Effect of Graphene Oxide-Modified CaAl-Layered Double Hydroxides on the Carbon Dioxide Permeation Properties of Fluoroelastomers
Abstract
:1. Introduction
2. Experimental
2.1. Materials
2.2. Preparation of Layered LDH-Ca2Al and GO/LDH-Ca2Al
2.3. CO2 Resistance Stability Testing of LDH-Ca2Al and GO/LDH-Ca2Al
2.4. Preparation of FKM/GO/LDH-Ca2Al and FKM/LDH-Ca2Al Composites
2.5. Characterization
3. Results and Discussion
3.1. Fourier Transform Infrared (FTIR) Spectroscopy
3.2. XRD Analysis of LDH-Ca2Al and GO/LDH-Ca2Al
3.3. Structural Characteristics of LDH-Ca2Al and GO/LDH-Ca2Al
3.4. Thermal Stability of GO, LDH-Ca2Al, and GO/LDH-Ca2Al
3.5. Carbon Dioxide Resistance Stability of LDH-Ca2Al and GO/LDH-Ca2Al
3.6. Interfacial Interactions of FKM Matrix with LDH-Ca2Al and GO/LDH-Ca2Al
3.7. Gas Barrier Properties of FKM/LDH-Ca2Al and FKM/GO/LDH-Ca2Al Composites
3.7.1. Effect of Filler Content on the Gas Barrier Properties of FKM/LDH-Ca2Al and FKM/GO/LDH-Ca2Al Composites
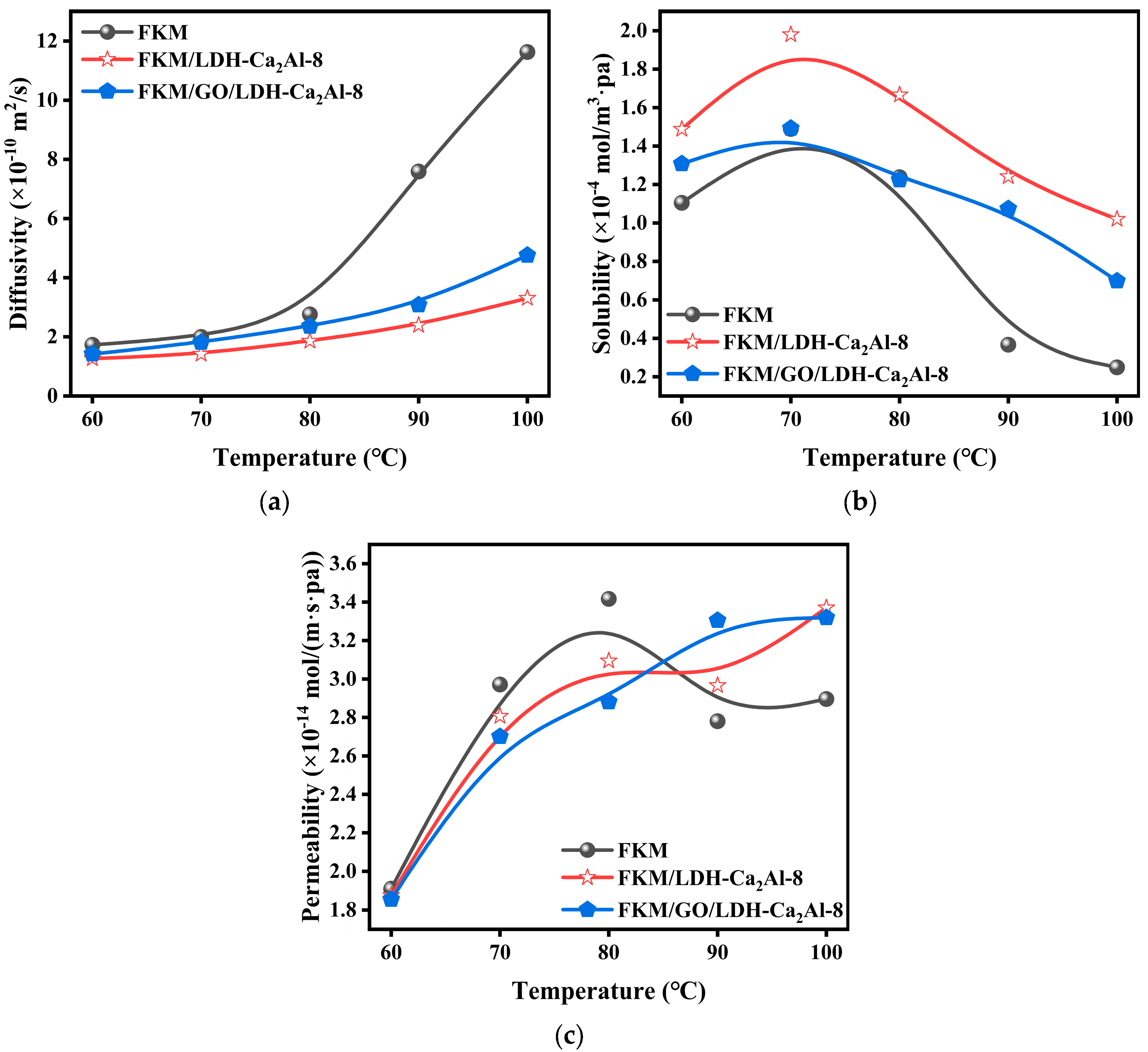
3.7.2. Effect of Temperature on the Gas Barrier Properties of FKM/LDH-Ca2Al and FKM/GO/LDH-Ca2Al Composites
3.8. Mechanical Properties of FKM/LDH-Ca2Al and FKM/GO/LDH-Ca2Al Nanocomposites
4. Conclusions
Supplementary Materials
Author Contributions
Funding
Institutional Review Board Statement
Data Availability Statement
Conflicts of Interest
References
- Moreira, D.; Pires, J.C.M. Atmospheric CO2 capture by algae: Negative carbon dioxide emission path. Bioresour. Technol. 2016, 215, 371–379. [Google Scholar] [CrossRef] [PubMed]
- Dai, Z.; Viswanathan, H.; Middleton, R.; Pan, F.; Ampomah, W.; Yang, C.; Jia, W.; Xiao, T.; Lee, S.Y.; McPherson, B.; et al. CO2 Accounting and Risk Analysis for CO2 Sequestration at Enhanced Oil Recovery Sites. Environ. Sci. Technol. 2016, 50, 7546–7554. [Google Scholar] [CrossRef]
- Sethulekshmi, A.S.; Saritha, A.; Joseph, K. A comprehensive review on the recent advancements in natural rubber nanocomposites. Int. J. Biol. Macromol. 2022, 194, 819–842. [Google Scholar] [CrossRef]
- Gent, A.N. Rubber Elasticity: Basic Concepts and Behavior. In The Science and Technology of Rubber; Academic Press: New York, NY, USA, 2013; pp. 1–26. [Google Scholar]
- Guo, B.; Tang, Z.; Zhang, L. Transport performance in novel elastomer nanocomposites: Mechanism, design and control. Prog. Polym. Sci. 2016, 61, 29–66. [Google Scholar] [CrossRef]
