A Low-Cost Process for Fabricating Reinforced 3D Printing Thermoplastic Filaments
Abstract
1. Introduction
2. Materials and Methods
2.1. Fabrication of Particle Reinforced Filaments Using Single-Screw Extruders
2.2. Inspection of Reinforcing Particles Distribution
2.3. Mechanical Characterization of Reinforced Filaments Properties
2.4. Mechanical Characterization of Specimens 3D Printed from the Reinforced Filaments
3. Results and Discussion
3.1. Spatial Dispersion of the Reinforcing Particles from a Microscopy Perspective
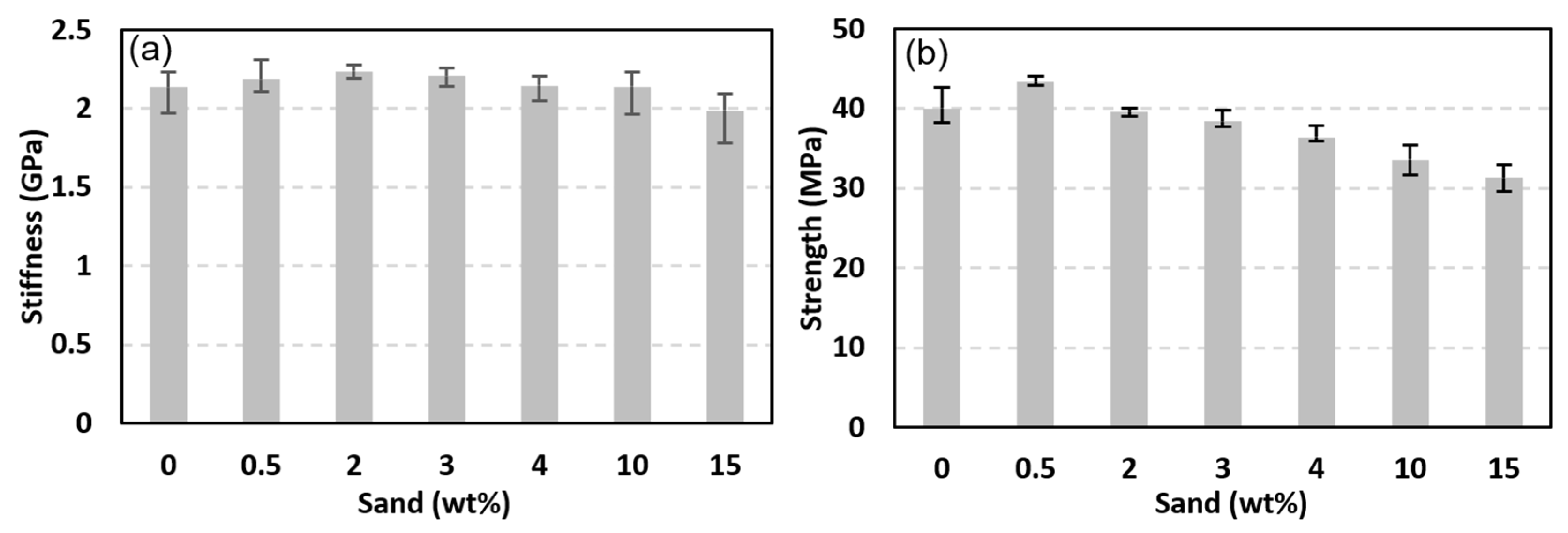
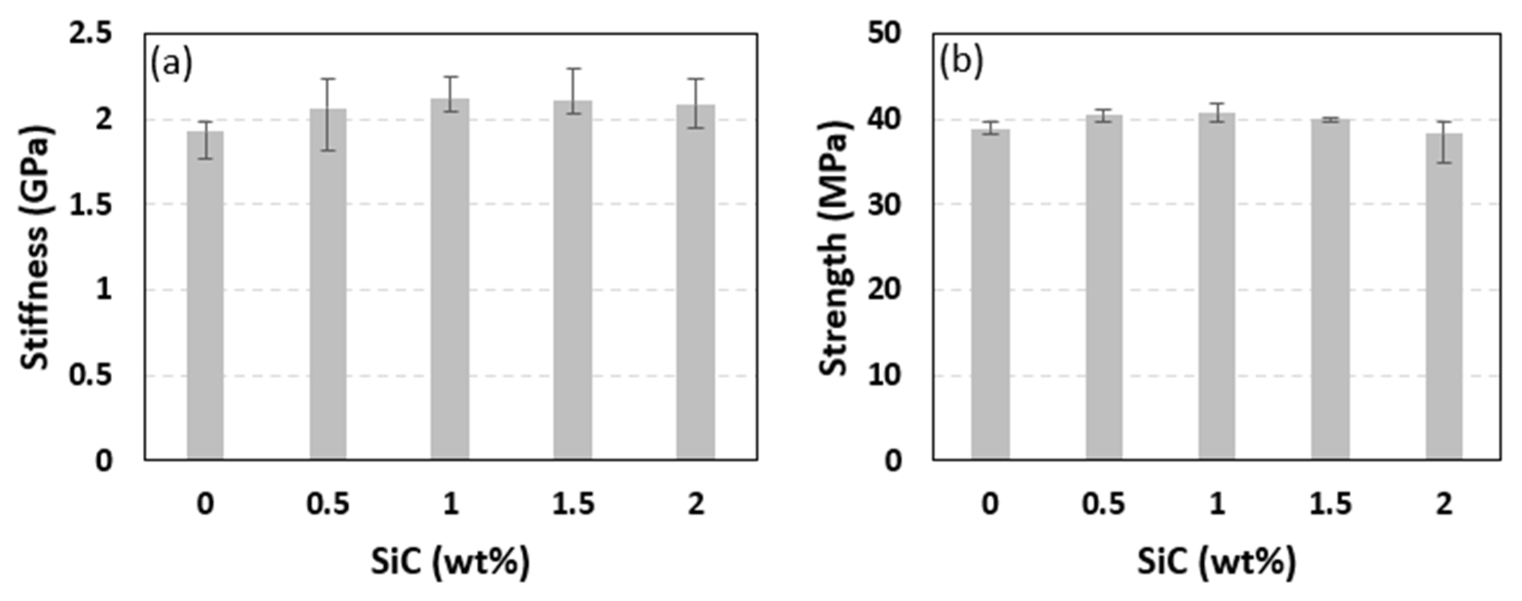
3.2. Mechanical Behavior of Dune Sand and SiC Reinforced PLA Filaments
3.3. Effect of Reinforcements on the Mechanical Properties of 3D Printed Samples
4. Conclusions
Author Contributions
Funding
Institutional Review Board Statement
Data Availability Statement
Acknowledgments
Conflicts of Interest
References
- Yousuf, M.H.; Abuzaid, W.; Alkhader, M. 4D Printed Auxetic Structures with Tunable Mechanical Properties. Addit. Manuf. 2020, 35, 101364. [Google Scholar] [CrossRef]
- Alkhader, M.; Abuzaid, W.; Elyoussef, M.; Al-Adaileh, S. Localized Strain Fields in Honeycomb Materials with Convex and Concaved Cells. Eur. J. Mech.-A/Solids 2019, 80, 103890. [Google Scholar] [CrossRef]
- Gibson, I.; Rosen, D.W.; Stucker, B.; Khorasani, M.; Rosen, D.; Stucker, B.; Khorasani, M. Additive Manufacturing Technologies. Springer: Berlin/Heidelberg, Germany, 2021; Volume 17. [Google Scholar]
- Goh, G.D.; Toh, W.; Yap, Y.L.; Ng, T.Y.; Yeong, W.Y. Additively Manufactured Continuous Carbon Fiber-Reinforced Thermoplastic for Topology Optimized Unmanned Aerial Vehicle Structures. Compos. Part B Eng. 2021, 216, 108840. [Google Scholar] [CrossRef]
- Dutra, T.A.; Ferreira, R.T.L.; Resende, H.B.; Guimarães, A. Mechanical Characterization and Asymptotic Homogenization of 3D-Printed Continuous Carbon Fiber-Reinforced Thermoplastic. J. Braz. Soc. Mech. Sci. Eng. 2019, 41, 133. [Google Scholar] [CrossRef]
- Todoroki, A.; Oasada, T.; Mizutani, Y.; Suzuki, Y.; Ueda, M.; Matsuzaki, R.; Hirano, Y. Tensile Property Evaluations of 3D Printed Continuous Carbon Fiber Reinforced Thermoplastic Composites. Adv. Compos. Mater. 2020, 29, 147–162. [Google Scholar] [CrossRef]
