Evaluation and Improvement of Bio-Based Sustainable Resin Derived from Formic-Acid-Modified Epoxidized Soybean Oil for Packaging Applications
Abstract
:1. Introduction
2. Materials and Methods
2.1. Materials
2.2. Preparation and Epoxidation of Refined Soybean Oil
2.3. Physicochemical Analysis of Derived Epoxidized Soybean Oil (ESO)
2.3.1. Determination of Iodine Value and Oxygen Content in ESO
2.3.2. Determination of Viscosity
2.3.3. Fourier-Transform Infrared Spectroscopy (FTIR)
2.4. Preparation of Acrylate Epoxy Resin Thermoset Film
2.5. Differential Scanning Calorimeter
2.6. Tensile Analysis (TA)
2.7. Analysis of Swelling Degree and Water Solubility of the Resin Films
2.8. Opacity
3. Results and Discussion
3.1. Properties of Chemically Modified Epoxidized Soybean Oil (ESO)
3.1.1. Evolved Iodine Values, Conversion Rate, Selectivity, and Oxirane Levels of ESO Samples
3.1.2. Viscosity and pH of Epoxidized Soybean Oil Samples
3.1.3. Fourier-Transform Infrared (FTIR) Analysis
3.2. Physical Property Analysis of Epoxidized Bio-Resin (EBR) Films
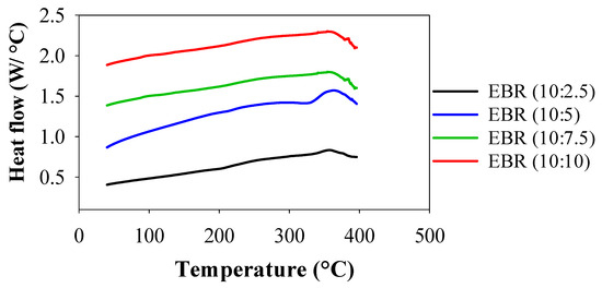
3.2.1. Thermal Assessment of EBR Films
3.2.2. Mechanical Analysis of Epoxidized Bio-Resin Films
3.2.3. Opacity and Water Resistance
4. Conclusions
Author Contributions
Funding
Institutional Review Board Statement
Data Availability Statement
Conflicts of Interest
References
- Yang, J.; Dong, X.; Wang, J.; Ching, Y.C.; Liu, J.; Li, C.; Baikeli, Y.; Li, Z.; Mohammed Al-Hada, N.; Xu, S. Synthesis and properties of bioplastics from corn starch and citric acid-epoxidized soybean oil oligomers. J. Mater. Res. Technol. 2022, 20, 373–380. [Google Scholar] [CrossRef]
- Ding, G.; Yu, X.; Si, J.J.; Mei, J.; Wang, J.; Chen, B. Influence of epoxy soybean oil modified nano-silica on the compatibility of cold-mixed epoxy asphalt. Mater. Struct. Constr. 2021, 54, 16. [Google Scholar] [CrossRef]
- Liu, T.; Shao, L.; Zhao, B.; Chang, Y.C.; Zhang, J. Progress in Chemical Recycling of Carbon Fiber Reinforced Epoxy Composites. Macromol. Rapid Commun. 2022, 43, e2200538. [Google Scholar] [CrossRef] [PubMed]
- Turco, R.; Vitiello, R.; Russo, V.; Tesser, R.; Santacesaria, E.; Di Serio, M. Selective epoxidation of soybean oil with performic acid catalyzed by acidic ionic exchange resins. Green Process. Synth. 2013, 2, 427–434. [Google Scholar] [CrossRef]
- Pappa, C.; Feghali, E.; Vanbroekhoven, K.; Triantafyllidis, K.S. Recent advances in epoxy resins and composites derived from lignin and related bio-oils. Curr. Opin. Green Sustain. Chem. 2022, 38, 100687. [Google Scholar] [CrossRef]
- Zhang, Y.; Gao, D.; Fang, D.; Yang, L.; Pang, Y.; Tang, J. Durability of graphene-modified epoxy vinyl resin served as matrix phase of composite bar in simulated concrete environment. J. Build. Eng. 2023, 68, 106106. [Google Scholar] [CrossRef]