- Zhang, C.; An, X.; Tang, Z.; Fang, S.; Guo, B.; Zhang, L.; Liu, F.; Liu, J.; Chen, Z. Creation of Tortuosity in Unfilled Rubber via Heterogeneous Cross-Linking toward Improved Barrier Property. Macromolecules 2021, 54, 11522–11532. [Google Scholar] [CrossRef]
- Pradhan, B.; Srivastava, S.K.; Bhowmick, A.K.; Saxena, A. Effect of bilayered stearate ion-modified Mg—Al layered double hydroxide on the thermal and mechanical properties of silicone rubber nanocomposites. Polym. Int. 2012, 61, 458–465. [Google Scholar] [CrossRef]
- Laskowska, A.; Zaborski, M.; Boiteux, G.; Gain, O.; Marzec, A.; Maniukiewicz, W. Ionic elastomers based on carboxylated nitrile rubber (XNBR) and magnesium aluminum layered double hydroxide (hydrotalcite). Express Polym. Lett. 2014, 8, 374–386. [Google Scholar] [CrossRef]
- Wang, X.; Zhang, Y.; Li, K.; Kang, Q.; He, Q. Study on the effect of layered double hydroxide on the mechanical and thermal properties of nitrile butadiene rubber. J. Appl. Polym. Sci. 2023, 140, e54257. [Google Scholar] [CrossRef]
- Scherillo, G.; Lavorgna, M.; Buonocore, G.G.; Zhan, Y.H.; Xia, H.S.; Mensitieri, G.; Ambrosio, L. Tailoring assembly of reduced graphene oxide nanosheets to control gas barrier properties of natural rubber nanocomposites. ACS Appl. Mater. Interfaces 2014, 6, 2230–2234. [Google Scholar] [CrossRef]
- Raef, M.; Razzaghi-Kashani, M. The role of interface in gas barrier properties of styrene butadiene rubber-reduced graphene oxide composites. Polymer 2019, 182, 121816. [Google Scholar] [CrossRef]
- Wolf, C.; Angellier-Coussy, H.; Gontard, N.; Doghieri, F.; Guillard, V. How the shape of fillers affects the barrier properties of polymer/non-porous particles nanocomposites: A review. J. Membr. Sci. 2018, 556, 393–418. [Google Scholar] [CrossRef]
- Mohd Sidek, H.B.; Jo, Y.K.; Kim, I.Y.; Hwang, S.-J. Stabilization of Layered Double Oxide in Hybrid Matrix of Graphene and Layered Metal Oxide Nanosheets: An Effective Way to Explore Efficient CO2 Adsorbent. J. Phys. Chem. C 2016, 120, 23421–23429. [Google Scholar] [CrossRef]
- Goh, K.H.; Lim, T.T.; Dong, Z. Application of layered double hydroxides for removal of oxyanions: A review. Water Res. 2008, 42, 1343–1368. [Google Scholar] [CrossRef]
