Highly Efficient Flexible Roll-to-Roll Organic Photovoltaics Based on Non-Fullerene Acceptors
Abstract
:1. Introduction
2. Materials and Methods
2.1. Preparation of Solution
2.2. Preparation of Devices
2.3. Instrumentation
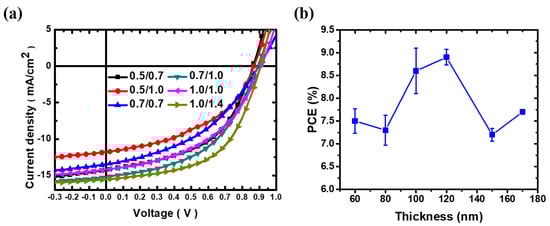
3. Results and Discussion
4. Conclusions
Author Contributions
Funding
Institutional Review Board Statement
Data Availability Statement
Conflicts of Interest
References
- Huang, W.; Cheng, P.; Yang, Y.; Li, G.; Yang, Y. High-Performance Organic Bulk-Heterojunction Solar Cells Based on Multiple-Donor or Multiple-Acceptor Components. Adv. Mater. 2018, 30, 1705706. [Google Scholar] [CrossRef] [PubMed]
- Zhang, G.; Zhao, J.; Chow, P.C.Y.; Jiang, K.; Zhang, J.; Zhu, Z.; Zhang, J.; Huang, F.; Yan, H. Nonfullerene Acceptor Molecules for Bulk Heterojunction Organic Solar Cells. Chem. Rev. 2018, 118, 3447–3507. [Google Scholar] [CrossRef] [PubMed]
- Xu, X.; Feng, K.; Bi, Z.; Ma, W.; Zhang, G.; Peng, Q. Single-Junction Polymer Solar Cells with 16.35% Efficiency Enabled by a Platinum(II) Complexation Strategy. Adv. Mater. 2019, 31, 1901872. [Google Scholar] [CrossRef] [PubMed]
- Guo, J.; Min, J. A Cost Analysis of Fully Solution-Processed ITO-Free Organic Solar Modules. Adv. Energy Mater. 2019, 9, 1802521. [Google Scholar] [CrossRef]
- Liang, Y.; Xu, Z.; Xia, J.; Tsai, S.-T.; Wu, Y.; Li, G.; Ray, C.; Yu, L. For the Bright Future—Bulk Heterojunction Polymer Solar Cells with Power Conversion Efficiency of 7.4%. Adv. Mater. 2010, 22, E135–E138. [Google Scholar] [CrossRef] [PubMed]
- Lu, L.; Yu, L. Understanding Low Bandgap Polymer PTB7 and Optimizing Polymer Solar Cells Based on It. Adv. Mater. 2014, 26, 4413–4430. [Google Scholar] [CrossRef]
- Liao, S.-H.; Jhuo, H.-J.; Cheng, Y.-S.; Chen, S.-A. Fullerene Derivative-Doped Zinc Oxide Nanofilm as the Cathode of Inverted Polymer Solar Cells with Low-Bandgap Polymer (PTB7-Th) for High Performance. Adv. Mater. 2013, 25, 4766–4771. [Google Scholar] [CrossRef]
- Ma, W.; Yang, G.; Jiang, K.; Carpenter, J.H.; Wu, Y.; Meng, X.; McAfee, T.; Zhao, J.; Zhu, C.; Wang, C.; et al. Influence of Processing Parameters and Molecular Weight on the Morphology and Properties of High-Performance PffBT4T-2OD:PC71BM Organic Solar Cells. Adv. Energy Mater. 2015, 5, 1501400. [Google Scholar] [CrossRef]
- Kan, B.; Li, M.; Zhang, Q.; Liu, F.; Wan, X.; Wang, Y.; Ni, W.; Long, G.; Yang, X.; Feng, H.; et al. A Series of Simple Oligomer-like Small Molecules Based on Oligothiophenes for Solution-Processed Solar Cells with High Efficiency. J. Am. Chem. Soc. 2015, 137, 3886–3893. [Google Scholar] [CrossRef]
