Dynamic Response and Deformative Mechanism of the Shape Memory Polymer Filled with Low-Melting-Point Alloy under Different Dynamic Loads
Abstract
1. Introduction
2. Experimental Section
2.1. Materials
2.2. Synthesis of EP and LMPA/EP Composites
2.3. Characterizations
2.3.1. DMA Tests
2.3.2. Split Hopkinson Pressure Bar Tests
2.3.3. SEM Tests
3. Results and Discussion
3.1. Shape Memory Effect (SME)
3.2. Storage Modulus
3.3. Dynamic Mechanical Response at Different Strain Rates
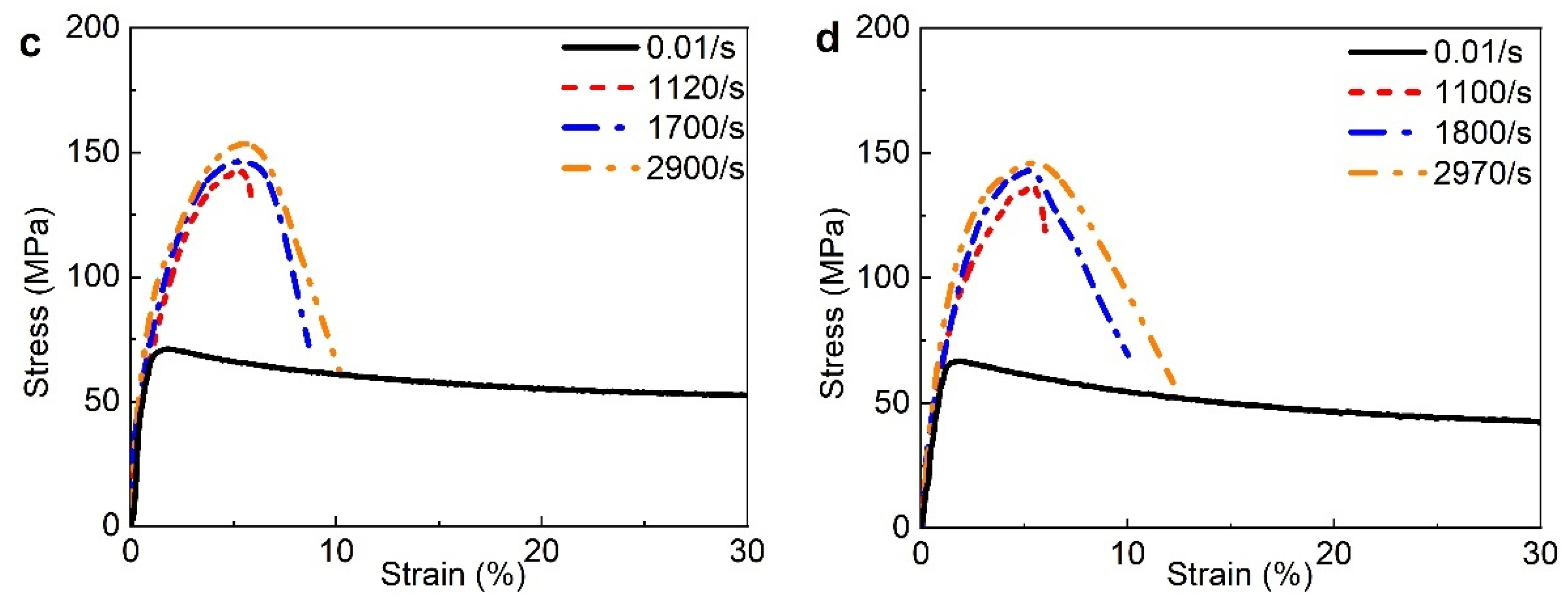
3.3.1. Stress–Strain Curves at Various Strain Rates
3.3.2. Macroscopic Failure Modes and SEM Characterization
3.4. Discussions
3.4.1. The Influence of the LMPA on the SME of LMPA/EP Composites
3.4.2. The Influence of the LMPA on the Failure Mechanism of LMPA/EP Composites
4. Conclusions
Author Contributions
Funding
Institutional Review Board Statement
Informed Consent Statement
Data Availability Statement
Acknowledgments
Conflicts of Interest
References
- Hornat, C.C.; Urban, M.W. Shape memory effects in self-healing polymers. Prog. Polym. Sci. 2020, 102, 101208. [Google Scholar] [CrossRef]
- Liu, Y.Y.; Zhao, J.L.; Zhao, Y.; Zhao, W.W.; Zhang, H.; Zhang, Z. High Performance shape memory epoxy/carbon nanotube nanocomposites. ACS Appl. Mater. Inter. 2016, 8, 311–320. [Google Scholar] [CrossRef] [PubMed]
- Zhang, Y.L.; Zhou, S.W.; Chong, K.C.; Wang, S.W.; Liu, B. Near-infrared light-induced shape memory, self-healable and anti-bacterial elastomers prepared by incorporation of a diketopyrrolopyrrole-based conjugated polymer. Mater. Chem. Front. 2019, 3, 836–841. [Google Scholar] [CrossRef]
- Wang, W.X.; Liu, D.Y.; Liu, Y.J.; Leng, J.S.; Bhattacharyya, D. Electrical actuation properties of reduced graphene oxide paper/epoxy-based shape memory composites. Compos. Sci. Tech. 2015, 106, 20–24. [Google Scholar] [CrossRef]
- Lu, H.B.; Lei, M.; Leng, J.S. Significantly improving electro-activated shape recovery performance of shape memory nanocomposite by self-assembled carbon nanofiber and hexagonal boron nitride. J. Appl. Polym. Sci. 2014, 131, 40506. [Google Scholar] [CrossRef]
- Ze, Q.J.; Kuang, X.; Wu, S.; Wong, J.S.; Montgomery, M.; Zhang, R.D.; Kovitz, J.M.; Yang, F.Y.; Qi, H.J.; Zhao, R. Magnetic shape memory polymers with integrated multifunctional shape manipulation. Adv. Mater. 2020, 32, 1906657. [Google Scholar] [CrossRef]
- Yan, W.Q.; Ding, Y.; Zhang, R.; Luo, X.J.; Sheng, P.H.; Xue, P.; He, J.M. Dual-functional polymer blends with rapid thermo-responsive shape memory and repeatable self-healing properties. Polymer 2022, 239, 124436. [Google Scholar] [CrossRef]
- Lewis, C.L.; Dell, E.M. A review of shape memory polymers bearing reversible binding groups. J. Polym. Sci. B Polym. Phys. 2016, 54, 1340–1364. [Google Scholar] [CrossRef]
