Freeze–Thaw Damage Mechanism Analysis of SBS Asphalt Mixture Containing Basalt Fiber and Lignocellulosic Fiber Based on Microscopic Void Characteristics
Abstract
:1. Introduction
2. Materials and Methods
2.1. Raw Materilas
2.2. Asphalt Mixture Proportion Design
2.3. Experimental Methods
3. Results and Discussion
3.1. Damage Characteristics of Fiber-Modified SMA Mixture under Freeze–Thaw Cycles
3.1.1. Void Content Analysis
3.1.2. Marshall Stability Analysis
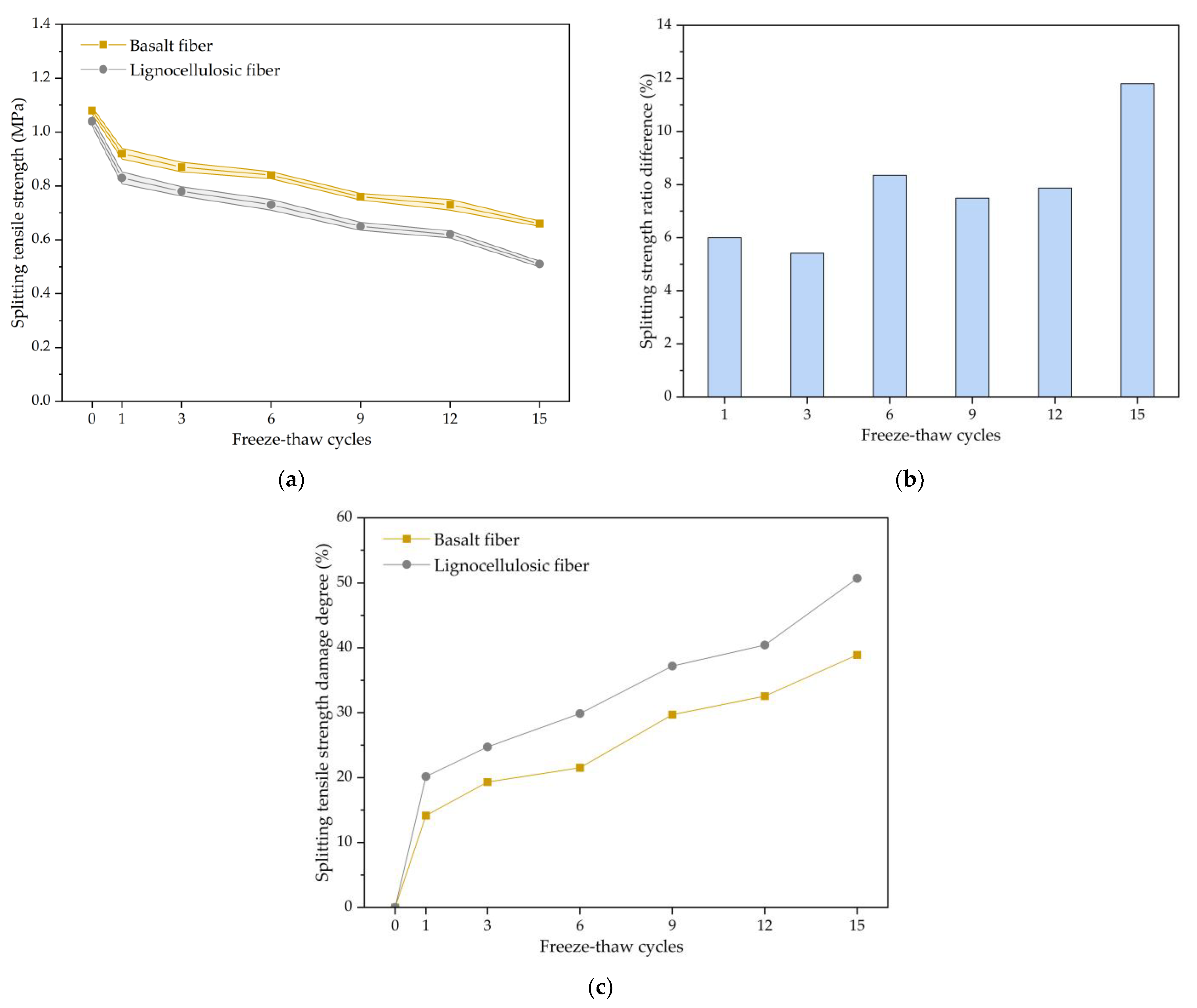
3.1.3. Splitting Tensile Strength Analysis
3.1.4. Indirect Tensile Stiffness Modulus Analysis
3.2. Microscopic Freeze–Thaw Damage Mechanism of Asphalt Mixture Based on CT Images
3.2.1. Evolution Law of Void Content and Void Number
- Void Content
- Void Number
3.2.2. Evolution Law of the Fractal Dimension
3.2.3. Evolution Law of Angularity
3.2.4. Evolution Law of Roundness
3.2.5. Evolution Law of the Aspect Ratio
4. Conclusions
- (1)
- The mechanical performance of two types of asphalt mixtures decreases with an increasing number of freeze–thaw cycles. The rate of decrease is faster in the early stages of the freeze–thaw cycles and gradually becomes more moderate as the freeze–thaw tests continue. The air void content and mechanical properties of basalt-fiber-modified SMA-13 are higher than those of lignocellulosic-fiber-modified SMA-13, indicating that adding basalt fibers to SMA-13 asphalt mixture can improve its mechanical performance.