- Zhang, R.; Ai, Y.; Lu, Z. Application of Multifunctional Layered Double Hydroxides for Removing Environmental Pollutants: Recent Experimental and Theoretical Progress. J. Environ. Chem. Eng. 2020, 8, 103908. [Google Scholar] [CrossRef]
- Sideris, P.J.; Nielsen, U.G.; Gan, Z.; Grey, C.P. Mg/Al ordering in layered double hydroxides revealed by multinuclear NMR spectroscopy. Science 2008, 321, 113–117. [Google Scholar] [CrossRef] [PubMed]
- Lu, X.; Xue, H.; Gong, H.; Bai, M.; Tang, D.; Ma, R.; Sasaki, T. 2D Layered Double Hydroxide Nanosheets and Their Derivatives toward Efficient Oxygen Evolution Reaction. Nanomicro. Lett. 2020, 12, 86. [Google Scholar] [CrossRef] [PubMed]
- Qu, J.; Zhong, L.; Li, Z.; Chen, M.; Zhang, Q.; Liu, X. Effect of anion addition on the syntheses of Ca–Al layered double hydroxide via a two-step mechanochemical process. Appl. Clay Sci. 2016, 124–125, 267–270. [Google Scholar] [CrossRef]
- Zheng, L.; Jerrams, S.; Xu, Z.; Zhang, L.; Liu, L.; Wen, S. Enhanced gas barrier properties of graphene oxide/rubber composites with strong interfaces constructed by graphene oxide and sulfur. Chem. Eng. J. 2020, 383, 123100. [Google Scholar] [CrossRef]
- Long, X.; Li, J.; Xiao, S.; Yan, K.; Wang, Z.; Chen, H.; Yang, S. A strongly coupled graphene and FeNi double hydroxide hybrid as an excellent electrocatalyst for the oxygen evolution reaction. Angew. Chem. Int. Ed. Engl. 2014, 53, 7584–7588. [Google Scholar] [CrossRef]
- Jia, Y.; Zhang, L.; Gao, G.; Chen, H.; Wang, B.; Zhou, J.; Soo, M.T.; Hong, M.; Yan, X.; Qian, G.; et al. A Heterostructure Coupling of Exfoliated Ni-Fe Hydroxide Nanosheet and Defective Graphene as a Bifunctional Electrocatalyst for Overall Water Splitting. Adv. Mater. 2017, 29, 1700017. [Google Scholar] [CrossRef]
- Chen, S.; Duan, J.; Jaroniec, M.; Qiao, S.Z. Three-dimensional N-doped graphene hydrogel/NiCo double hydroxide electrocatalysts for highly efficient oxygen evolution. Angew. Chem. Int. Ed. Engl. 2013, 52, 13567–13570. [Google Scholar] [CrossRef]
- Mostovoy, A.S.; Yakovlev, A.V.; Lopukhova, M.I. Directional control of physico-chemical and mechanical properties of epoxide composites by the addition of graphite-graphene structures. Polym.-Plast. Technol. Mater. 2019, 59, 874–883. [Google Scholar] [CrossRef]
