The Effect of Thermal Annealing on the Structure and Gas Transport Properties of Poly(1-Trimethylsilyl-1-Propyne) Films with the Addition of Phenolic Antioxidants
Abstract
1. Introduction
2. Materials and Methods
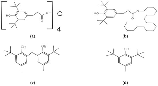
2.1. Initial Compounds: Synthesis and Purification
2.2. Preparation of PTMSP Films
2.3. Heat Treatment of PTMSP Films
2.4. X-ray Diffraction Study
2.5. Thermogravimetric Analysis (TGA)
2.6. Gas Permeability Measurements
3. Results
3.1. Gas Transport Properties of PTMSP Films
3.2. Thermal Annealing of PTMSP Films
4. Conclusions
Author Contributions
Funding
Institutional Review Board Statement
Informed Consent Statement
Data Availability Statement
Acknowledgments
Conflicts of Interest
References
- Baker, R.W.; Low, B.T. Gas separation membrane materials: A perspective. Macromolecules 2014, 47, 6999–7013. [Google Scholar] [CrossRef]
- Baker, R.W. Membrane Technology and Applications; John Wiley & Sons: Hoboken, NJ, USA, 2012. [Google Scholar]
- Masuda, T. Substituted polyacetylenes: Synthesis, properties, and functions. Polym. Rev. 2017, 57, 1–14. [Google Scholar] [CrossRef]
- Yampolskii, Y. A current position of polyacetylenes among other highly permeable membrane materials. Polym. Rev. 2017, 57, 200–212. [Google Scholar] [CrossRef]
- Morisato, A.; Shen, H.C.; Sankar, S.S.; Freeman, B.D.; Pinnau, I.; Casillas, C.G. Polymer characterization and gas permeability of poly(1-trimethylsilyl-1-propyne)[PTMSP], poly (1-phenyl-1-propyne)[PPP], and PTMSP/PPP blends. J. Polym. Sci. Part B Polym. Phys. 1996, 34, 2209–2222. [Google Scholar] [CrossRef]
- Toy, L.G.; Nagai, K.; Freeman, B.D.; Pinnau, I.; He, Z.; Masuda, T.; Teraguchi, M.; Yampolskii, Y.P. Pure-gas and vapor permeation and sorption properties of poly [1-phenyl-2-[p-(trimethylsilyl)phenyl]acetylene] (PTMSDPA). Macromolecules 2000, 33, 2516–2524. [Google Scholar] [CrossRef]
- Hill, A.J.; Freeman, B.D.; Jaffe, M.; Merkel, T.C.; Pinnau, I. Tailoring nanospace. J. Mol. Struct. 2005, 739, 173–178. [Google Scholar] [CrossRef]
- Tanaka, A.; Nitta, K.H.; Maekawa, R.; Masuda, T.; Higashimura, T. Effects of physical aging on viscoelastic and ultrasonic properties of poly [1-(trimethylsilyl)-1-propyne] films. Polym. J. 1992, 24, 1173–1180. [Google Scholar] [CrossRef]
- Nagai, K.; Nakagawa, T. Effects of aging on the gas permeability and solubility in poly(1-trimethylsilyl-1-propyne) membranes synthesized with various catalysts. J. Membr. Sci. 1995, 105, 261–272. [Google Scholar] [CrossRef]
- Dorkenoo, K.D.; Pfromm, P.H. Accelerated physical aging of thin poly [1-(trimethylsilyl)-1-propyne] films. Macromolecules 2000, 33, 3747–3751. [Google Scholar] [CrossRef]
- Yoshioka, T.; Miyashita, Y.; Motoo, T.; Saito, K.; Nagai, K. Effects of aging on poly(1-trimethylsilyl-1-propyne) membranes irradiated with vacuum ultraviolet radiation for gas separation. J. Appl. Polym. Sci. 2018, 135, 45973. [Google Scholar] [CrossRef]
- Swaidan, R.; Ghanem, B.; Litwiller, E.; Pinnau, I. Physical aging, plasticization and their effects on gas permeation in “rigid” polymers of intrinsic microporosity. Macromolecules 2015, 48, 6553–6561. [Google Scholar] [CrossRef]