- Kumar, L.J.; Pandey, P.M.; Wimpenny, D.I. 3D Printing and Additive Manufacturing Technologies. Springer: Berlin/Heidelberg, Germany, 2019; Volume 311. [Google Scholar]
- Iyer, S.; Alkhader, M.; Venkatesh, T.A. Electromechanical Behavior of Auxetic Piezoelectric Cellular Solids. Scr. Mater. 2015, 99, 65–68. [Google Scholar] [CrossRef]
- Iyer, S.; Alkhader, M.; Venkatesh, T.A. On the Relationships between Cellular Structure, Deformation Modes and Electromechanical Properties of Piezoelectric Cellular Solids. Int. J. Solids Struct. 2016, 80, 73–83. [Google Scholar] [CrossRef]
- Iyer, S.; Alkhader, M.; Venkatesh, T.A. Electromechanical Response of Piezoelectric Honeycomb Foam Structures. J. Am. Ceram. Soc. 2014, 97, 826–834. [Google Scholar] [CrossRef]
- Rahmatabadi, D.; Ghasemi, I.; Baniassadi, M.; Abrinia, K.; Baghani, M. 3D Printing of PLA-TPU with Different Component Ratios: Fracture Toughness, Mechanical Properties, and Morphology. J. Mater. Res. Technol. 2022, 21, 3970–3981. [Google Scholar] [CrossRef]
- Rahmatabadi, D.; Aberoumand, M.; Soltanmohammadi, K.; Soleyman, E.; Ghasemi, I.; Baniassadi, M.; Abrinia, K.; Bodaghi, M.; Baghani, M. 4D Printing-Encapsulated Polycaprolactone–Thermoplastic Polyurethane with High Shape Memory Performances. Adv. Eng. Mater. 2022, 2201309. [Google Scholar] [CrossRef]
- Rahmatabadi, D.; Soltanmohammadi, K.; Aberoumand, M.; Soleyman, E.; Ghasemi, I.; Baniassadi, M.; Abrinia, K.; Bodaghi, M.; Baghani, M. Development of Pure Poly Vinyl Chloride (PVC) with Excellent 3D Printability and Macro- and Micro-Structural Properties. Macromol. Mater. Eng. 2022, 2200568. [Google Scholar] [CrossRef]
- Yu, W.; Wang, X.; Ferraris, E.; Zhang, J. Melt Crystallization of PLA/Talc in Fused Filament Fabrication. Mater. Des. 2019, 182, 108013. [Google Scholar] [CrossRef]
- Rimpongpisarn, T.; Wattanathana, W.; Sukthavorn, K.; Nootsuwan, N.; Hanlumyuang, Y.; Veranitisagul, C.; Laobuthee, A. Novel Luminescent PLA/MgAl2O4: Sm3+ Composite Filaments for 3D Printing Application. Mater. Lett. 2019, 237, 270–273. [Google Scholar] [CrossRef]
- Daver, F.; Lee, K.P.M.; Brandt, M.; Shanks, R. Cork–PLA Composite Filaments for Fused Deposition Modelling. Compos. Sci. Technol. 2018, 168, 230–237. [Google Scholar] [CrossRef]
- Zhou, Y.; Lei, L.; Yang, B.; Li, J.; Ren, J. Preparation and Characterization of Polylactic Acid (PLA) Carbon Nanotube Nanocomposites. Polym. Test. 2018, 68, 34–38. [Google Scholar] [CrossRef]
