Potential Applications of Thermoresponsive Poly(N-Isoproplacrylamide)-Grafted Nylon Membranes: Effect of Grafting Yield and Architecture on Gating Performance
Abstract
1. Introduction
2. Materials and Methods
2.1. Materials
2.2. Synthesis of Linear and Crosslinked PNIPAm-Grafted Nylon Membrane
2.3. Characterizations
2.3.1. Chemical Composition Analysis
2.3.2. Morphological Analysis
2.3.3. Specific Surface Area Measurement by the Brunauer-Emmett-Teller (BET) Method
2.3.4. Water Contact Angle Measurement
2.3.5. Thermoresponsive Water Filtration
2.3.6. Temperature-Responsive Controllable Oil/Water Separation
2.3.7. Thermoresponsive Gas Permeability Control
3. Results and Discussion
3.1. Surface Functionalization of Nylon Membranes
3.1.1. Compositional Verification of PNIPAm-Grafted Nylon Membranes
3.1.2. Morphological Analysis of PNIPAm-Grafted Nylon Membranes
3.1.3. Surface Characteristics of PNIPAm-Grafted Nylon Membranes
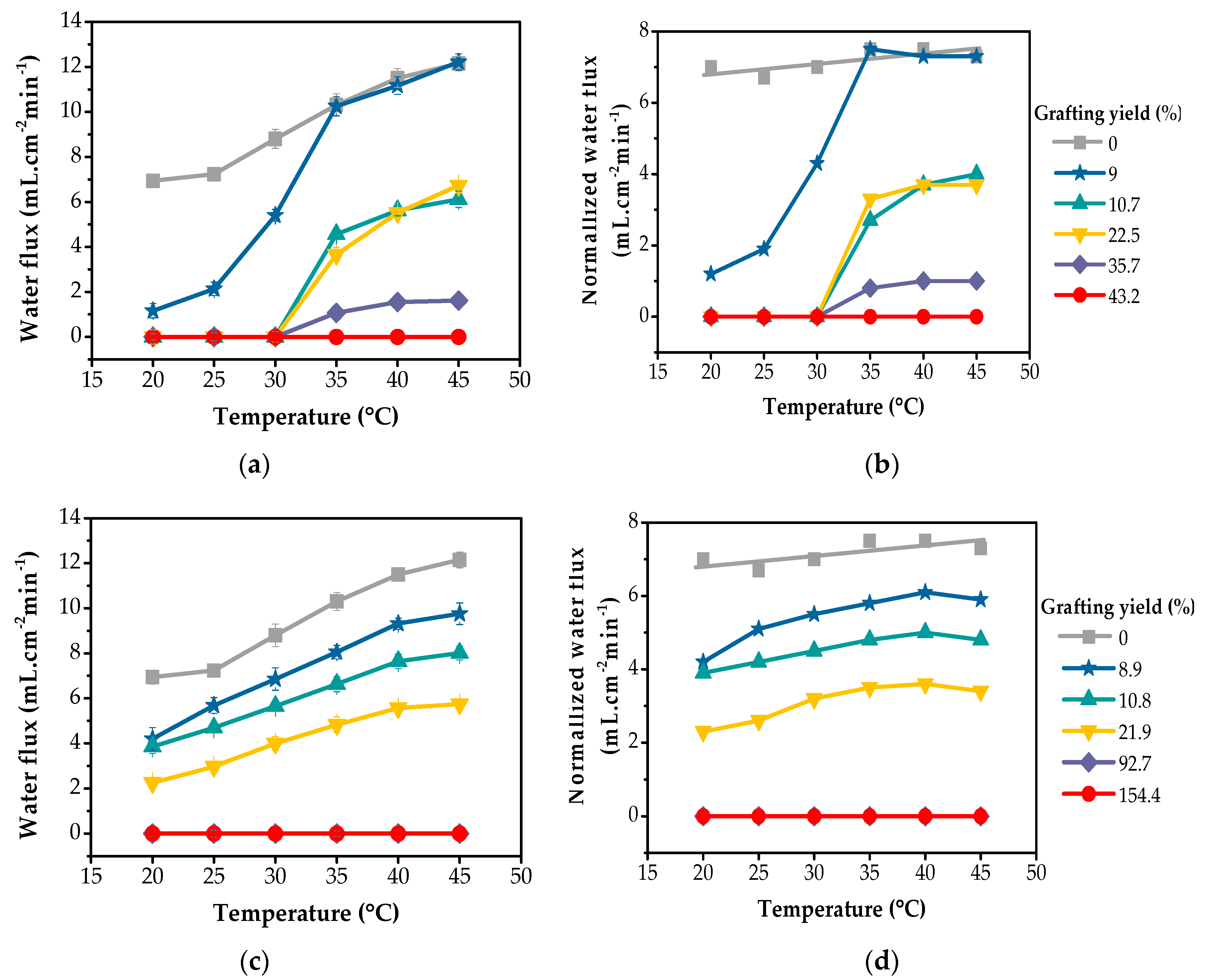
3.2. Thermoresponsive Water Filtration Application
3.3. Oil-Water Separation Application
3.4. Self-Regulating Gas Permeability Application
4. Conclusions
Author Contributions
Funding
Institutional Review Board Statement
Data Availability Statement
Acknowledgments
Conflicts of Interest
References
- Chu, L.-Y. Smart Membrane Materials and Systems: From Flat Membranes to Microcapsule Membranes; Springer Science & Business Media: Berlin/Heidelberg, Germany, 2011. [Google Scholar]
- Saleh, T.A.; Gupta, V.K. Chapter 1—An Overview of Membrane Science and Technology. In Nanomaterial and Polymer Membranes; Saleh, T.A., Gupta, V.K., Eds.; Elsevier: Amsterdam, The Netherlands, 2016; pp. 1–23. [Google Scholar]
- Ulbricht, M. Advanced functional polymer membranes. Polymer 2006, 47, 2217–2262. [Google Scholar] [CrossRef]
- Chuang, C.Y.; Don, T.M.; Chiu, W.Y. Synthesis and properties of chitosan-based thermo-and pH-responsive nanoparticles and application in drug release. J. Polym. Sci. Part A Polym. Chem. 2009, 47, 2798–2810. [Google Scholar] [CrossRef]
- Stile, R.A.; Healy, K.E. Thermo-responsive peptide-modified hydrogels for tissue regeneration. Biomacromolecules 2001, 2, 185–194. [Google Scholar] [CrossRef] [PubMed]
- Gawlitza, K.; Georgieva, R.; Tavraz, N.; Keller, J.; von Klitzing, R. Immobilization of water-soluble HRP within poly-N-isopropylacrylamide microgel particles for use in organic media. Langmuir 2013, 29, 16002–16009. [Google Scholar] [CrossRef]
- Tucker, A.K.; Stevens, M.J. Study of the polymer length dependence of the single chain transition temperature in syndiotactic poly(N-isopropylacrylamide) oligomers in water. Macromolecules 2012, 45, 6697–6703. [Google Scholar] [CrossRef]
- Backes, S.; Krause, P.; Tabaka, W.; Witt, M.U.; Mukherji, D.; Kremer, K.; von Klitzing, R. Poly(N-isopropylacrylamide) microgels under alcoholic intoxication: When a lcst polymer shows swelling with increasing temperature. ACS Macro Lett. 2017, 6, 1042–1046. [Google Scholar] [CrossRef]