- Sheng, L.; Ren, J.; Hua, K.; Li, H.; Feng, Y.; Deng, M. The enhancement of mechanical properties of P84 hollow fiber membranes by thermally annealing below and above Tg. J. Membr. Sci. 2020, 595, 117580. [Google Scholar] [CrossRef]
- Feng, Y.; Ren, J.; Li, H.; Zhao, D.; Sheng, L.; Wu, Y.; Zhao, W.; Deng, M. Effect of thermal annealing on gas separation performance and aggregation structures of block polyimide membranes. Polymer 2021, 219, 123538. [Google Scholar] [CrossRef]
- Savoca, A.C.; Surnamer, A.D.; Tien, C.F. Gas transport in poly (silylpropynes): The chemical structure point of view. Macromolecules 1993, 26, 6211–6216. [Google Scholar] [CrossRef]
- Merkel, T.C.; Gupta, R.P.; Turk, B.S.; Freeman, B.D. Mixed-gas permeation of syngas components in poly(dimethylsiloxane) and poly(1-trimethylsilyl-1-propyne) at elevated temperatures. J. Membr. Sci. 2001, 191, 85–94. [Google Scholar] [CrossRef]
- Nagai, K.; Masuda, T.; Nakagawa, T.; Freeman, B.D.; Pinnau, I. Poly[1-(trimethylsilyl)-1-propyne] and related polymers: Synthesis, properties and functions. Prog. Polym. Sci. 2001, 26, 721–798. [Google Scholar] [CrossRef]
- Masuda, T.; Tang, B.Z.; Higashimura, T.; Yamaoka, H. Thermal degradation of polyacetylenes carrying substituents. Macromolecules 1985, 18, 2369–2373. [Google Scholar] [CrossRef]
- Leynalov, E.B.; Allen, N.S. Simultaneous determination of the content and activity of sterically hindered phenolic and amine stabilizers by means of an oxidative model reaction. Polym. Degrad. Stab. 2004, 85, 847–853. [Google Scholar] [CrossRef]
- Al-Malaika, S. Thermal antioxidants. In Polypropylene; Springer: Dordrecht, The Netherlands, 1999; pp. 821–831. [Google Scholar]
- Li, C.; Wang, J.; Ning, M.; Zhang, H. Synthesis and antioxidant activities in polyolefin of dendritic antioxidants with hindered phenolic groups and tertiary amine. J. Appl. Polym. Sci. 2012, 124, 4127–4135. [Google Scholar] [CrossRef]
- Pospíšil, J.; Nešpůrek, S. Chain-breaking stabilizers in polymers: The current status. Polym. Degrad. Stab. 1995, 49, 99–110. [Google Scholar] [CrossRef]
- Kasza, G.; Mosnackova, K.; Nador, A.; Osvath, Z.; Stumphauser, T.; Szarka, G.; Czanikova, K.; Rychly, J.; Chmela, S.; Ivan, B.; et al. Synthesis of hyperbranched poly (ethyleneimine) based macromolecular antioxidants and investigation of their efficiency in stabilization of polyolefins. Eur. Polym. J. 2015, 68, 609–617. [Google Scholar] [CrossRef]
- Beer, S.; Teasdale, I.; Brueggemann, O. Immobilization of antioxidants via ADMET polymerization for enhanced long-term stabilization of polyolefins. Eur. Polym. J. 2013, 49, 4257–4264. [Google Scholar] [CrossRef]
- Beer, S.; Teasdale, I.; Brueggemann, O. Macromolecular antioxidants via thiol-ene polyaddition and their synergistic effects. Polym. Degrad. Stab. 2014, 110, 336–343. [Google Scholar] [CrossRef]
- Weigl, S.; Bretterbauer, K.; Hesser, G.; Schofberger, W.; Paulik. C. Synthesis, characterization, and description of influences on the stabilizing activity of antioxidant-functionalized multi-walled carbon nanotubes. Carbon 2015, 81, 305–313. [Google Scholar] [CrossRef]