- Hu, W.Q.; Lum, G.Z.; Mastrangeli, M.; Sitti, M. Small-scale soft-bodied robot with multimodal locomotion. Nature 2018, 554, 81–85. [Google Scholar] [CrossRef]
- Kobayashi, K.; Yoon, C.K.; Oh, S.H.; Pagaduan, J.V.; Gracias, D.H. Biodegradable thermomagnetically responsive soft untethered grippers. ACS Appl. Mater. Inter. 2018, 11, 151–159. [Google Scholar] [CrossRef]
- Liu, T.Z.; Zhou, T.Y.; Yao, Y.T.; Zhang, F.H.; Liu, L.W.; Liu, Y.J.; Leng, J.S. Stimulus methods of multi-functional shape memory polymer nanocomposites: A review. Compos. Part A Appl. Sci. Manuf. 2017, 100, 20–30. [Google Scholar] [CrossRef]
- Abavisani, I.; Rezaifar, O.; Kheyroddin, A. Multifunctional properties of shape memory materials in civil engineering applications: A state-of-the-art review. J. Build. Eng. 2021, 44, 102657. [Google Scholar] [CrossRef]
- Li, J.; Duan, Q.H.; Zhang, E.H.; Wang, J.L. Applications of shape memory polymers in kinetic buildings. Adv. Mater. Sci. Eng. 2018, 2018, 7453698. [Google Scholar] [CrossRef]
- Huang, Y.N.; Fan, L.F.; Rong, M.Z.; Ming, Q.Z.; Gao, Y.M. External stress-free reversible multiple shape memory polymers. ACS Appl. Mater. Inter. 2019, 11, 31346–31355. [Google Scholar] [CrossRef]
- Buckner, T.L.; Yuen, M.C.; Kim, S.Y.; Bottiglio, R.K. Enhanced variable stiffness and variable stretchability enabled by phase-changing particulate additives. Adv. Funct. Mater. 2019, 29, 1903368. [Google Scholar] [CrossRef]
- Zhao, F.; Zheng, X.Y.; Zhou, S.C.; Zhou, B.; Xue, S.F.; Zhang, Y. Constitutive model for epoxy shape memory polymer with regulable phase transition temperature. Int. J. Smart Nano Mater. 2021, 12, 72–87. [Google Scholar] [CrossRef]
- Li, F.F.; Liu, L.W.; Lan, X.; Zhou, X.J.; Bian, W.F.; Liu, Y.J.; Leng, J.S. Preliminary design and analysis of a cubic deployable support structure based on shape memory polymer composite. Int. J. Smart Nano Mater. 2016, 7, 106–118. [Google Scholar] [CrossRef]
- Fu, C.Y.; Chuang, W.T.; Hsu, S. A biodegradable chitosan-polyurethane cryogel with switchable shape memory. ACS Appl. Mater. Inter. 2021, 13, 9702–9713. [Google Scholar] [CrossRef]
- Gao, Y.; Liu, W.F.; Zhu, S.P. Polyolefin thermoplastics for multiple shape and reversible shape memory. ACS Appl. Mater. Inter. 2017, 9, 4882–4889. [Google Scholar] [CrossRef]
- Zheng, N.; Fang, G.Q.; Cao, Z.L.; Zhao, Q.; Xie, T. High strain epoxy shape memory polymer. Polym. Chem. 2015, 6, 3046–3053. [Google Scholar] [CrossRef]
- Feng, X.M.; Fan, J.Z.; Li, A.; Li, G.Q. Multireusable thermoset with anomalous flame-triggered shape memory effect. ACS Appl. Mater. Inter. 2019, 11, 16075–16086. [Google Scholar] [CrossRef] [PubMed]