- Gasparini, N.; Lucera, L.; Salvador, M.; Prosa, M.; Spyropoulos, G.D.; Kubis, P.; Egelhaaf, H.-J.; Brabec, C.J.; Ameri, T. High-performance ternary organic solar cells with thick active layer exceeding 11% efficiency. Energy Environ. Sci. 2017, 10, 885–892. [Google Scholar] [CrossRef]
- Perdigón-Toro, L.; Zhang, H.; Markina, A.; Yuan, J.; Hosseini, S.M.; Wolff, C.M.; Zuo, G.; Stolterfoht, M.; Zou, Y.; Gao, F.; et al. Barrierless Free Charge Generation in the High-Performance PM6:Y6 Bulk Heterojunction Non-Fullerene Solar Cell. Adv. Mater. 2020, 32, 1906763. [Google Scholar] [CrossRef]
- Zeng, Y.; Li, D.; Wu, H.; Chen, Z.; Leng, S.; Hao, T.; Xiong, S.; Xue, Q.; Ma, Z.; Zhu, H.; et al. Enhanced Charge Transport and Broad Absorption Enabling Record 18.13% Efficiency of PM6:Y6 Based Ternary Organic Photovoltaics with a High Fill Factor Over 80%. Adv. Funct. Mater. 2022, 32, 2110743. [Google Scholar] [CrossRef]
- Seo, S.; Lee, J.-W.; Kim, D.J.; Lee, D.; Phan, T.N.-L.; Park, J.; Tan, Z.; Cho, S.; Kim, T.-S.; Kim, B.J. Poly(dimethylsiloxane)-block-PM6 Polymer Donors for High-Performance and Mechanically Robust Polymer Solar Cells. Adv. Mater. 2023, 35, 2300230. [Google Scholar] [CrossRef] [PubMed]
- Li, X.; Tang, A.; Wang, H.; Wang, Z.; Du, M.; Guo, Q.; Guo, Q.; Zhou, E. Benzotriazole-Based 3D Four-Arm Small Molecules Enable 19.1 % Efficiency for PM6 : Y6-Based Ternary Organic Solar Cells. Angew. Chem. Int. Ed. 2023, 62, e202306847. [Google Scholar] [CrossRef] [PubMed]
- Liu, Q.; Jiang, Y.; Jin, K.; Qin, J.; Xu, J.; Li, W.; Xiong, J.; Liu, J.; Xiao, Z.; Sun, K.; et al. 18% Efficiency organic solar cells. Sci. Bull. 2020, 65, 272–275. [Google Scholar] [CrossRef] [PubMed]
- Guo, X.; Zhou, N.; Lou, S.J.; Smith, J.; Tice, D.B.; Hennek, J.W.; Ortiz, R.P.; Navarrete, J.T.L.; Li, S.; Strzalka, J.; et al. Polymer solar cells with enhanced fill factors. Nat. Photonics 2013, 7, 825–833. [Google Scholar] [CrossRef]
- Zhang, Q.; Yuan, X.; Feng, Y.; Larson, B.W.; Su, G.M.; Maung Maung, Y.; Rujisamphan, N.; Li, Y.; Yuan, J.; Ma, W. Understanding the Interplay of Transport-Morphology-Performance in PBDB-T-Based Polymer Solar Cells. Solar RRL 2020, 4, 1900524. [Google Scholar] [CrossRef]
- Yan, Y.; Zhou, X.; Zhang, F.; Zhou, J.; Lin, T.; Zhu, Y.; Xu, D.; Ma, X.; Zou, Y.; Li, X. High-performance pseudo-bilayer ternary organic solar cells with PC71BM as the third component. J. Mater. Chem. A 2022, 10, 23124–23133. [Google Scholar] [CrossRef]
- Madduri, S.; GKodange, V.; Raavi, S.S.K.; Singh, S.G. Understanding Improved Performance of Vacuum-Deposited All Small-Molecule Organic Solar Cells Upon Postprocessing Thermal Treatment. IEEE J. Photovolt. 2023, 13, 411–418. [Google Scholar] [CrossRef]