- Yamaguchi, T. Development of a fast response molecular recognition ion gating membrane. J. Am. Chem. Soc. 1999, 121, 4078–4079. [Google Scholar] [CrossRef]
- Liang, L.; Shi, M.; Viswanathan, V.V.; Peurrung, L.M.; Young, J.S. Temperature-sensitive polypropylene membranes prepared by plasma polymerization. J. Membr. Sci. 2000, 177, 97–108. [Google Scholar] [CrossRef]
- Li, Y.; Chu, L.-Y.; Zhu, J.-H.; Wang, H.-D.; Xia, S.-L.; Chen, W.-M. Thermoresponsive gating characteristics of poly(N-isopropylacrylamide)-grafted porous poly(vinylidene fluoride) membranes. Ind. Eng. Chem. Res. 2004, 43, 2643–2649. [Google Scholar] [CrossRef]
- Xie, R.; Li, Y.; Chu, L.-Y. Preparation of thermo-responsive gating membranes with controllable response temperature. J. Membr. Sci. 2007, 289, 76–85. [Google Scholar] [CrossRef]
- Yang, M.; Chu, L.Y.; Li, Y.; Zhao, X.J.; Song, H.; Chen, W.M. Thermo-Responsive Gating Characteristics of Poly(N-isopropylacrylamide)-Grafted Membranes. Chem. Eng. Technol. Ind. Chem. -Plant Equip. -Process Eng. -Biotechnol. 2006, 29, 631–636. [Google Scholar] [CrossRef]
- Ohashi, H.; Chi, X.; Kuroki, H.; Yamaguchi, T. Response sensitivity of a gating membrane related to grafted polymer characteristics. Ind. Eng. Chem. Res. 2016, 55, 1575–1581. [Google Scholar] [CrossRef]
- Katesripongsa, P.; Trongsatitkul, T. An optimization of microwave-assisted grafting of poly (N-isopropylacrylamide) (PNIPAM) onto nylon-6 porous film for thermo-responsive gating membrane. Mech. Eng. J. 2019, 6, 19-00038. [Google Scholar] [CrossRef]
- Wu, C. A comparison between thecoil-to-globule’transition of linear chains and the “volume phase transition” of spherical microgels. Polymer 1998, 39, 4609–4619. [Google Scholar] [CrossRef]
- Chen, Y.C.; Xie, R.; Yang, M.; Li, P.F.; Zhu, X.L.; Chu, L.Y. Gating characteristics of thermo-responsive membranes with grafted linear and crosslinked poly(N-isopropylacrylamide) gates. Chem. Eng. Technol. Ind. Chem.-Plant Equip.-Process Eng.-Biotechnol. 2009, 32, 622–631. [Google Scholar] [CrossRef]
- Zhang, X.; Pan, Y.; Gao, Q.; Zhao, J.; Wang, Y.; Liu, C.; Shen, C.; Liu, X. Facile fabrication of durable superhydrophobic mesh via candle soot for oil-water separation. Prog. Org. Coat. 2019, 136, 105253. [Google Scholar] [CrossRef]
- Mercier, S.; Villeneuve, S.; Mondor, M.; Uysal, I. Time–temperature management along the food cold chain: A review of recent developments. Compr. Rev. Food Sci. Food Saf. 2017, 16, 647–667. [Google Scholar] [CrossRef]
- Thompson, A.K.; Prange, R.K.; Bancroft, R.; Puttongsiri, T. Controlled Atmosphere Storage of Fruit and Vegetables; CABI: Wallingford, UK, 2018. [Google Scholar]
- Chi, X.; Ohashi, H.; Yamaguchi, T. Plasma-induced graft polymerization inside pores of porous substrates assisted by an infiltration agent in acidic conditions. Plasma Process. Polym. 2014, 11, 306–314. [Google Scholar] [CrossRef]