- Santhosh-Kumar, K.S.; Biju, R.; Reghunadhan-Nair, C.P. Progress in shape memory epoxy resins. React. Funct. Polym. 2013, 73, 421–430. [Google Scholar] [CrossRef]
- Buckner, T.L.; Bilodeau, R.A.; Kim, S.Y.; Bottiglio, R.K. Roboticizing fabric by integrating functional fibers. Proc. Natl. Acad. Sci. USA 2020, 117, 25360–25369. [Google Scholar] [CrossRef] [PubMed]
- Xie, H.; Li, L.; Deng, X.Y.; Cheng, C.Y.; Yang, K.K.; Wang, Y.Z. Reinforcement of shape-memory poly (ethylene-co-vinyl acetate) by carbon fibre to access robust recovery capability under resistant condition. Compos. Sci. Technol. 2018, 157, 202–208. [Google Scholar] [CrossRef]
- Datta, S.; Henry, T.C.; Sliozberg, Y.R.; Lawrence, B.D.; Chattopadhyay, A.; Hall, A.J. Carbon nanotube enhanced shape memory epoxy for improved mechanical properties and electroactive shape recovery. Polymer 2020, 212, 123158. [Google Scholar] [CrossRef]
- Li, T.Q.; Li, Y.; Wang, X.H.; Sun, J.Q. Thermally and near-infrared light-induced shape memory polymers capable of healing mechanical damage and fatigued shape memory function. ACS Appl. Mater. Inter. 2019, 11, 9470–9477. [Google Scholar] [CrossRef]
- Alsharaeh, E.H. Polystyrene-poly (methyl methacrylate) silver nanocomposites: Significant modification of the thermal and electrical properties by microwave irradiation. Materials 2016, 9, 458. [Google Scholar] [CrossRef]
- Amoabeng, D.; Velankar, S.S. A review of conductive polymer composites filled with low melting point metal alloys. Polym. Eng. Sci. 2018, 58, 1010–1019. [Google Scholar] [CrossRef]
- Van-Meerbeek, I.M.; Mac-Murray, B.C.; Kim, J.W.; Robinson, S.S.; Zou, P.X.; Siberstein, M.N.; Shepherd, R.F. Morphing metal and elastomer bicontinuous foams for reversible stiffness, shape memory, and self-healing soft machines. Adv. Mater. 2016, 28, 2801–2806. [Google Scholar] [CrossRef]
- Bhuyan, P.; Wei, Y.W.; Sin, D.H.; Yu, J.; Nah, C.; Jeong, K.W.; Dickey, M.D.; Park, S. Soft and stretchable liquid metal composites with shape memory and healable conductivity. ACS Appl. Mater. Inter. 2021, 13, 28916–28924. [Google Scholar] [CrossRef]
- Bilodeau, R.A.; Nasab, A.M.; Shah, D.S.; Bottiglio, R.K. Uniform conductivity in stretchable silicones via multiphase inclusions. Soft Matter 2020, 16, 5827–5839. [Google Scholar] [CrossRef]
- Schubert, B.E.; Floreano, D. Variable stiffness material based on rigid low-melting-point-alloy microstructures embedded in soft poly (dimethylsiloxane)(PDMS). RSC Adv. 2013, 3, 24671–24679. [Google Scholar] [CrossRef]
- Takahashi, R.; Sun, T.L.; Saruwatari, Y.; Kurokawa, T.; King, D.R.; Gong, J.P. Creating stiff, tough, and functional hydrogel composites with low-melting-point alloys. Adv. Mater. 2018, 30, 1706885. [Google Scholar] [CrossRef]