- Zhang, H.; Yao, H.; Hou, J.; Zhu, J.; Zhang, J.; Li, W.; Yu, R.; Gao, B.; Zhang, S.; Hou, J. Over 14% Efficiency in Organic Solar Cells Enabled by Chlorinated Nonfullerene Small-Molecule Acceptors. Adv. Mater. 2018, 30, 1800613. [Google Scholar] [CrossRef]
- Yao, Z.; Liao, X.; Gao, K.; Lin, F.; Xu, X.; Shi, X.; Zuo, L.; Liu, F.; Chen, Y.; Jen, A.K.Y. Dithienopicenocarbazole-Based Acceptors for Efficient Organic Solar Cells with Optoelectronic Response Over 1000 nm and an Extremely Low Energy Loss. J. Am. Chem. Soc. 2018, 140, 2054–2057. [Google Scholar] [CrossRef] [PubMed]
- Liu, J.; Chen, S.; Qian, D.; Gautam, B.; Yang, G.; Zhao, J.; Bergqvist, J.; Zhang, F.; Ma, W.; Ade, H.; et al. Fast charge separation in a non-fullerene organic solar cell with a small driving force. Nat. Energy 2016, 1, 16089. [Google Scholar] [CrossRef]
- Yuan, J.; Zhang, Y.; Zhou, L.; Zhang, G.; Yip, H.-L.; Lau, T.-K.; Lu, X.; Zhu, C.; Peng, H.; Johnson, P.A.; et al. Single-Junction Organic Solar Cell with over 15% Efficiency Using Fused-Ring Acceptor with Electron-Deficient Core. Joule 2019, 3, 1140–1151. [Google Scholar] [CrossRef]
- Fan, B.; Zhang, D.; Li, M.; Zhong, W.; Zeng, Z.; Ying, L.; Huang, F.; Cao, Y. Achieving over 16% efficiency for single-junction organic solar cells. Sci. China Chem. 2019, 62, 746–752. [Google Scholar] [CrossRef]
- Meng, L.; Zhang, Y.; Wan, X.; Li, C.; Zhang, X.; Wang, Y.; Ke, X.; Xiao, Z.; Ding, L.; Xia, R.; et al. Organic and solution-processed tandem solar cells with 17.3% efficiency. Science 2018, 361, 1094–1098. [Google Scholar] [CrossRef] [PubMed]
- Luo, D.; Brabec, C.J.; Kyaw, A.K.K. Non-fused ring electron acceptors for high-performance and low-cost organic solar cells: Structure-function, stability and synthesis complexity analysis. Nano Energy 2023, 114, 108661. [Google Scholar] [CrossRef]
- Zhou, D.; Wang, J.; Xu, Z.; Xu, H.; Quan, J.; Deng, J.; Li, Y.; Tong, Y.; Hu, B.; Chen, L. Recent advances of nonfullerene acceptors in organic solar cells. Nano Energy 2022, 103, 107802. [Google Scholar] [CrossRef]
- Wang, J.; Zheng, Z.; Zu, Y.; Wang, Y.; Liu, X.; Zhang, S.; Zhang, M.; Hou, J. A Tandem Organic Photovoltaic Cell with 19.6% Efficiency Enabled by Light Distribution Control. Adv. Mater. 2021, 33, 2102787. [Google Scholar] [CrossRef]
- Huang, Y.-C.; Chia, H.-C.; Chuang, C.-M.; Tsao, C.-S.; Chen, C.-Y.; Su, W.-F. Facile hot solvent vapor annealing for high performance polymer solar cell using spray process. Sol. Energy Mater. Sol. Cells 2013, 114, 24–30. [Google Scholar] [CrossRef]
- Spooner, E.L.K.; Cassella, E.J.; Smith, J.A.; Catley, T.E.; Burholt, S.; Lidzey, D.G. Air-Knife-Assisted Spray Coating of Organic Solar Cells. ACS Appl. Mater. Interfaces 2023, 15, 39625–39635. [Google Scholar] [CrossRef]