- (2)
- Both types of asphalt mixtures exhibit an increasing trend in damage degree with an increasing number of freeze–thaw cycles, indicating that the damage is irreversible. The stability damage degrees of the two asphalt mixtures are similar, but the splitting strength damage degree and stiffness modulus damage degree of basalt-fiber-modified SMA-13 are lower than those of lignocellulosic-fiber-modified SMA-13. This also suggests that adding basalt fibers to SMA-13 can enhance its resistance to freeze–thaw damage.
- (3)
- Under the repeated action of freeze–thaw cycles, the surface wear of asphalt mixtures is a complex dynamic process. Revealing the mechanism of surface wear of the mixture using fractal theory and describing the surface wear behavior and void deformation characteristics of the mixture using the fractal dimension, angularity, roundness, and aspect ratio are highly reasonable and effective approaches.
- (4)
- The variation law of the fractal dimension, angularity, and roundness is consistent, indicating that the effect of freeze–thaw on the destruction of voids is concentrated in the early stage, and the effect is significant.
Author Contributions
Funding
Institutional Review Board Statement
Data Availability Statement
Conflicts of Interest
References
- Amini, B.; Tehrani, S.S. Simultaneous effects of salted water and water flow on asphalt concrete pavement deterioration under freeze-thaw cycles. Int. J. Pavement Eng. 2014, 15, 383–391. [Google Scholar] [CrossRef]
- Deng, X.H.; Liu, W.X.; Ma, W.B. Effect of freeze-thaw cycle on interface properties of concrete repaired by potting glue. J. Munic. Technol. 2022, 40, 32–38. [Google Scholar] [CrossRef]
- Eltwati, A.; Al-Saffar, Z.; Mohamed, A.; Hainin, M.R.; Elnihum, A.; Enieb, M. Synergistic effect of sbs copolymers and aromatic oil on the characteristics of asphalt binders and mixtures containing reclaimed asphalt pavement. Constr. Build. Mater. 2022, 327, 127026. [Google Scholar] [CrossRef]
- Dong, K.N.; Liu, Y.; Li, L.Y. Pavement performance ofnano-sio2 and sbs composite modified asphalt. J. Munic. Technol. 2022, 40, 69–74. [Google Scholar] [CrossRef]
- Zarei, M.; Kordani, A.A.; Ghamarimajd, Z.; Khajehzadeh, M.; Khanjari, M.; Zahedi, M. Evaluation of fracture resistance of asphalt concrete involving calcium lignosulfonate and polyester fiber under freeze-thaw damage. Theor. Appl. Fract. Mech. 2022, 117, 103168. [Google Scholar] [CrossRef]
- Wang, W.S.; Tan, G.J.; Liang, C.Y.; Wang, Y.; Cheng, Y.C. Study on viscoelastic properties of asphalt mixtures incorporating sbs polymer and basalt fiber under freeze-thaw cycles. Polymers 2020, 12, 1804. [Google Scholar] [CrossRef]
- Ruslan, I.; Ruslan, B.; Evgenij, K. The effect of metal and polypropylene fiber on technological and physical mechanical properties of activated cement compositions. Case Stud. Constr. Mater. 2022, 16, e00882. [Google Scholar] [CrossRef]
- Babaee, M.; Jonoobi, M.; Hamzeh, Y.; Ashori, A. Biodegradability and mechanical properties of reinforced starch nanocomposites using cellulose nanofibers. Carbohydr. Polym. 2015, 132, 1–8. [Google Scholar] [CrossRef]