- Chen, X.; Zhao, B.; Han, P.; Fu, W.; Chen, L. Temperature-and pH-sensitive membrane formed from blends of poly (vinylidene fluoride)-graft-poly(N-isopropylacrylamide) and poly(acrylic acid) microgels. React. Funct. Polym. 2014, 84, 10–20. [Google Scholar] [CrossRef]
- Ou, R.; Wei, J.; Jiang, L.; Simon, G.P.; Wang, H. Robust thermoresponsive polymer composite membrane with switchable superhydrophilicity and superhydrophobicity for efficient oil–water separation. Environ. Sci. Technol. 2016, 50, 906–914. [Google Scholar] [CrossRef]
- Winotapun, C.; Kerddonfag, N.; Daud, W.; Chinsirikul, W.; Takarada, W.; Kikutani, T. Effect of biaxial-simultaneous stretching conditions on OTR and CO2 permeation of CO2 laser perforated poly (lactic acid) film. Packag. Technol. Sci. 2018, 31, 545–556. [Google Scholar] [CrossRef]
- Winotapun, C.; Kerddonfag, N.; Kumsang, P.; Hararak, B.; Chonhenchob, V.; Yamwong, T.; Chinsirikul, W. Microperforation of three common plastic films by laser and their enhanced oxygen transmission for fresh produce packaging. Packag. Technol. Sci. 2015, 28, 367–383. [Google Scholar] [CrossRef]
- Shah, L.A.; Farooqi, Z.H.; Naeem, H.; Shah, S.M.; Siddiq, M. Synthesis and characterization of poly(N-isopropylacrylamide) hybrid microgels with different cross-linker contents. J. Chem. Soc. Pak. 2013, 35, 1522–1529. [Google Scholar]
- Wang, X.; McCord, M.G. Grafting of poly(N-isopropylacrylamide) onto nylon and polystyrene surfaces by atmospheric plasma treatment followed with free radical graft copolymerization. J. Appl. Polym. Sci. 2007, 104, 3614–3621. [Google Scholar] [CrossRef]
- Yamaguchi, T.; Nakao, S.I.; Kimura, S. Evidence and mechanisms of filling polymerization by plasma-induced graft polymerization. J. Polym. Sci. Part A Polym. Chem. 1996, 34, 1203–1208. [Google Scholar] [CrossRef]
- Manca, M.; Cannavale, A.; De Marco, L.; Arico, A.S.; Cingolani, R.; Gigli, G. Durable superhydrophobic and antireflective surfaces by trimethylsilanized silica nanoparticles-based sol−gel processing. Langmuir 2009, 25, 6357–6362. [Google Scholar] [CrossRef]
- Choi, Y.-J.; Yamaguchi, T.; Nakao, S.-I. A novel separation system using porous thermosensitive membranes. Ind. Eng. Chem. Res. 2000, 39, 2491–2495. [Google Scholar] [CrossRef]
- Custodio, K.K.S.; Claudio, G.C.; Nellas, R.B. Structural dynamics of neighboring water molecules of N-isopropylacrylamide pentamer. ACS Omega 2020, 5, 1408–1413. [Google Scholar] [CrossRef]
- Dong, Y.; Zhu, X.; Shi, F.; Nie, J. Surface photo-anchored PNIPAM crosslinked membrane on glass substrate by covalent bonds. Appl. Surf. Sci. 2014, 307, 7–12. [Google Scholar] [CrossRef]
- Yoon, S.-H. Membrane Bioreactor Processes: Principles and Applications; CRC Press: Boca Raton, FL, USA, 2015. [Google Scholar]