- Eggenhuisen, T.M.; Galagan, Y.; Coenen, E.W.C.; Voorthuijzen, W.P.; Slaats, M.W.L.; Kommeren, S.A.; Shanmuganam, S.; Coenen, M.J.J.; Andriessen, R.; Groen, W.A. Digital fabrication of organic solar cells by Inkjet printing using non-halogenated solvents. Sol. Energy Mater. Sol. Cells 2015, 134, 364–372. [Google Scholar] [CrossRef]
- Chen, X.; Huang, R.; Han, Y.; Zha, W.; Fang, J.; Lin, J.; Luo, Q.; Chen, Z.; Ma, C.-Q. Balancing the Molecular Aggregation and Vertical Phase Separation in the Polymer: Nonfullerene Blend Films Enables 13.09% Efficiency of Organic Solar Cells with Inkjet-Printed Active Layer. Adv. Energy Mater. 2022, 12, 2200044. [Google Scholar] [CrossRef]
- Sang, L.; Chen, X.; Fang, J.; Xu, P.; Tian, W.; Shui, K.; Han, Y.; Wang, H.; Huang, R.; Zhang, Q.; et al. Elimination of Drying-Dependent Component Deviation Using a Composite Solvent Strategy Enables High-Performance Inkjet-Printed Organic Solar Cells with Efficiency Approaching 16%. Adv. Funct. Mater. 2023, Volume, 2304824. [Google Scholar] [CrossRef]
- Lim, S.-L.; Chen, E.-C.; Chen, C.-Y.; Ong, K.-H.; Chen, Z.-K.; Meng, H.-F. High performance organic photovoltaic cells with blade-coated active layers. Sol. Energy Mater. Sol. Cells 2012, 107, 292–297. [Google Scholar] [CrossRef]
- Zhang, J.; Zhang, L.; Wang, X.; Xie, Z.; Hu, L.; Mao, H.; Xu, G.; Tan, L.; Chen, Y. Reducing Photovoltaic Property Loss of Organic Solar Cells in Blade-Coating by Optimizing Micro-Nanomorphology via Nonhalogenated Solvent. Adv. Energy Mater. 2022, 12, 2200165. [Google Scholar] [CrossRef]
- Zhang, B.; Yang, F.; Chen, S.; Chen, H.; Zeng, G.; Shen, Y.; Li, Y.; Li, Y. Fluid Mechanics Inspired Sequential Blade-Coating for High-Performance Large-Area Organic Solar Modules. Adv. Funct. Mater. 2022, 32, 2202011. [Google Scholar] [CrossRef]
- Wang, Y.; Xue, J.; Zhong, H.; Everett, C.R.; Jiang, X.; Reus, M.A.; Chumakov, A.; Roth, S.V.; Adedeji, M.A.; Jili, N.; et al. Control of the Crystallization and Phase Separation Kinetics in Sequential Blade-Coated Organic Solar Cells by Optimizing the Upper Layer Processing Solvent. Adv. Energy Mater. 2023, 13, 2203496. [Google Scholar] [CrossRef]
- Liu, F.; Ferdous, S.; Schaible, E.; Hexemer, A.; Church, M.; Ding, X.; Wang, C.; Russell, T.P. Fast Printing and In Situ Morphology Observation of Organic Photovoltaics Using Slot-Die Coating. Adv. Mater. 2015, 27, 886–891. [Google Scholar] [CrossRef]
- Cha, H.-C.; Huang, Y.-C.; Hsu, F.-H.; Chuang, C.-M.; Lu, D.-H.; Chou, C.-W.; Chen, C.-Y.; Tsao, C.-S. Performance improvement of large-area roll-to-roll slot-die-coated inverted polymer solar cell by tailoring electron transport layer. Sol. Energy Mater Sol. Cells 2014, 130, 191–198. [Google Scholar] [CrossRef]