- Freites Aguilera, A.; Rahkila, J.; Hemming, J.; Nurmi, M.; Torres, G.; Razat, T.; Tolvanen, P.; Eränen, K.; Leveneur, S.; Salmi, T. Epoxidation of Tall Oil Catalyzed by an Ion Exchange Resin under Conventional Heating and Microwave Irradiation. Ind. Eng. Chem. Res. 2020, 59, 10397–10406. [Google Scholar] [CrossRef]
- Yang, F.; Yu, H.; Deng, Y.; Xu, X. Synthesis and characterization of different soybean oil-based polyols with fatty alcohol and aromatic alcohol. E-Polymers 2021, 21, 491–499. [Google Scholar] [CrossRef]
- Hsissou, R.; Benhiba, F.; El Aboubi, M.; Abbout, S.; Benzekri, Z.; Safi, Z.; Rafik, M.; Bahaj, H.; Kaba, M.; Galai, M.; et al. Synthesis and performance of two ecofriendly epoxy resins as a highly efficient corrosion inhibition for carbon steel in 1 M HCl solution: DFT, RDF, FFV and MD approaches. Chem. Phys. Lett. 2022, 806, 139995. [Google Scholar] [CrossRef]
- Li, Y.; Jia, C.; Zhang, X.; Jiang, Y.; Zhang, M.; Lu, P.; Chen, H. Synthesis and performance of bio-based epoxy coated urea as controlled release fertilizer. Prog. Org. Coat. 2018, 119, 50–56. [Google Scholar] [CrossRef]
- Uysal, N.; Acik, G.; Tasdelen, M.A. Soybean oil based thermoset networks via photoinduced CuAAC click chemistry. Polym. Int. 2017, 66, 999–1004. [Google Scholar] [CrossRef]
- Santacesaria, E.; Turco, R.; Russo, V.; Di Serio, M.; Tesser, R. Kinetics of Soybean Oil Epoxidation in a Semibatch Reactor. Ind. Eng. Chem. Res. 2020, 59, 21700–21711. [Google Scholar] [CrossRef]
- Khundamri, N.; Aouf, C.; Fulcrand, H.; Dubreucq, E.; Tanrattanakul, V. Bio-based flexible epoxy foam synthesized from epoxidized soybean oil and epoxidized mangosteen tannin. Ind. Crops Prod. 2019, 128, 556–565. [Google Scholar] [CrossRef]
- Nabipour, H.; Niu, H.; Wang, X.; Batool, S.; Hu, Y. Fully bio-based epoxy resin derived from vanillin with flame retardancy and degradability. React. Funct. Polym. 2021, 168, 105034. [Google Scholar] [CrossRef]
- Fourati, Y.; Hassen, R.B.; Bayramoğlu, G.; Boufi, S. A one step route synthesis of polyurethane newtwork from epoxidized rapeseed oil. Prog. Org. Coat. 2017, 105, 48–55. [Google Scholar] [CrossRef]
- Thomas, J.; Patil, R. Enabling Green Manufacture of Polymer Products via Vegetable Oil Epoxides. Ind. Eng. Chem. Res. 2023, 62, 1725–1735. [Google Scholar] [CrossRef]
- Wai, P.T.; Jiang, P.; Shen, Y.; Zhang, P.; Gu, Q.; Leng, Y. Catalytic developments in the epoxidation of vegetable oils and the analysis methods of epoxidized products. RSC Adv. 2019, 9, 38119–38136. [Google Scholar] [CrossRef]
- Walther, S.; Strehmel, B.; Strehmel, V. Functionalization of an alkyd resin with (meth)acrylate groups for photoinitiated polymerization. Prog. Org. Coat. 2018, 125, 316–324. [Google Scholar] [CrossRef]
- Mou, Y.; Zhang, Y.; Cheng, H.; Peng, Y.; Chen, M. Fabrication of highly conductive and flexible printed electronics by low temperature sintering reactive silver ink. Appl. Surf. Sci. 2018, 459, 249–256. [Google Scholar] [CrossRef]
