Study on the Isotherms, Kinetics, and Thermodynamics of Adsorption of Crystal Violet Dye Using Ag-NPs-Loaded Cellulose Derived from Peanut-Husk Agro-Waste
Abstract
:1. Introduction
2. Materials and Methods
2.1. Materials
2.2. Methods
2.2.1. Extraction of Microcrystalline Cellulose from Peanut Husk
2.2.2. Green Fabrication of Ag-NPs Using A. indica
2.2.3. Fabrication of the Ag-Cellulose Nanocomposite (Ag-Cell-NCMs)
2.3. Characterization
2.3.1. Characterization of Ag-NPs Using UV-Vis Spectroscopy
2.3.2. Characterization of Cellulose and Ag-Cell-NCMs
2.4. Batch Adsorption Experiment
2.5. Desorption Study
3. Results and Discussion
3.1. Characterization of Green Fabricated Ag-NPs
3.2. Characterization of Cellulose, and Ag-Cell-NCMs
3.2.1. FTIR Spectroscopy
3.2.2. Energy Dispersive X-ray Measurements
3.2.3. TEM Image
3.2.4. Zeta Potential Analysis
3.2.5. XRD Patterns
3.3. pH Zero-Point Charge (pHzpc)
3.4. Adsorption Study
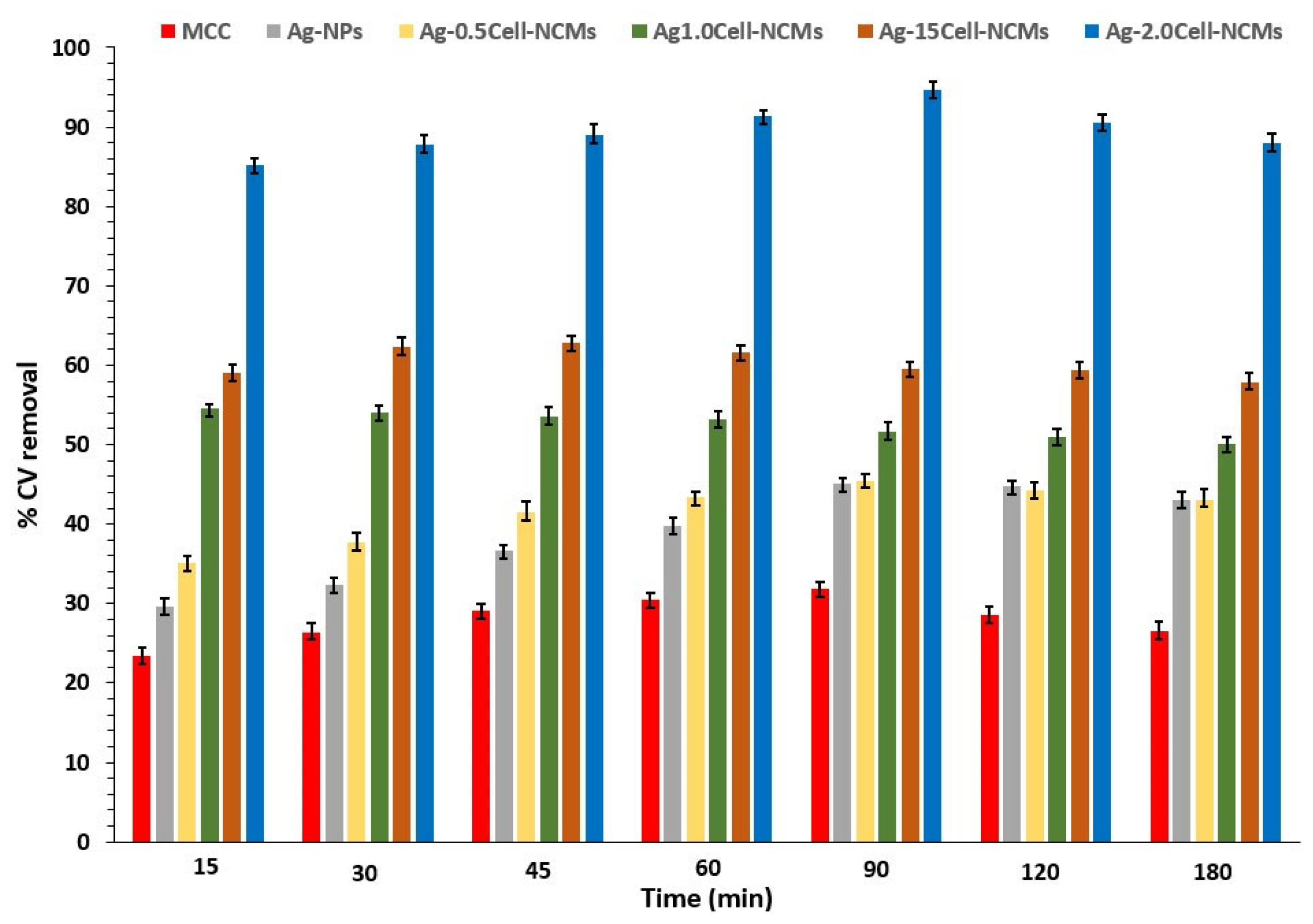
3.4.1. Screening of Adsorbents
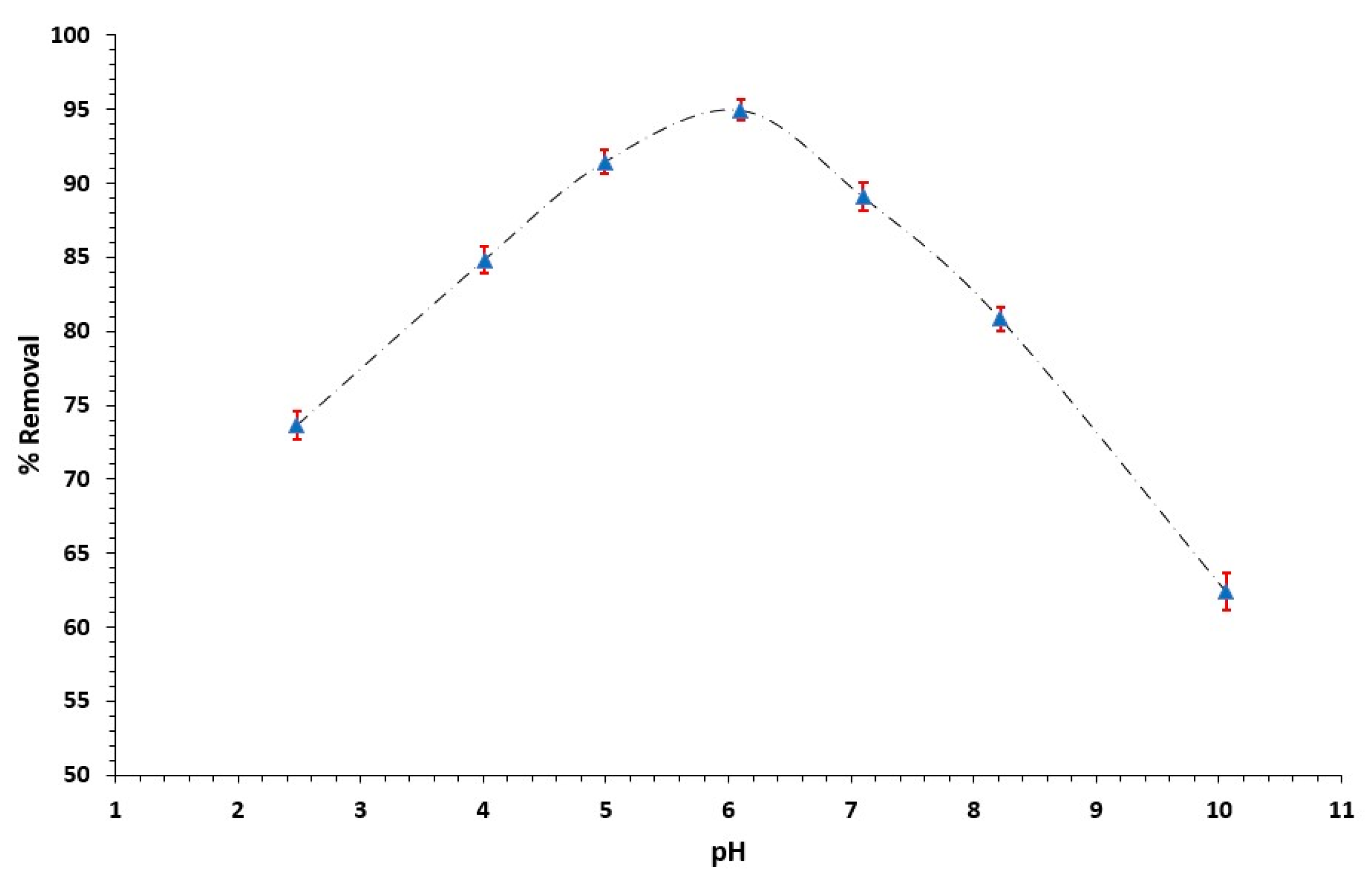
3.4.2. Effect of pH
3.4.3. Effect of Ag-Cell-NCMs Dose
3.4.4. Effect of Contact Time
3.4.5. Effect of Initial Dye Concentration
3.4.6. Effect of Temperature
3.5. Kinetic Study
3.6. Adsorption Isotherm
3.7. Thermodynamic Studies
3.8. Desorption Study
3.9. Comparative Study
4. Conclusions
Supplementary Materials
Author Contributions
Funding
Institutional Review Board Statement
Informed Consent Statement
Data Availability Statement
Acknowledgments
Conflicts of Interest
References
- Kant, R. Textile dyeing industry an environmental hazard. Nat. Sci. 2012, 4, 22–26. [Google Scholar] [CrossRef]
- Hassaan, M.A.; Nemr, A.E. Health and environmental impacts of dyes: Mini review. Am. J. Environ. Sci. Eng. 2017, 1, 64–67. [Google Scholar]
- Sirianuntapiboon, S.; Chairattanawan, K.; Jungphungsukpanich, S. Some properties of a sequencing batch reactor system for removal of vat dyes. Bioresour. Technol. 2006, 97, 1243–1252. [Google Scholar] [CrossRef] [PubMed]
- He, X.; Male, K.B.; Nesterenko, P.N.; Brabazon, D.; Paull, B.; Luong, J.H. Adsorption and desorption of methylene blue on porous carbon monoliths and nanocrystalline cellulose. ACS Appl. Mater. Interfaces 2013, 5, 8796–8804. [Google Scholar] [CrossRef] [PubMed]
- Raju, G.U.; Kumarappa, S.; Gaitonde, V.N.J. Mechanical and physical characterization of agricultural waste reinforced polymer composites. Mater. Environ. Sci. 2012, 3, 907–916. [Google Scholar]
- Punnadiyil, R.K.; Sreejith, M.P.; Purushothaman, E. Isolation of microcrystalline and nano cellulose from peanut shells. J. Chem. Pharm. Sci. 2016, 974, 12–16. [Google Scholar]
- Liu, X.; Dong, H.Z.; Hou, H.X. Preparation and characterization of cellulose nanocrystals from peanut Shells. Mod. Food Sci. Technol. 2015, 31, 172–176. [Google Scholar]