- Manteghi, A.; Ahmadi, S.; Arabi, H. Enhanced thermo-oxidative stability through covalent attachment of hindered phenolic antioxidant on surface functionalized polypropylene. Polymer 2018, 138, 41–48. [Google Scholar] [CrossRef]
- Puoci, F.; Iemma, F.; Curcuo, M.; Parissi, O.I.; Cirillo, G.; Spizzirri, U.G.; Picci, N. Synthesis of methacrylic− ferulic acid copolymer with antioxidant properties by single-step free radical polymerization. J. Agric. Food Chem. 2008, 56, 10646–10650. [Google Scholar] [CrossRef]
- Wu, W.; Zeng, X.; Li, H. Synthesis and characterization of a novel macromolecular hindered phenol antioxidant and its thermo-oxidative aging resistance for natural rubber. J. Macromol. Sci. Part B Polym. Phys. 2014, 53, 1244–1257. [Google Scholar] [CrossRef]
- Buchmueller, Y.; Wokaun, A.; Gubler, L. Polymer-bound antioxidants in grafted membranes for fuel cells. J. Mater. Chem. A 2014, 2, 5870–5882. [Google Scholar] [CrossRef]
- Kim, T.H. Melt free-radical grafting of maleimides with hindered phenol groups onto polyethylene. J. Appl. Polym. Sci. 2004, 94, 2117–2122. [Google Scholar] [CrossRef]
- Kim, T.H.; Oh, D.R. Melt grafting of maleimides having hindered phenol antioxidant onto low molecular weight polyethylene. Polym. Degrad. Stab. 2004, 84, 499–503. [Google Scholar] [CrossRef]
- Kim, T.H.; Lee, N. Melt-grafting of maleimides having hindered phenol group onto polypropylene. Bull. Korean Chem. Soc. 2003, 24, 1809–1813. [Google Scholar]
- Almalaik, S.; Ibrahim, A.Q.; Rao, M.J.; Scott, G. Mechanisms of antioxidant action: Photoantioxidant activity of polymer-bound hindered amines. II. Bis acrylates. J. Appl. Polym. Sci. 1992, 44, 1287–1296. [Google Scholar] [CrossRef]
- Sulekha, P.B.; Joseph, R. Preparation and characterisation of novel polymer bound phenolic antioxidants and its use in natural rubber. J. Elastomers Plast. 2003, 35, 85–97. [Google Scholar] [CrossRef]
- Litvinova, E.G.; Melekhov, V.M.; Petrushanskaya, N.V.; Rosheva, G.V.; Fedotov, V.B.; Feldblum, V.S.; Khotimskiy, V.S. Patent 1823457 of Russian Federation, 20 August 1995.
- Khotimsky, V.S.; Tchirkova, M.V.; Litvinova, E.G.; Rebrov, A.I.; Bondarenko, G.N. Poly[1-(trimethylgermyl)-1-propyne] and poly[1-(trimethylsilyl)-1-propyne] with various geometries: Their synthesis and properties. J. Polym. Sci. Part A Polym. Chem. 2003, 41, 2133–2155. [Google Scholar] [CrossRef]
- Matson, S.M.; Kossov, A.A.; Makrushin, V.P.; Levin, I.S.; Zhilyaeva, N.A.; Litvinova, E.G.; Khotimskiy, V.S. Synthesis, Structure and Properties of Poly (1-trimethylsilyl-1-propyne) Obtained with NbBr5-and TaBr5-Based Catalytic Systems. Polym. Sci. Ser. C 2019, 61, 76–85. [Google Scholar] [CrossRef]
- Matson, S.M.; Makrushin, V.P.; Levin, I.S.; Litvinova, E.G.; Khotimskii, V.S. Effect of thermally activated relaxation on gas transport properties of poly(1-trimethylsilyl-1-propyne) with different configuration. Membr. Membr. Technol. 2020, 2, 383–390. [Google Scholar] [CrossRef]
- Tasaka, S.; Inagaki, N.; Igawa, M. Effect of annealing on structure and permeability of poly[(1-trimethylsilyl-1-propyne)]. J. Polym. Sci. 1991, 29, 691–694. [Google Scholar] [CrossRef]








| Sample | Catalytic System 1 | Yield, % | [η], dl/g | Mw, 10−3 | Mw/Mn | % Cis-units |