- Papon, E.A.; Haque, A. Fracture Toughness of Additively Manufactured Carbon Fiber Reinforced Composites. Addit. Manuf. 2019, 26, 41–52. [Google Scholar] [CrossRef]
- Wang, Z.; Xu, J.; Lu, Y.; Hu, L.; Fan, Y.; Ma, J.; Zhou, X. Preparation of 3D Printable Micro/Nanocellulose-Polylactic Acid (MNC/PLA) Composite Wire Rods with High MNC Constitution. Ind. Crops Prod. 2017, 109, 889–896. [Google Scholar] [CrossRef]
- Tambrallimath, V.; Keshavamurthy, R.; Saravanabavan, D.; Koppad, P.G.; Kumar, G.S.P. Thermal Behavior of PC-ABS Based Graphene Filled Polymer Nanocomposite Synthesized by FDM Process. Compos. Commun. 2019, 15, 129–134. [Google Scholar] [CrossRef]
- Sezer, H.K.; Eren, O. FDM 3D Printing of MWCNT Re-Inforced ABS Nano-Composite Parts with Enhanced Mechanical and Electrical Properties. J. Manuf. Process. 2019, 37, 339–347. [Google Scholar] [CrossRef]
- Hwang, D.; Cho, D. Fiber Aspect Ratio Effect on Mechanical and Thermal Properties of Carbon Fiber/ABS Composites via Extrusion and Long Fiber Thermoplastic Processes. J. Ind. Eng. Chem. 2019, 80, 335–344. [Google Scholar] [CrossRef]
- Nikzad, M.; Masood, S.H.; Sbarski, I. Thermo-Mechanical Properties of a Highly Filled Polymeric Composites for Fused Deposition Modeling. Mater. Des. 2011, 32, 3448–3456. [Google Scholar] [CrossRef]
- Oztan, C.; Ballikaya, S.; Ozgun, U.; Karkkainen, R.; Celik, E. Additive Manufacturing of Thermoelectric Materials via Fused Filament Fabrication. Appl. Mater. Today 2019, 15, 77–82. [Google Scholar] [CrossRef]
- Castles, F.; Isakov, D.; Lui, A.; Lei, Q.; Dancer, C.E.J.; Wang, Y.; Janurudin, J.M.; Speller, S.C.; Grovenor, C.R.M.; Grant, P.S. Microwave Dielectric Characterisation of 3D-Printed BaTiO3/ABS Polymer Composites. Sci. Rep. 2016, 6, 22714. [Google Scholar] [CrossRef] [PubMed]
- Isakov, D.V.; Lei, Q.; Castles, F.; Stevens, C.J.; Grovenor, C.R.M.; Grant, P.S. 3D Printed Anisotropic Dielectric Composite with Meta-Material Features. Mater. Des. 2016, 93, 423–430. [Google Scholar] [CrossRef]
- Singh, R.; Bedi, P.; Fraternali, F.; Ahuja, I.P.S. Effect of Single Particle Size, Double Particle Size and Triple Particle Size Al2O3 in Nylon-6 Matrix on Mechanical Properties of Feed Stock Filament for FDM. Compos. Part B Eng. 2016, 106, 20–27. [Google Scholar] [CrossRef]