- Khalil, H.A.; Bhat, A.H.; Yusra, A.I. Green composites from sustainable cellulose nanofibrils: A review. Carbohyd. Polym. 2012, 87, 963–979. [Google Scholar] [CrossRef]
- Brau, T.; Schubert, A.; Sindelys, Z. Nanoscience and nanotechnology on the balance. Scientometrics 1997, 38, 321–325. [Google Scholar] [CrossRef]
- Sanchez, C.; Lebeau, B.; Chaput, F.; Boilot, J.P. Optical properties of functional hybrid organic–inorganic nanocomposites. Adv. Mater. 2003, 15, 1969–1994. [Google Scholar] [CrossRef]
- Rana, A.; Kumari, A.; Chaudhary, A.K.; Srivastava, R.; Kamil, D.; Vashishtha, P.; Sharma, S.N. An Investigation of Antimicrobial Activity for Plant Pathogens by Green-Synthesized Silver Nanoparticles Using Azadirachta indica and Mangifera indica. Physchem 2023, 3, 125–146. [Google Scholar] [CrossRef]
- Kharat, A.R.; Chorge, S.S.; Dhawale, S.A. Green synthesis of silver nanoparticles mediated Azadirachta indica extract and study of their characterization, molecular docking, and antibacterial activity. J. Mol. Recognit. 2023, 36, 3051. [Google Scholar]
- Irshad, M.A.; Sattar, S.; Al-Huqail, A.A.; Alghanem, S.M.; Nawaz, R.; Ain, N.U.; Abeed, A.H. Green synthesis and characterization of silver and copper nanoparticles and their use as an effective adsorbent for chromium removal and recovery from wastewater. Environ. Sci. Pollut. Res. 2023, 2023, 1–16. [Google Scholar] [CrossRef]
- Boumchita, S.; Lahrichi, A.; Benjelloun, Y.; Lairini, S.; Nenov, V.; Zerrouq, F. Application of Peanut shell as a low-cost adsorbent for the removal of anionic dye from aqueous solutions. J. Mater. Environ. Sci. 2017, 8, 2353–2364. [Google Scholar]
- Georgin, J.; Dotto, G.L.; Mazutti, M.A.; Foletto, E.L. Preparation of activated carbon from peanut shell by conventional pyrolysis and microwave irradiation-pyrolysis to remove organic dyes from aqueous solutions. J. Environ. Chem. Eng. 2016, 4, 266–275. [Google Scholar] [CrossRef]
- Zango, Z.U.; Imam, S.S. Evaluation of microcrystalline cellulose from groundnut shell for the removal of crystal violet and methylene blue. Nanosci. Nanotechnol. 2018, 8, 1–6. [Google Scholar]
- Fiorati, A.; Bellingeri, A.; Punta, C.; Corsi, I.; Venditti, I. Silver nanoparticles for water pollution monitoring and treatments: Ecosafety challenge and cellulose-based hybrids solution. Polymers 2020, 12, 1635. [Google Scholar] [CrossRef]
- Vu, A.N.; Le, H.N.T.; Phan, T.B.; Le, H.V. Facile Hydrothermal Synthesis of Ag/Fe3O4/Cellulose Nanocomposite as Highly Active Catalyst for 4-Nitrophenol and Organic Dye Reduction. Polymers 2023, 15, 3373. [Google Scholar] [CrossRef]
- Shaheed, N.; Javanshir, S.; Esmkhani, M.; Dekamin1, M.G.; Naimi-Jamal, M.R. Synthesis of nanocellulose aerogels and Cu-BTC/nanocellulose aerogel composites for adsorption of organic dyes and heavy metal ions. Sci. Rep. 2021, 11, 18553. [Google Scholar] [CrossRef]