- Sobhan, A.; Ahirekar, V.; Hoff, M.; Muthukumarappan, K. Derivation and characterization of epoxidized soybean oil and epoxy resin film produced using a three step-washing neutralization process. Ind. Crops Prod. 2023, 198, 116675. [Google Scholar] [CrossRef]
- Pätzold, M.; Siebenhaller, S.; Kara, S.; Liese, A.; Syldatk, C.; Holtmann, D. Deep Eutectic Solvents as Efficient Solvents in Biocatalysis. Trends Biotechnol. 2019, 37, 943–959. [Google Scholar] [CrossRef]
- Chen, Y.; Yu, L.; Ge, X.; Liu, H.; Ali, A.; Wang, Y.; Ling, C. Preparation and characterization of edible starch film reinforced by laver. Int. J. Biol. Macromol. 2019, 126, 21. [Google Scholar] [CrossRef]
- Farrag, Y.; Malmir, S.; Montero, B.; Rico, M.; Rodríguez-llamazares, S.; Barral, L.; Bouza, R. LWT—Food Science and Technology Starch edible fi lms loaded with donut-shaped starch microparticles. LWT—Food Sci. Technol. 2018, 98, 62–68. [Google Scholar] [CrossRef]
- Sobhan, A.; Muthukumarappan, K.; Cen, Z.; Wei, L. Characterization of nanocellulose and activated carbon nanocomposite fi lms’ biosensing properties for smart packaging. Carbohydr. Polym. 2019, 225, 115189. [Google Scholar] [CrossRef] [PubMed]
- Sadegh-Hassani, F.; Mohammadi Nafchi, A. Preparation and characterization of bionanocomposite films based on potato starch/halloysite nanoclay. Int. J. Biol. Macromol. 2014, 67, 458–462. [Google Scholar] [CrossRef] [PubMed]
- Ezati, P.; Tajik, H.; Moradi, M. Fabrication and characterization of alizarin colorimetric indicator based on cellulose-chitosan to monitor the freshness of minced beef. Sens. Actuators B Chem. 2019, 285, 519–528. [Google Scholar] [CrossRef]
- Sanuja, S.; Agalya, A.; Umapathy, M.J. Synthesis and characterization of zinc oxide-neem oil-chitosan bionanocomposite for food packaging application. Int. J. Biol. Macromol. 2015, 74, 76–84. [Google Scholar] [CrossRef]
- Zhou, M.; Hu, Y.; Zhou, X.; Wen, Q.; Ye, C.; Ye, Z.; Li, P.; Yang, S.; Yang, Z. A solvent-free and scalable method to prepare alkali soluble soybean oil-based epoxy acrylic resin for photoresist application. Ind. Crops Prod. 2023, 191, 115877. [Google Scholar] [CrossRef]
- Zhao, X.L.; Liu, Y.Y.; Weng, Y.; Li, Y.D.; Zeng, J.B. Sustainable Epoxy Vitrimers from Epoxidized Soybean Oil and Vanillin. ACS Sustain. Chem. Eng. 2020, 8, 15020–15029. [Google Scholar] [CrossRef]
- Tang, Q.; Li, Q.; Pan, X.; Xi, Z.; Zhao, L. Poly(acrylated epoxidized soybean oil)-modified carbon nanotubes and their application in epoxidized soybean oil-based thermoset composites. Polym. Compos. 2021, 42, 5774–5788. [Google Scholar] [CrossRef]
- Abd El-Mohdy, H.L. Radiation synthesis of nanosilver/poly vinyl alcohol/cellulose acetate/gelatin hydrogels for wound dressing. J. Polym. Res. 2013, 20, 177. [Google Scholar] [CrossRef]
- Bahrami, A.; Rezaei Mokarram, R.; Sowti Khiabani, M.; Ghanbarzadeh, B.; Salehi, R. Physico-mechanical and antimicrobial properties of tragacanth/hydroxypropyl methylcellulose/beeswax edible films reinforced with silver nanoparticles. Int. J. Biol. Macromol. 2019, 129, 1103–1112. [Google Scholar] [CrossRef] [PubMed]