|---|---|---|---|---|---|---|
| PTMSP-1 | NbCl5 | 95 | 0.9 | 280 | 1.2 | 50 |
| PTMSP-2 | NbBr5/Et3SiH | 85 | 3.4 | 500 | 1.5 | 70 |
| PTMSP-3 | NbBr5/Ph4Sn | 70 | 3.0 | 540 | 1.4 | 80 |
| Sample | Permeability, P (Barrer *) | Ideal Selectivity, α | ||||
|---|---|---|---|---|---|---|
| O2 | N2 | H2 | CO2 | O2/N2 | CO2/N2 | |
| PTMSP-1 | 9200 | 5800 | 17,000 | 34,200 | 1.6 | 5.2 |
| PTMSP-1 С1 | 6600 | 4000 | 13,000 | 26,400 | 1.6 | 6.6 |
| PTMSP-1 С2 | 3000 | 1700 | 6400 | 13,100 | 1.8 | 7.7 |
| PTMSP-1 С3 | 6800 | 3700 | 11,800 | 24,200 | 1.8 | 6.5 |
| PTMSP-1 С4 | 7300 | 4700 | 13,200 | 27,000 | 1.6 | 6.7 |
| PTMSP-2 | 11,500 | 7800 | 20,000 | 38,000 | 1.5 | 4.9 |
| PTMSP-2 С1 | 9400 | 6300 | 15,400 | 35,700 | 1.5 | 5.7 |
| PTMSP-2 С2 | 8100 | 5300 | 14,600 | 29,500 | 1.5 | 5.6 |
| PTMSP-2 С3 | 8000 | 4700 | 12,800 | 26,100 | 1.7 | 5.5 |
| PTMSP-2 С4 | 8200 | 5300 | 14,600 | 29,400 | 1.6 | 5.6 |
| PTMSP-3 | 11,000 | 7400 | 19,600 | 36,900 | 1.5 | 5.0 |
| PTMSP-3 С1 | 11,300 | 7600 | 19,000 | 41,300 | 1.5 | 5.4 |
| PTMSP-3 С2 | 8600 | 5700 | 15,200 | 31,200 | 1.5 | 5.5 |
| PTMSP-3 С3 | 12,500 | 7400 | 16,400 | 33,600 | 1.7 | 4.5 |
| PTMSP-3 С4 | 7800 | 5300 | 13,800 | 28,100 | 1.5 | 5.3 |
| Total Annealing Time, h | Permeability, P (Barrer) | Ideal Selectivity, α | ||||
|---|---|---|---|---|---|---|
| O2 | N2 | H2 | CO2 | O2/N2 | CO2/N2 | |
| PTMSP-1 C1 | ||||||
| 48 | 6800 | 4500 | 14,300 | 27,500 | 1.5 | 6.1 |
| 72 | - | - | - | - | - | - |
| PTMSP-1 C2 | ||||||
| 48 | 3300 | 1900 | 7000 | 14,000 | 1.7 | 7.4 |
| 72 | - | - | - | - | - | - |
| PTMSP-1 C3 | ||||||
| 48 | 7400 | 5900 | 12,400 | 21,000 | 1.8 | 6.5 |
| 72 | - | - | - | - | - | - |
| PTMSP-1 C4 | ||||||
| 48 | 7400 | 4700 | 13,200 | 27,000 | 1.6 | 5.7 |
| 72 | - | - | - | - | - | - |
| Total Annealing Time, h | Permeability, P (Barrer) | Ideal Selectivity, α | ||||
|---|---|---|---|---|---|---|
| O2 | N2 | H2 | CO2 | O2/N2 | CO2/N2 | |
| PTMSP-2 C1 | ||||||
| 48 | 7000 | 4500 | 12,700 | 27,200 | 1.56 | 6.04 |
| 72 | 6900 | 4500 | 12,300 | 27,000 | 1.53 | 6.00 |
| 100 | 6800 | 4300 | 12,200 | 26,900 | 1.58 | 6.26 |
| 150 | 6700 | 4300 | 12,100 | 26,800 | 1.56 | 6.23 |
| 190 | 6700 | 4200 | 12,000 | 26,700 | 1.60 | 6.36 |
| 240 | 6600 | 4200 | 12,000 | 26,700 | 1.57 | 6.36 |
| PTMSP-2 C2 | ||||||
| 48 | 7000 | 4400 | 13,300 | 27,000 | 1.59 | 6.14 |
| 72 | 6800 | 4350 | 13,100 | 26,700 | 1.56 | 6.14 |
| 100 | 6700 | 4200 | 12,900 | 26,000 | 1.60 | 6.19 |
| 150 | 6600 | 4100 | 12,700 | 25,600 | 1.61 | 6.24 |
| 190 | 6600 | 4100 | 12,600 | 25,400 | 1.61 | 6.20 |
| 240 | 6500 | 4000 | 12,500 | 25,300 | 1.63 | 6.33 |
| PTMSP-2 C3 | ||||||
| 48 | 7900 | 4700 | 12,500 | 25,600 | 1.68 | 5.45 |
| 72 | 7700 | 4500 | 12,800 | 26,800 | 1.71 | 5.96 |
| 100 | 8100 | 5000 | 13,200 | 27,000 | 1.62 | 5.4 |
| 150 | - | - | - | - | - | - |
| PTMSP-2 C4 | ||||||
| 48 | 6400 | 4000 | 12,200 | 24,700 | 1.6 | 6.2 |
| 72 | 6200 | 3900 | 12,000 | 24,400 | 1.6 | 6.3 |
| 100 | 6600 | 3700 | 11,800 | 23,800 | 1.6 | 6.4 |
| 150 | 6000 | 3600 | 11,700 | 23,600 | 1.7 | 6.6 |
| 190 | 5900 | 3600 | 11,700 | 23,500 | 1.6 | 6.5 |
| 240 | 5900 | 3500 | 11,600 | 23,300 | 1.7 | 6.7 |