- Sajeshkumar, N.K.; Vazhacharickal, P.J.; Mathew, J.J.; Joy, J. Synthesis of silver nanoparticles from neem leaf (Azadirachta indica) extract and its antibacterial activity. CibTech. J. Biotechnol. 2015, 4, 20–31. [Google Scholar]
- Abo-Elmagd, R.A.; Hussein, M.H.; Hamouda, R.A.; Shalan, A.E.; Abdelrazak, A. Statistical optimization of photo-induced biofabrication of silver nanoparticles using the cell extract of Oscillatoria limnetica: Insight on characterization and antioxidant potentiality. RSC Adv. 2020, 10, 44232–44246. [Google Scholar] [CrossRef] [PubMed]
- Abo-Elmagd, R.A.; Hamouda, R.A.; Hussein, M.H. Phycotoxicity and catalytic reduction activity of green synthesized Oscillatoria gelatin-capped silver nanoparticles. Sci. Rep. 2022, 12, 20378. [Google Scholar] [CrossRef]
- Ugwuoke, K.C. Effects of green-synthesized silver nanoparticles from Azadirachta indica on growth performance and liver function parameters in male albino rats. Cell Biol. Dev. 2023, 7, 28–34. [Google Scholar]
- Gan, L.; Guo, H.; Xiao, Z.; Jia, Z.; Yang, H.; Sheng, D.; Pan, H.; Xu, W.; Wang, Y. Dyeing and characterization of cellulose powder developed from waste cotton. Polymers 2019, 11, 1982. [Google Scholar] [CrossRef]
- Al-Ghouti, M.A.; Al-Absi, R.S. Mechanistic understanding of the adsorption and thermodynamic aspects of cationic methylene blue dye onto cellulosic olive stones biomass from wastewater. Sci. Rep. 2020, 10, 15928. [Google Scholar] [CrossRef]
- Nugroho, F.G.; Nizardo, N.M.; Saepudin, E. Synthesis of citric acid crosslinked PVA/tapioca starch bioplastic reinforced with grafted cellulose. AIP Conf. Proc. 2020, 2242, 040040. [Google Scholar]
- Jovanović, V.; Samaržija-Jovanović, S.; Petković, B.; Milićević, Z.; Marković, G.; Marinović-Cincović, M. Biocomposites based on cellulose and starch modified urea-formaldehyde resin: Hydrolytic, thermal, and radiation stability. Polym. Compos. 2019, 40, 1287–1294. [Google Scholar] [CrossRef]
- Kasyapi, N.; Chaudhary, V.; Bhowmick, A.K. Bionanowhiskers from jute: Preparation and characterization. Carbohydr. Polym. 2013, 92, 1116–1123. [Google Scholar] [CrossRef]
- Takacs, E.; Wojnarovits, L.; Földváry, C.; Hargittai, P.; Borsa, J.; Sajo, I. Effect of combined gamma-irradiation and alkali treatment on cotton–cellulose. Radiat. Phys. Chem. 2000, 57, 399–403. [Google Scholar] [CrossRef]
- Ameram, N.; Muhammad, S.; Yusof, N.A.A.N.; Ishak, S.; Ali, A.; Shoparwe, N.F.; Ter, T.P. Chemical composition in sugarcane bagasse: Delignification with sodium hydroxide. Malays. J. Fund. Appl. Sci. 2019, 15, 232–236. [Google Scholar] [CrossRef]
- Li, J.; Sun, F.; Li, X.; Yan, Z.; Yuan, Y.; Liu, X. Enhanced saccharification of corn straw pretreated by alkali combining crude ligninolytic enzymes. J. Chem. Technol. Biotechnol. 2012, 87, 1687–1693. [Google Scholar] [CrossRef]