- Gong, X.B.; Liu, L.W.; Scarpa, F.; Leng, J.S.; Liu, Y.J. Variable stiffness corrugated composite structure with shape memory polymer for morphing skin applications. Smart Mater. Struct. 2017, 26, 035052. [Google Scholar] [CrossRef]
- Gong, X.B.; Xie, F.; Liu, L.W.; Liu, Y.J.; Leng, J.S. Electro-active variable-stiffness corrugated structure based on shape-memory polymer composite. Polymers 2020, 12, 387. [Google Scholar] [CrossRef]
- Lei, J.F.; Xuan, Y.; Liu, T.; Duan, F.Y.; Sun, H.; Wei, Z. Static and dynamic mechanical behavior and constitutive model of polyvinyl chloride elastomers for design processes of soft polymer materials. Adv. Mech. Eng. 2020, 12, 1–12. [Google Scholar] [CrossRef]
- Fan, J.T.; Weerheijm, J.; Sluys, L.J. Dynamic compressive mechanical response of a soft polymer material. Mater. Design 2015, 79, 73–85. [Google Scholar] [CrossRef]
- Tamrakar, S.; Ganesh, R.; Sockalingam, S.; Haque, B.Z.; Gillespie-Jr, J.W. Experimental investigation of strain rate and temperature dependent response of an epoxy resin undergoing large deformation. J. Dyn. Behav. Mater. 2018, 4, 114–128. [Google Scholar] [CrossRef]
- Bakbak, O.; Birkan, B.E.; Acar, A.; Colak, O. Mechanical characterization of araldite LY 564 epoxy: Creep, relaxation, quasi-static compression and high strain rate behaviors. Polym. Bull. 2022, 79, 2219–2235. [Google Scholar] [CrossRef]
- Minh, P.S.; Nguyen, V.T.; Nguyen, V.T.; Uyen, T.M.T.; Do, T.T.; Nguyen, V.T.T. Study on the fatigue strength of welding line in injection molding products under different tensile conditions. Micromachines 2022, 13, 1890. [Google Scholar] [CrossRef]
- Sassi, S.; Tarfaoui, M.; Nachtane, M.; Yahia, H.B. Strain rate effects on the dynamic compressive response and the failure behavior of polyester matrix. Compos. Part B Eng. 2019, 174, 107040. [Google Scholar] [CrossRef]
- Frew, D.J.; Forrestal, M.J.; Chen, W. Pulse shaping techniques for testing brittle materials with a split Hopkinson pressure bar. Exp. Mech. 2002, 42, 93–106. [Google Scholar] [CrossRef]
- Xia, K.W.; Yao, W. Dynamic rock tests using split Hopkinson (Kolsky) bar system—A review. J. Rock Mech Geotech. Eng. 2015, 7, 27–59. [Google Scholar] [CrossRef]
- Tan, Z.H.; Pang, B.J.; Qin, D.T.; Shi, J.Y.; Gai, B.Z. The compressive properties of 2024Al matrix composites reinforced with high content SiC particles at various strain rates. Mater. Sci. Eng. A 2008, 489, 302–309. [Google Scholar] [CrossRef]
- Wu, X.Q.; Yin, X.Q.; Wei, Y.P.; Huang, C.G. Effects of imperfect experimental conditions on stress waves in SHPB experiments. Acta Mech. Sin. 2015, 31, 827–836. [Google Scholar] [CrossRef]