| Total Annealing Time, h | Permeability, P (Barrer) | Ideal Selectivity, α | ||||
|---|---|---|---|---|---|---|
| O2 | N2 | H2 | CO2 | O2/N2 | CO2/N2 | |
| PTMSP-3 C1 | ||||||
| 48 | 8000 | 5100 | 14,100 | 30,200 | 1.57 | 5.92 |
| 72 | 7600 | 4900 | 13,600 | 29,900 | 1.55 | 6.10 |
| 100 | 7500 | 4700 | 13,200 | 29,300 | 1.60 | 6.23 |
| 150 | 7500 | 4700 | 13,000 | 29,000 | 1.60 | 6.17 |
| 190 | 7400 | 4500 | 12,800 | 28,900 | 1.64 | 6.42 |
| 240 | 7400 | 4500 | 12,700 | 28,800 | 1.64 | 6.40 |
| PTMSP-3 C2 | ||||||
| 48 | 6800 | 4350 | 12,800 | 26,200 | 1.56 | 6.02 |
| 72 | 6700 | 4300 | 12,600 | 26,000 | 1.56 | 6.05 |
| 100 | 6500 | 4200 | 12,400 | 25,000 | 1.55 | 5.95 |
| 150 | 6400 | 4200 | 12,200 | 24,700 | 1.52 | 5.88 |
| 190 | 6300 | 4100 | 12,100 | 24,600 | 1.54 | 6.00 |
| 240 | 6300 | 4000 | 12,000 | 24,500 | 1.57 | 6.13 |
| PTMSP-3 C3 | ||||||
| 48 | 8900 | 5300 | 13,500 | 27,800 | 1.68 | 5.25 |
| 72 | 9000 | 5800 | 14,700 | 29,500 | 1.55 | 5.09 |
| 100 | 9500 | 6100 | 15,000 | 30,800 | 1.55 | 5.04 |
| 150 | - | - | - | - | - | - |
| PTMSP-3 C4 | ||||||
| 48 | 5800 | 3600 | 11,000 | 22,400 | 1.6 | 6.2 |
| 72 | 5600 | 3500 | 10,800 | 22,000 | 1.6 | 6.3 |
| 100 | 5600 | 3500 | 10,800 | 22,200 | 1.6 | 6.3 |
| 150 | 5500 | 3500 | 10,700 | 22,000 | 1.6 | 6.3 |
| 190 | 5500 | 3400 | 10,600 | 21,800 | 1.6 | 6.4 |
| 240 | 5500 | 3400 | 10,600 | 21,700 | 1.6 | 6.4 |
Disclaimer/Publisher’s Note: The statements, opinions and data contained in all publications are solely those of the individual author(s) and contributor(s) and not of MDPI and/or the editor(s). MDPI and/or the editor(s) disclaim responsibility for any injury to people or property resulting from any ideas, methods, instructions or products referred to in the content. |
© 2023 by the authors. Licensee MDPI, Basel, Switzerland. This article is an open access article distributed under the terms and conditions of the Creative Commons Attribution (CC BY) license (https://creativecommons.org/licenses/by/4.0/).
Share and Cite
Kossov, A.; Makrushin, V.; Levin, I.; Matson, S. The Effect of Thermal Annealing on the Structure and Gas Transport Properties of Poly(1-Trimethylsilyl-1-Propyne) Films with the Addition of Phenolic Antioxidants. Polymers 2023, 15, 286. https://doi.org/10.3390/polym15020286
Kossov A, Makrushin V, Levin I, Matson S. The Effect of Thermal Annealing on the Structure and Gas Transport Properties of Poly(1-Trimethylsilyl-1-Propyne) Films with the Addition of Phenolic Antioxidants. Polymers. 2023; 15(2):286. https://doi.org/10.3390/polym15020286
Chicago/Turabian StyleKossov, Anton, Vladimir Makrushin, Ivan Levin, and Samira Matson. 2023. "The Effect of Thermal Annealing on the Structure and Gas Transport Properties of Poly(1-Trimethylsilyl-1-Propyne) Films with the Addition of Phenolic Antioxidants" Polymers 15, no. 2: 286. https://doi.org/10.3390/polym15020286
APA StyleKossov, A., Makrushin, V., Levin, I., & Matson, S. (2023). The Effect of Thermal Annealing on the Structure and Gas Transport Properties of Poly(1-Trimethylsilyl-1-Propyne) Films with the Addition of Phenolic Antioxidants. Polymers, 15(2), 286. https://doi.org/10.3390/polym15020286