- Shi, J.; Xing, D.; Lia, J. FTIR studies of the changes in wood chemistry from wood forming tissue under inclined treatment. Energy Procedia 2012, 16, 758–762. [Google Scholar] [CrossRef]
- Popescu, C.M.; Popescu, M.C.; Singurel, G.; Vasile, C.; Argyropoulos, D.S.; Willfor, S. Spectral characterization of eucalyptus wood. Appl. Spectrosc. 2007, 61, 1168–1177. [Google Scholar] [CrossRef]
- Penjumras, P.; Abdul Rahman, R.B.; Talib, R.A.; Abdan, K. Extraction and characterization of cellulose from durian rind. Agri. Agri. Sci. Proc. 2014, 2, 237–243. [Google Scholar] [CrossRef]
- Liew, F.K.; Hamdan, S.; Rahman, M.R.; Rusop, M. Thermomechanical properties of jute/bamboo cellulose composite and its hybrid composites: The effects of treatment and fiber loading. Adv. Mater. Sci. Eng. 2017, 2017, 8630749. [Google Scholar] [CrossRef]
- Mahato, D.N.; Mathur, B.K.; Bhattacherjee, S. DSC and IR methods for determination of accessibility of cellulose coir fiber and thermal degradation under mercerization. Indian J. Fiber. Text. Res. 2013, 38, 96–100. [Google Scholar]
- Kunov-Kruse, A.J.; Riisager, A.; Saravanamurugan, S.; Berg, R.W.; Kristensen, S.B.; Fehrmann, R. Revisiting the Brønsted acid catalysed hydrolysis kinetics of polymeric carbohydrates in ionic liquids by in situ ATR-FTIR spectroscopy. Green Chem. 2013, 15, 2843–2848. [Google Scholar] [CrossRef]
- Santiago Cintrón, M.; Hinchliffe, D.J. FT-IR examination of the development of secondary cell wall in cotton fibers. Fibers 2015, 3, 30–40. [Google Scholar] [CrossRef]
- Xi, L.; Zhang, M.; Zhang, L.; Lew, T.T.; Lam, Y.M. Novel materials for urban farming. Adv. Mater. 2022, 34, 2105009. [Google Scholar] [CrossRef]
- Zhuang, J.; Li, M.; Pu, Y.; Ragauskas, A.J.; Yoo, C.G. Observation of potential contaminants in processed biomass using Fourier transform infrared spectroscopy. Appl. Sci. 2020, 10, 4345. [Google Scholar] [CrossRef]
- Sadiq, M.; Khan, M.A.; Raza, M.M.H.; Zulfequar, M.; Ali, J. Improved performance of biopolymer composite electrolyte based cellulose acetate/Zinc Oxide filler for supercapacitors. Energy Environ. 2023, 2023, 0958305X231159443. [Google Scholar] [CrossRef]
- Alsaiari, N.S.; Katubi, K.M.; Alzahrani, F.M.; Amari, A.; Osman, H.; Rebah, F.B.; Tahoon, M.A. Synthesis, characterization and application of polypyrrole functionalized nanocellulose for the removal of Cr(VI) from aqueous solution. Polymers 2021, 13, 3691. [Google Scholar] [CrossRef] [PubMed]
- Hamouda, R.A.; Qarabai, F.A.K.; Shahabuddin, F.S.; Al-Shaikh, T.M.; Makharita, R.R. Antibacterial activity of ulva/nanocellulose and ulva/Ag/cellulose nanocomposites and both blended with fluoride against bacteria causing dental decay. Polymers 2023, 15, 1047. [Google Scholar] [CrossRef]