- Wang, L.; Fu, W.; Peng, W. Enhanced strength and toughness of polyurethane rubber by introducing hydrogen bond sacrificial units at rubber-graphene interfaces. Polym. Compos. 2019, 41, 1242–1254. [Google Scholar] [CrossRef]
- Li, J.; Zhang, P.; Chen, L.; Li, G.; Chen, H.; Jia, C.; Wu, Y.; Chen, M.; Zhao, X.; Song, P. Strong, tough and healable elastomer nanocomposites enabled by a hydrogen-bonded supramolecular network. Compos. Commun. 2020, 22, 100530. [Google Scholar] [CrossRef]
- Zhou, S.; Liu, L.; Hu, S.; Wen, S. Properties of LDHs/ENR/SBR Gas Barrier Composites. China Rubber Ind. 2019, 66, 284. [Google Scholar] [CrossRef]
- Rooj, S.; Das, A.; Heinrich, G. Tube-like natural halloysite/fluoroelastomer nanocomposites with simultaneous enhanced mechanical, dynamic mechanical and thermal properties. Eur. Polym. J. 2011, 47, 1746–1755. [Google Scholar] [CrossRef]
- Silva, A.F.d.; Duarte, J.L.d.S.; Meili, L. Different routes for MgFe/LDH synthesis and application to remove pollutants of emerging concern. Sep. Purif. Technol. 2021, 264, 118353. [Google Scholar] [CrossRef]
- Zhang, J.; Lin, Z.; Lan, Y.; Ren, G.; Chen, D.; Huang, F.; Hong, M. A multistep oriented attachment kinetics: Coarsening of ZnS nanoparticle in concentrated NaOH. J. Am. Chem. Soc. 2006, 128, 12981–12987. [Google Scholar] [CrossRef] [PubMed]
- He, F.; Yang, Z.; Zhao, F.; Repo, E.; Yang, W.; Liao, Q.; Si, M.; Zou, B.; Lin, Z. Unveiling the dual roles of the intercalation of [MoS4]2− clusters in boosting heavy metal capture by Ca–Al layered double hydroxide. Environ. Sci. Nano 2023, 10, 190–202. [Google Scholar] [CrossRef]
- Li, D.; Muller, M.B.; Gilje, S.; Kaner, R.B.; Wallace, G.G. Processable aqueous dispersions of graphene nanosheets. Nat. Nanotechnol. 2008, 3, 101–105. [Google Scholar] [CrossRef]
- ISO 2782-1:2022; Rubber, Vulcanized or Thermoplastic—Determination of Permeability to Gases—Part 1: Differential-Pressure Methods. The International Organization for Standardization: Geneva, Switzerland, 2022.
- GB/T 528-2009; Rubber, Vulcanized or Thermoplastic—Determination of Tensile Stress-Strain Properties. National Standards of the People’s Republic of China: Beijing, China, 2009.
- ISO 7619-1:2010; Rubber, Vulcanized or Thermoplastic—Determination of Indentation Hardness—Part 1: Durometer Method (Shore Hardness). The International Organization for Standardization: Geneva, Switzerland, 2010.