- Rudi, H.; Hamzeh, Y.; Garmaroody, E.R.; Petroudy, S.R.D.; Nazhad, M.M. Multilayer assembly of ionic starches on old corrugated container recycled cellulosic fibers. Polym. Int. 2018, 67, 85–90. [Google Scholar] [CrossRef]
- Zhang, X.Y.; Zhang, Y.; Yang, H.; Lin, Q.; Tang, B.M. Laboratory investigation of the water damage resistance of tuff asphalt mixture modified with additives. Coatings 2023, 13, 302. [Google Scholar] [CrossRef]
- Terrones-Saeta, J.M.; Suarez-Macias, J.; Iglesias-Godino, F.J.; Corpas-Iglesias, F.A. Development of porous asphalt with bitumen emulsion, electric arc furnace slag and cellulose fibers for medium traffic roads. Minerals 2020, 10, 872. [Google Scholar] [CrossRef]
- Polo-Mendoza, R.; Navarro-Donado, T.; Ortega-Martinez, D.; Turbay, E.; Martinez-Arguelles, G.; Penabaena-Niebles, R. Properties and characterization techniques of graphene modified asphalt binders. Nanomaterials 2023, 13, 955. [Google Scholar] [CrossRef] [PubMed]
- Liu, F.; Ye, Q.; Feng, J.L.; Wang, X.Y.; Li, Y.Y.; Xiong, F.; Ou, Y. Research on modification mechanism and performance of hve-mb. J. Munic. Technol. 2022, 40, 23–31. [Google Scholar] [CrossRef]
- Loureiro, C.D.A.; Silva, H.M.R.D.; Oliveira, J.R.M.; Costa, N.L.S.; Palha, C.A.O. The effect of microwave radiation on the self-healing performance of asphalt mixtures with steel slag aggregates and steel fibers. Materials 2023, 16, 3712. [Google Scholar] [CrossRef] [PubMed]
- Valdes-Vidal, G.; Calabi-Floody, A.; Duarte-Nass, C.; Mignolet, C.; Diaz, C. Development of a new additive based on textile fibers of end-of-life tires (elt) for sustainable asphalt mixtures with improved mechanical properties. Polymers 2022, 14, 3250. [Google Scholar] [CrossRef] [PubMed]
- Fu, L.X.; Jiao, Y.B.; Chen, X.H. Reinforcement evaluation of different fibers on fracture resistance of asphalt mixture based on acoustic emission technique. Constr. Build. Mater. 2022, 314, 125606. [Google Scholar] [CrossRef]
- Khater, A.; Luo, D.; Abdelsalam, M.; Ma, J.; Ghazy, M. Comparative life cycle assessment of asphalt mixtures using composite admixtures of lignin and glass fibers. Materials 2021, 14, 6589. [Google Scholar] [CrossRef]
- Zhang, Y.; Wang, X.C.; Ji, G.Y.; Fan, Z.Y.; Guo, Y.C.; Gao, W.Z.; Xin, L. Mechanical performance characterization of lignin-modified asphalt mixture. Appl. Sci. 2020, 10, 3324. [Google Scholar] [CrossRef]
- Zhan, D.D. Study on performance ofpervious concrete mixed with basalt fiber. J. Munic. Technol. 2022, 40, 78–82. [Google Scholar] [CrossRef]
- Wang, W.S.; Cheng, Y.C.; Tan, G.J. Design optimization of sbs-modified asphalt mixture reinforced with eco-friendly basalt fiber based on response surface methodology. Materials 2018, 11, 1311. [Google Scholar] [CrossRef]
- Sanfilippo, D.; Garcia-Hernandez, A.; Alexiadis, A.; Ghiassi, B. Effect of freeze-thaw cycles on the void topologies and mechanical properties of asphalt. Constr. Build. Mater. 2022, 344, 128085. [Google Scholar] [CrossRef]