- Xue, J.; Zhao, H.; Lin, B.; Wang, Y.; Zhu, Q.; Lu, G.; Wu, B.; Bi, Z.; Zhou, X.; Zhao, C.; et al. Nonhalogenated Dual-Slot-Die Processing Enables High-Efficiency Organic Solar Cells. Adv. Mater. 2022, 34, 2202659. [Google Scholar] [CrossRef]
- Zhao, H.; Lin, B.; Xue, J.; Naveed, H.B.; Zhao, C.; Zhou, X.; Zhou, K.; Wu, H.; Cai, Y.; Yun, D.; et al. Kinetics Manipulation Enables High-Performance Thick Ternary Organic Solar Cells via R2R-Compatible Slot-Die Coating. Adv. Mater. 2022, 34, 2105114. [Google Scholar] [CrossRef] [PubMed]
- Shen, Y.-F.; Zhang, H.; Zhang, J.; Tian, C.; Shi, Y.; Qiu, D.; Zhang, Z.; Lu, K.; Wei, Z. In Situ Absorption Characterization Guided Slot-Die-Coated High-Performance Large-Area Flexible Organic Solar Cells and Modules. Adv. Mater. 2023, 35, 2209030. [Google Scholar] [CrossRef] [PubMed]
- Lin, Y.; Jin, Y.; Dong, S.; Zheng, W.; Yang, J.; Liu, A.; Liu, F.; Jiang, Y.; Russell, T.P.; Zhang, F.; et al. Printed Nonfullerene Organic Solar Cells with the Highest Efficiency of 9.5%. Adv. Energy Mater. 2018, 8, 1701942. [Google Scholar] [CrossRef]
- Na, S.-I.; Seo, Y.-H.; Nah, Y.-C.; Kim, S.-S.; Heo, H.; Kim, J.-E.; Rolston, N.; Dauskardt, R.H.; Gao, M.; Lee, Y.; et al. High Performance Roll-to-Roll Produced Fullerene-Free Organic Photovoltaic Devices via Temperature-Controlled Slot Die Coating. Adv. Funct. Mater. 2019, 29, 1805825. [Google Scholar] [CrossRef]
- Huang, Y.-C.; Cha, H.-C.; Chen, C.-Y.; Tsao, C.-S. A universal roll-to-roll slot-die coating approach towards high-efficiency organic photovoltaics. Prog. Photovolt. Res. Appl. 2017, 25, 928–935. [Google Scholar] [CrossRef]
- Cha, H.-C.; Huang, Y.-C.; Li, C.-F.; Tsao, C.-S. Uniformity and process stability of the slot-die coated PTB7:PC71BM organic photovoltaic improved by solvent additives. Mater. Chem. Phys. 2023, 302, 127684. [Google Scholar] [CrossRef]
- Sung, Y.-M.; Akbar, A.K.; Biring, S.; Li, C.-F.; Huang, Y.-C.; Liu, S.-W. The effect of ZnO preparation on the performance of inverted polymer solar cells under one sun and indoor light. J. Mater. Chem. C 2021, 9, 1196–1204. [Google Scholar] [CrossRef]
- Lee, C.-Y.; Tsao, C.-S.; Lin, H.-K.; Cha, H.-C.; Chung, T.-Y.; Sung, Y.-M.; Huang, Y.-C. Encapsulation improvement and stability of ambient roll-to-roll slot-die-coated organic photovoltaic modules. Sol. Energy 2021, 213, 136–144. [Google Scholar] [CrossRef]
- Zhao, W.; Qian, D.; Zhang, S.; Li, S.; Inganäs, O.; Gao, F.; Hou, J. Fullerene-Free Polymer Solar Cells with over 11% Efficiency and Excellent Thermal Stability. Adv. Mater. 2016, 28, 4734–4739. [Google Scholar] [CrossRef]
- Zheng, Z.; Yao, H.; Ye, L.; Xu, Y.; Zhang, S.; Hou, J. PBDB-T and its derivatives: A family of polymer donors enables over 17% efficiency in organic photovoltaics. Mater. Today 2020, 35, 115–130. [Google Scholar] [CrossRef]