- Chinthalapudi, N.; Kommaraju, V.V.D.; Kannan, M.K.; Nalluri, C.B.; Varanasi, S. Composites of cellulose nanofibers and silver nanoparticles for malachite green dye removal from water. Carbohydr. Polym. Technol. Appl. 2021, 2, 100098. [Google Scholar] [CrossRef]
- Gatenholm, P.; Klemm, D. Bacterial nanocellulose as a renewable material for medical applications. MRS Bull. 2010, 35, 208–213. [Google Scholar] [CrossRef]
- Khan, A.; Jawaid, M.; Kian, L.K.; Khan, A.A.P.; Asiri, A.M. Isolation and production of nanocrystalline cellulose from conocarpus Fiber. Polymers 2021, 13, 1835. [Google Scholar] [CrossRef]
- Zhang, X.; Sun, H.; Tan, S.; Gao, J.; Fu, Y.; Liu, Z. Hydrothermal synthesis of Ag nanoparticles on the nanocellulose and their antibacterial study. Inorg. Chem. Commun. 2019, 100, 44–50. [Google Scholar] [CrossRef]
- Fan, L.; Zhang, H.; Gao, M.; Zhang, M.; Liu, P.; Liu, X. Cellulose nanocrystals/silver nanoparticles: In-situ preparation and application in PVA films. Holzforschung 2020, 74, 523–528. [Google Scholar] [CrossRef]
- Kumar, A.; Dixit, C.K. Methods for Characterization of Nanoparticles. In Advances in Nanomedicine for the Delivery of Therapeutic Nucleic Acids; Elsevier: Amsterdam, The Netherlands, 2017; pp. 43–58. [Google Scholar]
- Mehdaoui, R.; Chaabane, L.; Beyou, E.; Baouab, M.H.V. Sono-heterogeneous Fenton system for degradation of AB74 dye over a new tetraaza macrocyclic Schiff base cellulose ligand-loaded Fe3O4 nanoparticles. J. Iran. Chem. Soc. 2019, 16, 645–659. [Google Scholar] [CrossRef]
- Poghossian, A.A. Determination of the pHpzc of insulators surface from capacitance–voltage characteristics of MIS and EIS structures. Sens. Actuators B Chem. 1997, 44, 551–553. [Google Scholar] [CrossRef]
- Mall, I.D.; Srivastava, V.C.; Kumar, G.; Mishra, I.M. Characterization and utilization of mesoporous fertilizer plant waste carbon for adsorptive removal of dyes from aqueous solution. Colloids Surf. Physicochem. Eng. Aspects. 2006, 278, 175–187. [Google Scholar] [CrossRef]
- Boumediene, M.; Benaïssa, H.; George, B.; Molina, S.; Merlin, A. Effects of pH and ionic strength on methylene blue removal from synthetic aqueous solutions by sorption onto orange peel and desorption study. J. Mater. Environ. Sci. 2018, 9, 1700–1711. [Google Scholar]
- Rangabhashiyam, S.; Selvaraju, N. Evaluation of the biosorption potential of a novel Caryota urens inflorescence waste biomass for the removal of hexavalent chromium from aqueous solutions. J. Taiwan Inst. Chem. Eng. 2015, 47, 59–70. [Google Scholar] [CrossRef]
- Wu, X.L.; Shi, Y.; Zhong, S.; Lin, H.; Chen, J.R. Facile synthesis of Fe3O4-graphene@mesoporous SiO2 nanocomposites for efficient removal of Methylene Blue. Appl. Surf. Sci. 2016, 378, 80–86. [Google Scholar] [CrossRef]
- Abd El-Latif, M.M.; Ibrahim, A.M. Adsorption, kinetic and equilibrium studies on removal of basic dye from aqueous solutions using hydrolyzed oak sawdust. Desalin. Water Treat. 2009, 6, 252–268. [Google Scholar] [CrossRef]