- Xie, R.; Chu, L.-Y.; Chen, W.-M.; Xiao, W.; Wang, H.-D.; Qu, J.-B. Characterization of microstructure of poly(N-isopropylacrylamide)-grafted polycarbonate track-etched membranes prepared by plasma-graft pore-filling polymerization. J. Membr. Sci. 2005, 258, 157–166. [Google Scholar] [CrossRef]
- Chu, L.; Zhu, J.; Chen, W.; Niitsuma, T.; Yamaguchi, T.; Nakao, S. Effect of graft yield on the thermo-responsive permeability through porous membranes with plasma-grafted poly(N-isopropylacrylamide) gates. Chin. J. Chem. Eng. 2003, 11, 269–275. [Google Scholar]
- Wang, G.; Xie, R.; Ju, X.J.; Chu, L.Y. Thermo-responsive polyethersulfone composite membranes blended with poly(N-isopropylacrylamide) nanogels. Chem. Eng. Technol. 2012, 35, 2015–2022. [Google Scholar] [CrossRef]
- Tripathi, B.P.; Dubey, N.C.; Simon, F.; Stamm, M. Thermo responsive ultrafiltration membranes of grafted poly(N-isopropyl acrylamide) via polydopamine. RSC Adv. 2014, 4, 34073–34083. [Google Scholar] [CrossRef]
- Zhao, Y.; Wen, J.; Sun, H.; Pan, D.; Huang, Y.; Bai, Y.; Shao, L. Thermo-responsive separation membrane with smart anti-fouling and self-cleaning properties. Chem. Eng. Res. Des. 2020, 156, 333–342. [Google Scholar] [CrossRef]
- Castaigne, F.; Toupin, C.; Desilets, D. Mathematical modeling of gas exchange in modified atmosphere packaging. Trans. ASAE 1991, 34, 239–0245. [Google Scholar]
- Hasbullah, R.; Syarief, A.M.; Akinaga, T. Gas permeability characteristics of plastic films for packaging of fresh produce. Nogyo Shisetsu (J. Soc. Agric. Struct. Jpn.) 2000, 31, 79–86. [Google Scholar]
- Li, L.; Li, X.-H.; Ban, Z.-J. A mathematical model of the modified atmosphere packaging (MAP) system for the gas transmission rate of fruit produce. Food Technol. Biotechnol. 2010, 48, 71–78. [Google Scholar]
- Yaptenco, K.F.; Kim, J.G.; Lim, B.S. Gas transmission rates of commercially available polyethylene and polypropylene films for modified atmosphere packaging. Philipp. Agric. Sci. 2007, 90, 22. [Google Scholar]
- Larsen, H.; Liland, K.H. Determination of O2 and CO2 transmission rate of whole packages and single perforations in micro-perforated packages for fruit and vegetables. J. Food Eng. 2013, 119, 271–276. [Google Scholar] [CrossRef]
- Malilay, I.; Yaptenco, K.; Elepaño, A.; Casas, E. Gas transmission rates of unperforated and perforated polyethylene films for modified atmosphere packaging applications. Philipp. J. Agric. Biosyst. Eng. (Philipp.) 2011, 9, 51–59. [Google Scholar]
- Fonseca, S.C.; Oliveira, F.A.; Lino, I.B.; Brecht, J.K.; Chau, K.V. Modelling O2 and CO2 exchange for development of perforation-mediated modified atmosphere packaging. J. Food Eng. 2000, 43, 9–15. [Google Scholar] [CrossRef]
- González, J.; Ferrer, A.; Oria, R.; Salvador, M.L. Determination of O2 and CO2 transmission rates through microperforated films for modified atmosphere packaging of fresh fruits and vegetables. J. Food Eng. 2008, 86, 194–201. [Google Scholar] [CrossRef]












| Grafting Yield (%) | |
|---|---|
| Linear | Crosslinked |