- Liang, Q.; Han, J.; Song, C.; Yu, X.; Smilgies, D.-M.; Zhao, K.; Liu, J.; Han, Y. Reducing the confinement of PBDB-T to ITIC to improve the crystallinity of PBDB-T/ITIC blends. J. Mater. Chem. A 2018, 6, 15610–15620. [Google Scholar] [CrossRef]
- Galagan, Y.; Coenen, E.W.C.; Verhees, W.J.H.; Andriessen, R. Towards the scaling up of perovskite solar cells and modules. J. Mater. Chem. A 2016, 4, 5700–5705. [Google Scholar] [CrossRef]







| Spin Rate (rpm) | Atmosphere | Jsc (mA/cm2) | Voc (V) | FF | PCE (%) |
|---|---|---|---|---|---|
| 3000 | N2 | 17.62 (17.66 ± 0.24) | 0.89 (0.89 ± 0.00) | 0.55 (0.53 ± 0.011) | 8.62 (8.40 ± 0.16) |
| Air | 15.58 (15.58 ± 0.14) | 0.88 (0.89 ± 0.01) | 0.59 (0.57 ± 0.014) | 8.09 (7.93 ± 0.24) | |
| 5000 | N2 | 18.52 (17.68 ± 0.75) | 0.90 (0.90 ± 0.01) | 0.61 (0.61 ± 0.011) | 10.17 (9.75 ± 0.30) |
| Air | 15.83 (15.72 ± 0.10) | 0.89 (0.89 ± 0.01) | 0.63 (0.62 ± 0.006) | 8.88 (8.67 ± 0.12) |
| R2R Oven Temp. (°C) | Jsc (mA/cm2) | Voc (V) | FF | PCE (%) |
|---|---|---|---|---|
| 100 | 14.63 (14.71 ± 0.15) | 0.86 (0.86 ± 0.01) | 0.56 (0.54 ± 0.03) | 7.05 (6.78 ± 0.33) |
| 120 | 14.80 (14.70 ± 0.26) | 0.87 (0.86 ± 0.01) | 0.57 (0.56 ± 0.01) | 7.34 (7.15 ± 0.10) |
| 140 | 14.42 (14.50 ± 0.07) | 0.86 (0.86 ± 0.01) | 0.54 (0.53 ± 0.01) | 6.70 (6.60 ± 0.08) |
| DIO Amount (vol%) | Jsc (mA/cm2) | Voc (V) | FF | PCE (%) |
|---|---|---|---|---|
| w/o | 15.30 (15.29 ± 0.05) | 0.86 (0.86 ± 0.01) | 0.53 (0.52 ± 0.01) | 7.00 (6.93 ± 0.06) |
| 0.25 | 16.22 (16.12 ± 0.11) | 0.90 (0.90 ± 0.01) | 0.56 (0.56 ± 0.01) | 8.20 (8.07 ± 0.15) |
| 0.5 | 15.44 (15.69 ± 0.38) | 0.90 (0.90 ± 0.01) | 0.57 (0.56 ± 0.01) | 7.90 (7.90 ± 0.03) |
| 1 | 14.65 (14.24 ± 0.36) | 0.96 (0.94 ± 0.01) | 0.53 (0.53 ± 0.01) | 7.30 (7.10 ± 0.17) |
| Annealing Time (min) | Jsc (mA/cm2) | Voc (V) | FF | PCE (%) |
|---|---|---|---|---|
| w/o | 16.23 (16.41 ± 0.40) | 0.90 (0.89 ± 0.01) | 0.56 (0.56 ± 0.01) | 8.20 (8.10 ± 0.10) |
| 10 | 15.47 (15.46 ± 0.05) | 0.90 (0.89 ± 0.01) | 0.58 (0.59 ± 0.01) | 8.10 (8.07 ± 0.06) |
| 20 | 15.54 (15.50 ± 0.02) | 0.89 (0.89 ± 0.01) | 0.59 (0.59 ± 0.01) | 8.20 (8.16 ± 0.06) |
| 30 | 16.04 (15.81 ± 0.20) | 0.89 (0.89 ± 0.01) | 0.60 (0.61 ± 0.01) | 8.70 (8.60 ± 0.10) |
| Annealing Temperature (°C) | Jsc (mA/cm2) | Voc (V) | FF | PCE (%) |
|---|---|---|---|---|
| w/o | 16.23 (16.41 ± 0.40) | 0.90 (0.89 ± 0.01) | 0.56 (0.56 ± 0.01) | 8.20 (8.10 ± 0.10) |
| 120 | 16.07 (15.91 ± 0.15) | 0.90 (0.87 ± 0.04) | 0.60 (0.58 ± 0.03) | 8.61 (8.06 ± 0.51) |
| 140 | 16.04 (15.81 ± 0.20) | 0.89 (0.89 ± 0.01) | 0.60 (0.61 ± 0.01) | 8.70 (8.60 ± 0.10) |
| 160 | 14.10 (14.29 ± 0.04) | 0.86 (0.82 ± 0.01) | 0.55 (0.57 ± 0.01) | 6.70 (6.63 ± 0.09) |