- Tahir, N.; Bhatti, H.N.; Iqbal, M.; Noreen, S. Biopolymers composites with peanut hull waste biomass and application for Crystal Violet adsorption. Int. J. Biol. Macromol. 2017, 94, 210–220. [Google Scholar] [CrossRef]
- Shoukat, S.; Bhatti, H.N.; Iqbal, M.; Noreen, S. Mango stone biocomposite preparation and application for crystal violet adsorption: A mechanistic study. Microporous Mesoporous Mater. 2017, 239, 180–189. [Google Scholar] [CrossRef]
- Pandey, S.; Mishra, S.B. Organic-inorganic hybrid of chitosan/organoclay bionanocomposites for hexavalent chromium uptake. J. Colloid Interface Sci. 2011, 361, 509–520. [Google Scholar] [CrossRef]
- Wang, Y.; Wang, H.; Peng, H.; Wang, Z.; Wu, J.; Liu, Z. Dye adsorption from aqueous solution by cellulose/chitosan composite: Equilibrium, kinetics, and thermodynamics. Fibers Polym. 2018, 19, 340–349. [Google Scholar] [CrossRef]
- Lagergren, S. About the theory of so-called adsorption of soluble substances, kungliga Svenska Vetenskapsakademiens. Handlinger 1898, 24, 1–39. [Google Scholar]
- Haitham, K.; Razak, S.; Nawi, M.A. Kinetics and isotherm studies of methyl orange adsorption by a highly recyclable immobilized polyaniline on a glass plate. Arab. J. Chem. 2019, 12, 1595–1606. [Google Scholar] [CrossRef]
- Chien, S.H.; Clayton, W.R. Application of Elovich equation to the kinetics of phosphate release and sorption on soils. Soil Sci. Soc. Am. J. 1980, 44, 265–268. [Google Scholar] [CrossRef]
- Weber, T.W.; Chakkravorti, R.K. Pore and solid diffusion models for fixed-bed adsorbers. AIChE J. 1974, 20, 228–233. [Google Scholar] [CrossRef]
- Hameed, B.H. Equilibrium and kinetic studies of methyl violet sorption by agricultural waste. J. Hazard. Mater. 2008, 154, 201–202. [Google Scholar] [CrossRef] [PubMed]
- Markovska, L.; Meshko, V.; Noveski, V.; Marinovski, M. Solid diffusion control of the adsorption of basic dyes onto granular activated carbon and natural zeolite in fixed bed columns. J. Serbian Chem. Soc. 2001, 66, 463–475. [Google Scholar] [CrossRef]
- El-Guendi, M. Homogeneous surface diffusion model of basic dyestuffs onto natural clay in batch adsorbers. Adsorpt. Sci. Technol. 1991, 8, 217–225. [Google Scholar] [CrossRef]
- Freundlich, H. Over the adsorption in solution. J. Phys. Chem. 1906, 57, 1100–1107. [Google Scholar]
- Weber, W.J.; Morris, J.C. Kinetics of adsorption on carbon from solution. J. Sanit. Eng. Div. 1963, 89, 31–60. [Google Scholar] [CrossRef]
- Khalid, Q.; Khan, A.; Bhatti, H.N.; Sadaf, S.; Kausar, A.; Alissa, S.A.; Alghaith, M.K.; Iqbal, M. Cellulosic biomass biocomposites with polyaniline, polypyrrole and sodium alginate: Insecticide adsorption-desorption, equilibrium and kinetics studies. Arab. J. Chem. 2021, 14, 103227. [Google Scholar] [CrossRef]