| 6.2 | 7.3 |
| 9.0 | 8.9 |
| 10.7 | 10.8 |
| 17.3 | 15.5 |
| 22.5 | 21.9 |
| 35.7 | 92.7 |
| 43.2 | 154.4 |
| Grafting Yield (%) | BET-Specific Surface (m2/g) | Total Pore Volume (cm3/g) |
|---|---|---|
| 0 | 12.25 | 0.035 |
| 1–4 | 10.29 | 0.030 |
| 6–17 | 9.61 | 0.026 |
| 18–22 | 4.69 | 0.017 |
| Structure | Grafting Yield (%) | O2TR (cm3/h) | CO2TR (cm3/h) | β | |||
|---|---|---|---|---|---|---|---|
| 25 °C | 35 °C | 25 °C | 35 °C | 25 °C | 35 °C | ||
| Ungrafted nylon | - | 228 ± 26 | 258 ± 16 | 192 ± 14 | 223 ± 17 | 0.84 ± 0.04 | 0.86 ± 0.01 |
| Linear | 10.7 | 253 ± 14 | 329 ± 22 | 218 ± 7 | 276 ± 8 | 0.86 ± 0.02 | 0.84 ± 0.03 |
| 43.2 | 31 ± 2 | 50 ± 2 | 35 ± 2 | 51 ± 1 | 1.13 ± 0.01 | 1.02 ± 0.05 | |
| Crosslinked | 10.8 | 170 ± 37 | 253 ± 9 | 163 ± 21 | 218 ± 2 | 0.96 ± 0.11 | 0.86 ± 0.03 |
| 92.7 | 28 ± 4 | 40 ± 1 | 31 ± 1 | 38 ± 1 | 1.11 ± 0.18 | 0.95 ± 0.03 | |
Disclaimer/Publisher’s Note: The statements, opinions and data contained in all publications are solely those of the individual author(s) and contributor(s) and not of MDPI and/or the editor(s). MDPI and/or the editor(s) disclaim responsibility for any injury to people or property resulting from any ideas, methods, instructions or products referred to in the content. |
© 2023 by the authors. Licensee MDPI, Basel, Switzerland. This article is an open access article distributed under the terms and conditions of the Creative Commons Attribution (CC BY) license (https://creativecommons.org/licenses/by/4.0/).
Share and Cite
Kajornprai, T.; Katesripongsa, P.; Nam, S.Y.; Hamid, Z.A.A.; Ruksakulpiwat, Y.; Suppakarn, N.; Trongsatitkul, T. Potential Applications of Thermoresponsive Poly(N-Isoproplacrylamide)-Grafted Nylon Membranes: Effect of Grafting Yield and Architecture on Gating Performance. Polymers 2023, 15, 497. https://doi.org/10.3390/polym15030497
Kajornprai T, Katesripongsa P, Nam SY, Hamid ZAA, Ruksakulpiwat Y, Suppakarn N, Trongsatitkul T. Potential Applications of Thermoresponsive Poly(N-Isoproplacrylamide)-Grafted Nylon Membranes: Effect of Grafting Yield and Architecture on Gating Performance. Polymers. 2023; 15(3):497. https://doi.org/10.3390/polym15030497
Chicago/Turabian StyleKajornprai, Todsapol, Putita Katesripongsa, Sang Yong Nam, Zuratul Ain Abdul Hamid, Yupaporn Ruksakulpiwat, Nitinat Suppakarn, and Tatiya Trongsatitkul. 2023. "Potential Applications of Thermoresponsive Poly(N-Isoproplacrylamide)-Grafted Nylon Membranes: Effect of Grafting Yield and Architecture on Gating Performance" Polymers 15, no. 3: 497. https://doi.org/10.3390/polym15030497
APA StyleKajornprai, T., Katesripongsa, P., Nam, S. Y., Hamid, Z. A. A., Ruksakulpiwat, Y., Suppakarn, N., & Trongsatitkul, T. (2023). Potential Applications of Thermoresponsive Poly(N-Isoproplacrylamide)-Grafted Nylon Membranes: Effect of Grafting Yield and Architecture on Gating Performance. Polymers, 15(3), 497. https://doi.org/10.3390/polym15030497