- Ortega, F.; Giannuzzi, L.; Arce, V.B.; García, M.A. Active composite starch films containing green synthetized silver nanoparticles. Food Hydrocoll. 2017, 70, 152–162. [Google Scholar] [CrossRef]
- Acik, G.; Kamaci, M.; Altinkok, C.; Karabulut, H.R.F.; Tasdelen, M.A. Synthesis and properties of soybean oil-based biodegradable polyurethane films. Prog. Org. Coat. 2018, 123, 261–266. [Google Scholar] [CrossRef]
- Hao, H.; Cheng, S.; Ren, Z.; Zhang, L.; Wang, B.; Li, N.; Bao, Q.; Feng, J.; Hu, F.; Liu, C.; et al. Rapidly and accurately determining the resin and volatile content of CF/PPBESK thermoplastic prepreg by NIR spectroscopy. Compos. Part A Appl. Sci. Manuf. 2023, 169, 107517. [Google Scholar] [CrossRef]







| Samples | Opacity (mm−1) | Swelling Degree (%) | Water Solubility (%) |
|---|---|---|---|
| EBR (10:1) | NA | NA | NA |
| EBR (10:2.5) | 0.122 ± 0.002 | 2.291 ± 0.46 | 0.762 ± 0.21 |
| EBR (10:5) | 0.172 ± 0.003 | 2.053 ± 0.01 | 0.402 ± 0.02 |
| EBR (10:7.5) | 0.170 ± 0.008 | 2.45 ± 0.32 | 0.354 ± 0.03 |
| EBR (10:10) | 0.229 ± 0.010 | 2.905 ± 0.47 | 0.294 ± 0.12 |
Disclaimer/Publisher’s Note: The statements, opinions and data contained in all publications are solely those of the individual author(s) and contributor(s) and not of MDPI and/or the editor(s). MDPI and/or the editor(s) disclaim responsibility for any injury to people or property resulting from any ideas, methods, instructions or products referred to in the content. |
© 2023 by the authors. Licensee MDPI, Basel, Switzerland. This article is an open access article distributed under the terms and conditions of the Creative Commons Attribution (CC BY) license (https://creativecommons.org/licenses/by/4.0/).
Share and Cite
Sobhan, A.; Saedi, S.; Hoff, M.; Liang, Y.; Muthukumarappan, K. Evaluation and Improvement of Bio-Based Sustainable Resin Derived from Formic-Acid-Modified Epoxidized Soybean Oil for Packaging Applications. Polymers 2023, 15, 4255. https://doi.org/10.3390/polym15214255
Sobhan A, Saedi S, Hoff M, Liang Y, Muthukumarappan K. Evaluation and Improvement of Bio-Based Sustainable Resin Derived from Formic-Acid-Modified Epoxidized Soybean Oil for Packaging Applications. Polymers. 2023; 15(21):4255. https://doi.org/10.3390/polym15214255
Chicago/Turabian StyleSobhan, Abdus, Shahab Saedi, Magdalene Hoff, Yaohua Liang, and Kasiviswanathan Muthukumarappan. 2023. "Evaluation and Improvement of Bio-Based Sustainable Resin Derived from Formic-Acid-Modified Epoxidized Soybean Oil for Packaging Applications" Polymers 15, no. 21: 4255. https://doi.org/10.3390/polym15214255
APA StyleSobhan, A., Saedi, S., Hoff, M., Liang, Y., & Muthukumarappan, K. (2023). Evaluation and Improvement of Bio-Based Sustainable Resin Derived from Formic-Acid-Modified Epoxidized Soybean Oil for Packaging Applications. Polymers, 15(21), 4255. https://doi.org/10.3390/polym15214255