| Input Rate/ Coating Speed (mL·min−1/m·min−1) | Jsc (mA/cm2) | Voc (V) | FF | PCE (%) | Thickness (nm) |
|---|---|---|---|---|---|
| 0.5/0.7 | 14.50 (14.60 ± 0.31) | 0.88 (0.88 ± 0.01) | 0.58 (0.56 ± 0.01) | 7.30 (7.22 ± 0.33) | 80.6 ± 1.5 |
| 0.5/1.0 | 13.80 (13.71 ± 0.11) | 0.90 (0.90 ± 0.01) | 0.60 (0.59 ± 0.02) | 7.50 (7.30 ± 0.27) | 59.6 ± 0.9 |
| 0.7/0.7 | 15.13 (15.13 ± 0.01) | 0.89 (0.88 ± 0.01) | 0.54 (0.53 ± 0.06) | 7.20 (7.10 ± 0.14) | 150.2 ± 3.3 |
| 0.7/1.0 | 16.08 (15.92 ± 0.15) | 0.91 (0.88 ± 0.05) | 0.59 (0.58 ± 0.04) | 8.60 (8.07 ± 0.50) | 100.2 ± 1.1 |
| 1.0/1.0 | 16.68 (16.71 ± 0.05) | 0.89 (0.89 ± 0.01) | 0.52 (0.52 ± 0.01) | 7.70 (7.70 ± 0.01) | 170.6 ± 2.2 |
| 1.0/1.4 | 17.42 (17.39 ± 0.44) | 0.90 (0.90 ± 0.01) | 0.57 (0.55 ± 0.01) | 8.90 (8.75 ± 0.17) | 120.1 ± 2.0 |
| Active Area (cm2) | Jsc (mA/cm2) | Voc (V) | FF | PCE (%) |
|---|---|---|---|---|
| 1 × 0.3 | 14.29 | 0.88 | 54.68 | 6.90 |
| 1 × 1 | 14.21 | 0.88 | 50.30 | 6.30 |
| 1 × 2 | 13.88 | 0.89 | 46.90 | 5.80 |
| 1 × 4 | 13.66 | 0.88 | 47.10 | 5.70 |
Disclaimer/Publisher’s Note: The statements, opinions and data contained in all publications are solely those of the individual author(s) and contributor(s) and not of MDPI and/or the editor(s). MDPI and/or the editor(s) disclaim responsibility for any injury to people or property resulting from any ideas, methods, instructions or products referred to in the content. |
© 2023 by the authors. Licensee MDPI, Basel, Switzerland. This article is an open access article distributed under the terms and conditions of the Creative Commons Attribution (CC BY) license (https://creativecommons.org/licenses/by/4.0/).
Share and Cite
Huang, Y.-C.; Cha, H.-C.; Huang, S.-H.; Li, C.-F.; Santiago, S.R.M.; Tsao, C.-S. Highly Efficient Flexible Roll-to-Roll Organic Photovoltaics Based on Non-Fullerene Acceptors. Polymers 2023, 15, 4005. https://doi.org/10.3390/polym15194005
Huang Y-C, Cha H-C, Huang S-H, Li C-F, Santiago SRM, Tsao C-S. Highly Efficient Flexible Roll-to-Roll Organic Photovoltaics Based on Non-Fullerene Acceptors. Polymers. 2023; 15(19):4005. https://doi.org/10.3390/polym15194005
Chicago/Turabian StyleHuang, Yu-Ching, Hou-Chin Cha, Shih-Han Huang, Chia-Feng Li, Svette Reina Merden Santiago, and Cheng-Si Tsao. 2023. "Highly Efficient Flexible Roll-to-Roll Organic Photovoltaics Based on Non-Fullerene Acceptors" Polymers 15, no. 19: 4005. https://doi.org/10.3390/polym15194005
APA StyleHuang, Y.-C., Cha, H.-C., Huang, S.-H., Li, C.-F., Santiago, S. R. M., & Tsao, C.-S. (2023). Highly Efficient Flexible Roll-to-Roll Organic Photovoltaics Based on Non-Fullerene Acceptors. Polymers, 15(19), 4005. https://doi.org/10.3390/polym15194005