- Yang, X.; Li, Q.; Li, Z.; Xu, X.; Liu, H.; Shang, S.; Song, Z. Preparation and Characterization of Room-Temperature-Vulcanized Silicone Rubber Using Acrylpimaric Acid-Modified Aminopropyltriethoxysilane as a Cross-Linking Agent. ACS Sustain. Chem. Eng. 2019, 7, 4964–4974. [Google Scholar] [CrossRef]
- ASTM D6814-02; Standard Test Method for Determination of Percent Devulcanization of Crumb Rubber Based on Crosslink Density. ASTM: West Conshohocken, PA, USA, 2018. [CrossRef]
- Sathi, S.G.; Jang, J.Y.; Jeong, K.U.; Nah, C. Thermally stable bromobutyl rubber with a high crosslinking density based on a 4,4′-bismaleimidodiphenylmethane curing agent. J. Appl. Polym. Sci. 2016, 133, 44092. [Google Scholar] [CrossRef]
- Sarath, P.S.; Thomas, S.; Haponiuk, J.T.; George, S.C. Fabrication, characterization and properties of silane functionalized graphene oxide/silicone rubber nanocomposites. J. Appl. Polym. Sci. 2022, 139, e52299. [Google Scholar] [CrossRef]
- Yap, P.L.; Kabiri, S.; Tran, D.N.H.; Losic, D. Multifunctional Binding Chemistry on Modified Graphene Composite for Selective and Highly Efficient Adsorption of Mercury. ACS Appl. Mater. Interfaces 2019, 11, 6350–6362. [Google Scholar] [CrossRef]
- Costa, M.C.F.; Marangoni, V.S.; Ng, P.R.; Nguyen, H.T.L.; Carvalho, A.; Castro Neto, A.H. Accelerated Synthesis of Graphene Oxide from Graphene. Nanomaterials 2021, 11, 551. [Google Scholar] [CrossRef]
- Jadam, M.L.; Syed Mohamad, S.A.; Zaki, H.M.; Jubri, Z.; Sarijo, S.H. Antibacterial activity and physicochemical characterization of calcium-aluminium-ciprofloxacin-layered double hydroxide. J. Drug Deliv. Sci. Technol. 2021, 62, 102314. [Google Scholar] [CrossRef]
- Pérez-Barrado, E.; Pujol, M.C.; Aguiló, M.; Cesteros, Y.; Díaz, F.; Pallarès, J.; Marsal, L.F.; Salagre, P. Fast aging treatment for the synthesis of hydrocalumites using microwaves. Appl. Clay Sci. 2013, 80–81, 313–319. [Google Scholar] [CrossRef]
- Santos, V.H.J.M.d.; Pontin, D.; Ponzi, G.G.D.; Stepanha, A.S.d.G.e.; Martel, R.B.; Schütz, M.K.; Einloft, S.M.O.; Dalla Vecchia, F. Application of Fourier Transform infrared spectroscopy (FTIR) coupled with multivariate regression for calcium carbonate (CaCO3) quantification in cement. Constr. Build. Mater. 2021, 313, 125413. [Google Scholar] [CrossRef]
- Song, F.; Hu, X. Exfoliation of layered double hydroxides for enhanced oxygen evolution catalysis. Nat. Commun. 2014, 5, 4477. [Google Scholar] [CrossRef] [PubMed]
- Mehetre, S.S.; Maktedar, S.S.; Singh, M. Understanding the mechanism of surface modification through enhanced thermal and electrochemical stabilities of N-doped graphene oxide. Appl. Surf. Sci. 2016, 366, 514–522. [Google Scholar] [CrossRef]
- Zheng, L.; Xia, S.; Lu, X.; Hou, Z. Transesterification of glycerol with dimethyl carbonate over calcined Ca-Al hydrocalumite. Chin. J. Catal. 2015, 36, 1759–1765. [Google Scholar] [CrossRef]
- Golemme, G.; Santaniello, A. Perfluoropolymer/Molecular Sieve Mixed-Matrix Membranes. Membranes 2019, 9, 19. [Google Scholar] [CrossRef] [PubMed]
- Matteucci, S.; Kusuma, V.A.; Swinnea, S.; Freeman, B.D. Gas permeability, solubility and diffusivity in 1,2-polybutadiene containing brookite nanoparticles. Polymer 2008, 49, 757–773. [Google Scholar] [CrossRef]
- Matteucci, S.; Kusuma, V.A.; Sanders, D.; Swinnea, S.; Freeman, B.D. Gas transport in TiO2 nanoparticle-filled poly(1-trimethylsilyl-1-propyne). J. Membr. Sci. 2008, 307, 196–217. [Google Scholar] [CrossRef]