- Pertuz, A.D.; Díaz-Cardona, S.; González-Estrada, O.A. Static and Fatigue Behaviour of Continuous Fibre Reinforced Thermoplastic Composites Manufactured by Fused Deposition Modelling Technique. Int. J. Fatigue 2020, 130, 105275. [Google Scholar] [CrossRef]
- Tan, J.C.; Low, H.Y. Embedded Electrical Tracks in 3D Printed Objects by Fused Filament Fabrication of Highly Conductive Composites. Addit. Manuf. 2018, 23, 294–302. [Google Scholar] [CrossRef]
- García-Fonte, X.; Ares-Pernas, A.; Cerecedo, C.; Valcárcel, V.; Abad, M.J. Influence of Phase Morphology on the Rheology and Thermal Conductivity of HDPE/PA6 Immiscible Blends with Alumina Whiskers. Polym. Test 2018, 71, 56–64. [Google Scholar] [CrossRef]
- Patil, B.; Kumar, B.R.B.; Bontha, S.; Balla, V.K.; Powar, S.; Kumar, V.H.; Suresha, S.N.; Doddamani, M. Eco-Friendly Lightweight Filament Synthesis and Mechanical Characterization of Additively Manufactured Closed Cell Foams. Compos. Sci. Technol. 2019, 183, 107816. [Google Scholar] [CrossRef]
- Ting, R.Y. Piezoelectric Properties of a Porous PZT Ceramic. Ferroelectrics 1985, 65, 11–20. [Google Scholar] [CrossRef]
- Devivier, C.; Tagliaferri, V.; Trovalusci, F.; Ucciardello, N. Mechanical Characterization of Open Cell Aluminium Foams Reinforced by Nickel Electro-Deposition. Mater. Des. 2015, 86, 272–278. [Google Scholar] [CrossRef]
- Sheriani, T.A.K. Composition and Environmental Assessment of Soils from United Arab Emirates; United Arab Emirates University: Al Ain, United Arab Emirates, 1997. [Google Scholar]
- Singh, N.; Singh, R.; Ahuja, I.P.S. Recycling of Polymer Waste with SiC/Al2O3 Reinforcement for Rapid Tooling Applications. Mater. Today Commun. 2018, 15, 124–127. [Google Scholar] [CrossRef]
- Krenkel, W. Carbon Fibre Reinforced Silicon Carbide Composites (C/SiC, C/C-SiC). In Handbook of Ceramic Composites; Springer: Berlin/Heidelberg, Germany, 2005; pp. 117–148. [Google Scholar]
- Abuzaid, W.; Alkhader, M.; Omari, M. Experimental Analysis of Heterogeneous Shape Recovery in 4d Printed Honeycomb Structures. Polym. Test 2018, 68, 100–109. [Google Scholar] [CrossRef]
- Chacón, J.M.; Caminero, M.A.; García-Plaza, E.; Núñez, P.J. Additive Manufacturing of PLA Structures Using Fused Deposition Modelling: Effect of Process Parameters on Mechanical Properties and Their Optimal Selection. Mater. Des. 2017, 124, 143–157. [Google Scholar] [CrossRef]