- Yoonessi, M.; Shi, Y.; Scheiman, D.A.; Lebron-Colon, M.; Tigelaar, D.M.; Weiss, R.A.; Meador, M.A. Graphene polyimide nanocomposites; thermal, mechanical, and high-temperature shape memory effects. ACS Nano 2012, 6, 7644–7655. [Google Scholar] [CrossRef]
- Zhang, B.; Zhang, W.; Zhang, Z.Q.; Zhang, Y.F.; Hingorani, H.; Liu, Z.J.; Liu, J.; Ge, Q. Self-healing four-dimensional printing with an ultraviolet curable double-network shape memory polymer system. ACS Appl. Mater. Inter. 2019, 11, 10328–10336. [Google Scholar] [CrossRef]
- Arruda, E.M.; Boyce, M.C.; Jayachandran, R. Effects of strain rate, temperature and thermomechanical coupling on the finite strain deformation of glassy polymers. Mech. Mater. 1995, 19, 193–212. [Google Scholar] [CrossRef]























| Sample | εrec(1) | εrec(2) | εload | εfix | Rf | Rr |
|---|---|---|---|---|---|---|
| EP | 3.93 | 4.08 | 8.28 | 7.76 | 93.7% | 96% |
| 10 vol% LMPA/EP | 6.99 | 7.28 | 13.82 | 13.35 | 96.6% | 95.7% |
| 30 vol% LMPA/EP | 5.61 | 5.93 | 12.80 | 12.44 | 97.2% | 95.5% |
| 50 vol% LMPA/EP | 7.54 | 7.90 | 14.31 | 14.04 | 98.1% | 94.7% |
Disclaimer/Publisher’s Note: The statements, opinions and data contained in all publications are solely those of the individual author(s) and contributor(s) and not of MDPI and/or the editor(s). MDPI and/or the editor(s) disclaim responsibility for any injury to people or property resulting from any ideas, methods, instructions or products referred to in the content. |
© 2023 by the authors. Licensee MDPI, Basel, Switzerland. This article is an open access article distributed under the terms and conditions of the Creative Commons Attribution (CC BY) license (https://creativecommons.org/licenses/by/4.0/).
Share and Cite
Wang, H.; Zhang, Y.; Tan, Z. Dynamic Response and Deformative Mechanism of the Shape Memory Polymer Filled with Low-Melting-Point Alloy under Different Dynamic Loads. Polymers 2023, 15, 423. https://doi.org/10.3390/polym15020423
Wang H, Zhang Y, Tan Z. Dynamic Response and Deformative Mechanism of the Shape Memory Polymer Filled with Low-Melting-Point Alloy under Different Dynamic Loads. Polymers. 2023; 15(2):423. https://doi.org/10.3390/polym15020423
Chicago/Turabian StyleWang, Huanhuan, Yongqiang Zhang, and Zhuhua Tan. 2023. "Dynamic Response and Deformative Mechanism of the Shape Memory Polymer Filled with Low-Melting-Point Alloy under Different Dynamic Loads" Polymers 15, no. 2: 423. https://doi.org/10.3390/polym15020423
APA StyleWang, H., Zhang, Y., & Tan, Z. (2023). Dynamic Response and Deformative Mechanism of the Shape Memory Polymer Filled with Low-Melting-Point Alloy under Different Dynamic Loads. Polymers, 15(2), 423. https://doi.org/10.3390/polym15020423