- Merkel, T.C.; Freeman, B.D.; Spontak, R.J.; He, Z.; Pinnau, I.; Meakin, P.; Hill, A.J. Ultrapermeable, Reverse-Selective Nanocomposite Membranes. Science 2002, 296, 519–522. [Google Scholar] [CrossRef]
- Song, K. Interphase characterization in rubber nanocomposites. In Progress in Rubber Nanocomposites; Elsevier: Amsterdam, The Netherlands, 2017; pp. 115–152. [Google Scholar]
- He, S.-J.; Wang, Y.-Q.; Feng, Y.-P.; Liu, Q.-S.; Zhang, L.-Q. The preparation of an elastomer/silicate layer nanocompound with an exfoliated structure and a strong ionic interfacial interaction by utilizing an elastomer latex containing pyridine groups. Nanotechnology 2010, 21, 115601. [Google Scholar] [CrossRef]
- Chen, H.; Li, Y.; Wang, S.; Li, Y.; Zhou, Y. Highly ordered structured montmorillonite/brominated butyl rubber nanocomposites: Dramatic enhancement of the gas barrier properties by an external magnetic field. J. Membr. Sci. 2018, 546, 22–30. [Google Scholar] [CrossRef]
- Gatos, K.G.; Karger-Kocsis, J. Effect of the aspect ratio of silicate platelets on the mechanical and barrier properties of hydrogenated acrylonitrile butadiene rubber (HNBR)/layered silicate nanocomposites. Eur. Polym. J. 2007, 43, 1097–1104. [Google Scholar] [CrossRef]
- Choudalakis, G.; Gotsis, A.D. Free volume and mass transport in polymer nanocomposites. Curr. Opin. Colloid Interface Sci. 2012, 17, 132–140. [Google Scholar] [CrossRef]
- Srithawatpong, R.; Peng, Z.L.; Olson, B.G.; Jamieson, A.M.; Simha, R.; McGervey, J.D.; Maier, T.R.; Halasa, A.F.; Ishida, H. Positron annihilation lifetime studies of changes in free volume on cross-linking cis-polyisoprene, high-vinyl polybutadiene, and their miscible blends. J. Polym. Sci. Part B Polym. Phys. 1999, 37, 2754–2770. [Google Scholar] [CrossRef]
- Beall, G. New conceptual model for interpreting nanocomposite behavior. In Polymer–Clay Nanocomposites; Wiley: Hoboken, NJ, USA, 2000; pp. 267–279. [Google Scholar]
- Choudalakis, G.; Gotsis, A.D. Permeability of polymer/clay nanocomposites: A review. Eur. Polym. J. 2009, 45, 967–984. [Google Scholar] [CrossRef]
- Jung, J.K.; Baek, U.B.; Lee, S.H.; Choi, M.C.; Bae, J.W. Hydrogen gas permeation in peroxide-crosslinked ethylene propylene diene monomer polymer composites with carbon black and silica fillers. J. Polym. Sci. 2023, 61, 460–471. [Google Scholar] [CrossRef]
- Jung, J.K.; Lee, C.H.; Baek, U.B.; Choi, M.C.; Bae, J.W. Filler Influence on H(2) Permeation Properties in Sulfur-CrossLinked Ethylene Propylene Diene Monomer Polymers Blended with Different Concentrations of Carbon Black and Silica Fillers. Polymers 2022, 14, 592. [Google Scholar] [CrossRef] [PubMed]
- Smith, A.P.; Crossley, S.D.; Gruber, T.C. Computational Investigation of the Effects of Spherical Filler Morphology and Loading on Diffusion Tortuosity and Rubber Permeability. Rubber Chem. Technol. 2013, 86, 175–189. [Google Scholar] [CrossRef]
- Cui, Y.; Kundalwal, S.I.; Kumar, S. Gas barrier performance of graphene/polymer nanocomposites. Carbon 2016, 98, 313–333. [Google Scholar] [CrossRef]
- Yoo, B.M.; Shin, H.J.; Yoon, H.W.; Park, H.B. Graphene and graphene oxide and their uses in barrier polymers. J. Appl. Polym. Sci. 2014, 131, 39628. [Google Scholar] [CrossRef]