- Hussin, M.H.; Kassim, M.J. The corrosion inhibition and adsorption behavior of Uncaria gambir extract on mild steel in 1M HCl. Mater. Chem. Phys. 2011, 125, 461–468. [Google Scholar] [CrossRef]
- Chakraborty, S.; Mukherjee, A.; Das, S.; Maddela, N.R.; Iram, S.; Das, P. Study on isotherm, kinetics, and thermodynamics of adsorption of crystal violet dye by calcium oxide modified fly ash. Environ. Eng. Res. 2021, 26, 190372. [Google Scholar] [CrossRef]
- Sultan, M.; Siddique, M.; Khan, R.; Fallatah, A.M.; Fatima, N.; Shahzadi, I.; Waheed, U.; Bilal, M.; Ali, A.; Abbasi, A.M. Ligustrum lucidum leaf extract-assisted green synthesis of silver nanoparticles and nano-adsorbents having potential in ultrasound-assisted adsorptive removal of methylene blue dye from wastewater and antimicrobial activity. Materials 2022, 15, 1637. [Google Scholar] [CrossRef] [PubMed]
- Shad, S.; Lynch, I.; Shah, S.W.H.; Bashir, N. Remediation of Water Using a Nanofabricated Cellulose Membrane Embedded with Silver Nanoparticles. Membranes 2022, 12, 1035. [Google Scholar] [CrossRef] [PubMed]
- Shi, C.; Zhang, L.; Bian, H.; Shi, Z.; Ma, J.; Wang, Z. Construction of Ag-ZnO/cellulose nanocomposites via tunable cellulose size for improving photocatalytic performance. J. Clean. Prod. 2021, 288, 125089. [Google Scholar] [CrossRef]













| Wavenumber cm−1 | PNH | PNH-OH | MCC | Ag-Cell-NCMs | Ag-Cell-NCM-Adsorbed CV | Active Groups | References |
|---|---|---|---|---|---|---|---|
| 3403 | D | −3 | −1 | −3 | −7 | Stretching vibration of –O–H | [26] |
| 2923 | D | D | D | D | −1 | Stretching vibration of –C–H and CH2 | [27] |
| 2853 | D | D | D | D | D | Aliphatic saturated C–H stretching vibration in cellulose | [28] |
| 1740 | D | ND | ND | ND | ND | Stretching vibration of C=O | [29] |
| 1638 | D | −21 | −7 | −3 | −2 | H–O–H (water adsorption) | [30] |
| 1513 | D | −4 | ND | ND | ND | C–H stretching vibration of lignin | [31] |
| 1457 | D | −2 | D | D | −2 | CH2 deformation stretching in lignin | [32] |
| 1425 | D | −5 | D | ND | ND | C–H asymmetric deformation in methoxyl | [33] |
| 1378 | D | +5 | −2 | −2 | −4 | CH of cellulose | [34] |
| 1324 | D | −4 | ND | ND | ND | CH2 bending | [35] |
| 1264 | D | +2 | ND | ND | ND | C–O stretching vibration | [36] |
| 1155 | D | +7 | +8 | +10 | +10 | C–O–C stretching vibrations | [37] |
| 1104 | D | +4 | +10 | +10 | +7 | C–O vibrational peaks from cellulosic alcohols | [38] |
| 1054 | D | D | +7 | +3 | D | C–O–C asymmetric valence vibration | [39] |
| 1036 | D | −6 | ND | ND | ND | C–O stretching, aromatic C–H in-plane deformation | [40] |
| 618 | D | ND | +2 | D | D | ClO4–1 symmetric and asymmetric stretching of the free anion | [41] |
| Kinetic Model | At 298 K |
|---|---|
| Pseudo-second-order | |
| k2 (g/mg min) | 0.0456 |
