting Material and a Proposed Polyurethane Strengthening Method. Polymers 2023, 15, 4449. https://doi.org/10.3390/polym15224449
Hou K, Wang S, Yao X, Yao S, Zhou X, Ma J, Wang P, Feng G. Effect of a Simulated Coal Mine Environment on Polyurethane Grouting Material and a Proposed Polyurethane Strengthening Method. Polymers. 2023; 15(22):4449. https://doi.org/10.3390/polym15224449
Chicago/Turabian StyleHou, Kai, Shuai Wang, Xin Yao, Shun Yao, Xinxing Zhou, Jianchao Ma, Pengfei Wang, and Guorui Feng. 2023. "Effect of a Simulated Coal Mine Environment on Polyurethane Grouting Material and a Proposed Polyurethane Strengthening Method" Polymers 15, no. 22: 4449. https://doi.org/10.3390/polym15224449
APA StyleHou, K., Wang, S., Yao, X., Yao, S., Zhou, X., Ma, J., Wang, P., & Feng, G. (2023). Effect of a Simulated Coal Mine Environment on Polyurethane Grouting Material and a Proposed Polyurethane Strengthening Method. Polymers, 15(22), 4449. https://doi.org/10.3390/polym15224449