- Garlotta, D. A Literature Review of Poly (Lactic Acid). J. Polym. Environ. 2001, 9, 63–84. [Google Scholar] [CrossRef]
- Van de Velde, K.; Kiekens, P. Biopolymers: Overview of Several Properties and Consequences on Their Applications. Polym. Test 2002, 21, 433–442. [Google Scholar] [CrossRef]
- Vukasovic, T.; Vivanco, J.F.; Celentano, D.; García-Herrera, C. Characterization of the Mechanical Response of Thermoplastic Parts Fabricated with 3D Printing. Int. J. Adv. Manuf. Technol. 2019, 104, 4207–4218. [Google Scholar] [CrossRef]
- Ahmed, W.; Siraj, S.; Al-Marzouqi, A.H. 3d Printing Pla Waste to Produce Ceramic Based Particulate Reinforced Composite Using Abundant Silica-Sand: Mechanical Properties Characterization. Polymers 2020, 12, 2579. [Google Scholar] [CrossRef]


















Disclaimer/Publisher’s Note: The statements, opinions and data contained in all publications are solely those of the individual author(s) and contributor(s) and not of MDPI and/or the editor(s). MDPI and/or the editor(s) disclaim responsibility for any injury to people or property resulting from any ideas, methods, instructions or products referred to in the content. |
© 2023 by the authors. Licensee MDPI, Basel, Switzerland. This article is an open access article distributed under the terms and conditions of the Creative Commons Attribution (CC BY) license (https://creativecommons.org/licenses/by/4.0/).
Share and Cite
Hassanien, M.; Alkhader, M.; Abu-Nabah, B.A.; Abuzaid, W. A Low-Cost Process for Fabricating Reinforced 3D Printing Thermoplastic Filaments. Polymers 2023, 15, 315. https://doi.org/10.3390/polym15020315
Hassanien M, Alkhader M, Abu-Nabah BA, Abuzaid W. A Low-Cost Process for Fabricating Reinforced 3D Printing Thermoplastic Filaments. Polymers. 2023; 15(2):315. https://doi.org/10.3390/polym15020315
Chicago/Turabian StyleHassanien, Mohamed, Maen Alkhader, Bassam A. Abu-Nabah, and Wael Abuzaid. 2023. "A Low-Cost Process for Fabricating Reinforced 3D Printing Thermoplastic Filaments" Polymers 15, no. 2: 315. https://doi.org/10.3390/polym15020315
APA StyleHassanien, M., Alkhader, M., Abu-Nabah, B. A., & Abuzaid, W. (2023). A Low-Cost Process for Fabricating Reinforced 3D Printing Thermoplastic Filaments. Polymers, 15(2), 315. https://doi.org/10.3390/polym15020315