| Samples | FKM 246 | LUPEROX 101XL-50 | TAIC | LDH-Ca2Al a | GO/LDH-Ca2Al a |
|---|---|---|---|---|---|
| FKM | 100 | 5 | 5 | ||
| FKM/LDH-Ca2Al-5 | 100 | 5 | 5 | 5 | 5 |
| FKM/LDH-Ca2Al-8 | 100 | 5 | 5 | 8 | |
| FKM/LDH-Ca2Al-10 | 100 | 5 | 5 | 10 | |
| FKM/GO/LDH-Ca2Al-5 | 100 | 5 | 5 | 5 | |
| FKM/GO/LDH-Ca2Al-8 | 100 | 5 | 5 | 8 | |
| FKM/GO/LDH-Ca2Al-10 | 100 | 5 | 5 | 10 |
| Sample | Content (CaCO3) (%) |
|---|---|
| LDH-Ca2Al | 0.23 |
| GO/LDH-Ca2Al | 5.97 |
| S-LDH-Ca2Al | 59.94 |
| S-GO/LDH-Ca2Al | 2.37 |
| Sample | φ (%) | Tg (°C) | |||
|---|---|---|---|---|---|
| FKM | 1.480 | - | - | - | 3.3 |
| FKM/LDH-Ca2Al-8 | - | 1.396 | 8.254 | 0.487 | 4.9 |
| FKM/GO/LDH-Ca2Al-8 | - | 1.404 | 6.88 | 0.528 | 5.6 |
| Sample | Activation Energy of D(ΔE) a | Activation Energy of S(ΔH) a | ||||||
|---|---|---|---|---|---|---|---|---|
| b | c | |||||||
| FKM | 2.6 × 10−2 | −52.8 | - | - | 1.8 × 10−11 | 44.5 | - | - |
| FKM/LDH-Ca2Al-8 | 1.0 × 10−6 | −25.2 | 22.4 | 5.2 | 2.2 × 10−6 | 44.5 | −32.2 | - |
| FKM/GO/LDH-Ca2Al-8 | 7.7 × 10−6 | −30.4 | 22.4 | - | 4.7 × 10−7 | 44.5 | −32.2 | 3.8 |
| Sample | 100% Modulus, E100(MPa) | Tensile Strength, σb (MPa) | Strain at Break, εb (%) | Shore A Hardness |
|---|---|---|---|---|
| FKM | 1.5 ± 0.1 | 9.6 ± 1.1 | 251 ± 17 | 50 ± 1 |
| FKM/LDH-Ca2Al-5 | 2.1 ± 0.2 | 7.3 ± 0.2 | 215 ± 18 | 55 ± 1 |
| FKM/LDH-Ca2Al-8 | 2.3 ± 0.08 | 9.9 ± 1.1 | 260 ± 19 | 56 ± 1 |
| FKM/LDH-Ca2Al-10 | 2.4 ± 0.03 | 10.8 ± 0.6 | 254 ± 8 | 58 ± 1 |
| FKM/GO/LDH-Ca2Al-5 | 2.3 ± 0.01 | 9.2 ± 0.5 | 238 ± 10 | 55 ± 1 |
| FKM/GO/LDH-Ca2Al-8 | 2.2 ± 0.03 | 10.6 ± 0.8 | 270 ± 12 | 56 ± 1 |
| FKM/GO/LDH-Ca2Al-10 | 2.4 ± 0.08 | 11.1 ± 0.6 | 287 ± 8 | 57 ± 1 |
Disclaimer/Publisher’s Note: The statements, opinions and data contained in all publications are solely those of the individual author(s) and contributor(s) and not of MDPI and/or the editor(s). MDPI and/or the editor(s) disclaim responsibility for any injury to people or property resulting from any ideas, methods, instructions or products referred to in the content. |
© 2023 by the authors. Licensee MDPI, Basel, Switzerland. This article is an open access article distributed under the terms and conditions of the Creative Commons Attribution (CC BY) license (https://creativecommons.org/licenses/by/4.0/).
Share and Cite
Cong, C.; Peng, D.; Liu, Q.; Yuan, M.; Meng, X.; Zhou, Q. Effect of Graphene Oxide-Modified CaAl-Layered Double Hydroxides on the Carbon Dioxide Permeation Properties of Fluoroelastomers. Polymers 2023, 15, 4151. https://doi.org/10.3390/polym15204151
Cong C, Peng D, Liu Q, Yuan M, Meng X, Zhou Q. Effect of Graphene Oxide-Modified CaAl-Layered Double Hydroxides on the Carbon Dioxide Permeation Properties of Fluoroelastomers. Polymers. 2023; 15(20):4151. https://doi.org/10.3390/polym15204151
Chicago/Turabian StyleCong, Chuanbo, Daigang Peng, Qingkun Liu, Mingyang Yuan, Xiaoyu Meng, and Qiong Zhou. 2023. "Effect of Graphene Oxide-Modified CaAl-Layered Double Hydroxides on the Carbon Dioxide Permeation Properties of Fluoroelastomers" Polymers 15, no. 20: 4151. https://doi.org/10.3390/polym15204151
APA StyleCong, C., Peng, D., Liu, Q., Yuan, M., Meng, X., & Zhou, Q. (2023). Effect of Graphene Oxide-Modified CaAl-Layered Double Hydroxides on the Carbon Dioxide Permeation Properties of Fluoroelastomers. Polymers, 15(20), 4151. https://doi.org/10.3390/polym15204151