| qe-experimental (mg/g) | 7.0928 |
| qe-calculated (mg/g) | 7.2622 |
| R2 | 0.9990 |
| Isotherm Model | 298 K |
|---|---|
| Langmuir | |
| KL (L/mg) | 7.2731 |
| qm (mg/g) | 6.0570 |
| RL | 0.0091 |
| R2 | 0.9988 |
| Temperature (K) | −ΔG° (kJ/mol) | −ΔH° (kJ/mol) | ΔS° (J/mol K) |
|---|---|---|---|
| 298 | 105.5 | 49.96 | 183.4 |
| 308 | 107.4 | ||
| 318 | 109.2 |
| Adsorbent | Absorbate | %Removal | %Desorption | Equilibrium Time (min) | Ref. |
|---|---|---|---|---|---|
| Ag-NPs/CNF composites | Malachite green | 92.0 | No data available | 100 | [59] |
| Ag-NPs | Methylene blue | 70.0 | No data available | 120 | [73] |
| Ag-NPs incorporated into the cellulose membrane | Cartap (CA) pesticides | 89.7–100 | No data available | 20–45 | [74] |
| Ag-NPs incorporated into the cellulose membrane | Cypermethrin insecticide | 95.1–99.8 | No data available | 20–35 | [74] |
| Ag-ZnO support on nanocellulose | Methylene blue | 90.0 | No data available | 6 h under UV light | [75] |
| Ag-Cell-NCMs | Crystal violet | 95% | 83.4 with 1.0 M NaCl | 90 | This work |
Disclaimer/Publisher’s Note: The statements, opinions and data contained in all publications are solely those of the individual author(s) and contributor(s) and not of MDPI and/or the editor(s). MDPI and/or the editor(s) disclaim responsibility for any injury to people or property resulting from any ideas, methods, instructions or products referred to in the content. |
© 2023 by the authors. Licensee MDPI, Basel, Switzerland. This article is an open access article distributed under the terms and conditions of the Creative Commons Attribution (CC BY) license (https://creativecommons.org/licenses/by/4.0/).
Share and Cite
Aljeddani, G.S.; Alghanmi, R.M.; Hamouda, R.A. Study on the Isotherms, Kinetics, and Thermodynamics of Adsorption of Crystal Violet Dye Using Ag-NPs-Loaded Cellulose Derived from Peanut-Husk Agro-Waste. Polymers 2023, 15, 4394. https://doi.org/10.3390/polym15224394
Aljeddani GS, Alghanmi RM, Hamouda RA. Study on the Isotherms, Kinetics, and Thermodynamics of Adsorption of Crystal Violet Dye Using Ag-NPs-Loaded Cellulose Derived from Peanut-Husk Agro-Waste. Polymers. 2023; 15(22):4394. https://doi.org/10.3390/polym15224394
Chicago/Turabian StyleAljeddani, Ghalia Saleem, Reem Mohammad Alghanmi, and Ragaa A. Hamouda. 2023. "Study on the Isotherms, Kinetics, and Thermodynamics of Adsorption of Crystal Violet Dye Using Ag-NPs-Loaded Cellulose Derived from Peanut-Husk Agro-Waste" Polymers 15, no. 22: 4394. https://doi.org/10.3390/polym15224394
APA StyleAljeddani, G. S., Alghanmi, R. M., & Hamouda, R. A. (2023). Study on the Isotherms, Kinetics, and Thermodynamics of Adsorption of Crystal Violet Dye Using Ag-NPs-Loaded Cellulose Derived from Peanut-Husk Agro-Waste. Polymers, 15(22), 4394. https://doi.org/10.3390/polym15224394