- Sanfilippo, D.; Ghiassi, B.; Alexiadis, A.; Hernandez, A.G. Combined peridynamics and discrete multiphysics to study the effects of air voids and freeze-thaw on the mechanical properties of asphalt. Materials 2021, 14, 1579. [Google Scholar] [CrossRef] [PubMed]
- Wang, W.S.; Xia, W.L.; Liang, J.X. Compressive and tensile fracture failure analysis of asphalt mixture subjected to freeze-thaw conditions by acoustic emission and ct scanning technologies. Appl. Sci. 2022, 12, 10707. [Google Scholar] [CrossRef]
- Lovqvist, L.; Balieu, R.; Kringos, N. A micromechanical model of freeze-thaw damage in asphalt mixtures. Int. J. Pavement Eng. 2021, 22, 1017–1029. [Google Scholar] [CrossRef]
- Lachance-Tremblay, E.; Perraton, D.; Vaillancourt, M.; Di Benedetto, H. Degradation of asphalt mixtures with glass aggregates subjected to freeze-thaw cycles. Cold Reg. Sci. Technol. 2017, 141, 8–15. [Google Scholar] [CrossRef]
- Xu, G.; Yu, Y.H.; Cai, D.G.; Xie, G.Y.; Chen, X.H.; Yang, J. Multi-scale damage characterization of asphalt mixture subject to freeze-thaw cycles. Constr. Build. Mater. 2020, 240, 117947. [Google Scholar] [CrossRef]
- Xu, H.N.; Li, H.Z.; Tan, Y.Q.; Wang, L.B.; Hou, Y. A micro-scale investigation on the behaviors of asphalt mixtures under freeze-thaw cycles using entropy theory and a computerized tomography scanning technique. Entropy 2018, 20, 68. [Google Scholar] [CrossRef]
- Xu, H.N.; Guo, W.; Tan, Y.Q. Internal structure evolution of asphalt mixtures during freeze-thaw cycles. Mater. Des. 2015, 86, 436–446. [Google Scholar] [CrossRef]
- Zhang, D.L.; Li, M.L.; Li, J. Mechanism analysis of effect of fiber on high and low temperature performance of porous asphalt mixture. J. Munic. Technol. 2022, 40, 17–22. [Google Scholar] [CrossRef]
- Luo, D.; Khater, A.; Yue, Y.C.; Abdelsalam, M.; Zhang, Z.P.; Li, Y.Y.; Li, J.N.; Iseley, D.T. The performance of asphalt mixtures modified with lignin fiber and glass fiber: A review. Constr. Build. Mater. 2019, 209, 377–387. [Google Scholar] [CrossRef]
- Lou, K.K.; Kang, A.H.; Xiao, P.; Wu, Z.G.; Li, B.; Wang, X.Y. Effects of basalt fiber coated with different sizing agents on performance and microstructures of asphalt mixture. Constr. Build. Mater. 2021, 266, 121155. [Google Scholar] [CrossRef]
- Zarei, M.; Kordani, A.A.; Naseri, A.; Khordehbinan, M.W.; Khajehzadeh, M.; Zahedi, M. Evaluation of fracture behaviour of modified warm mix asphalt containing vertical and angular cracks under freeze-thaw damage. Int. J. Pavement Eng. 2022, 25, 1–17. [Google Scholar] [CrossRef]
- JTG E20-2011; Standard Test Methods of Bitumen and Bituminous Mixtures for Highway Engineering. Ministry of Transport of the People’s Republic of China: Beijing, China, 2011.
- Oral, G.; Cetin, A. The performance evaluation of porous asphalt mixtures reinforced by fibers. Int. J. Civ. Eng. 2023, 21, 445–459. [Google Scholar] [CrossRef]
- Alnadish, A.M.; Singh, N.S.S.; Alawag, A.M. Applications of synthetic, natural, and waste fibers in asphalt mixtures: A citation-based review. Polymers 2023, 15, 1004. [Google Scholar] [CrossRef]
- Cheng, Y.C.; Wang, W.S.; Gong, Y.F.; Wang, S.R.; Yang, S.T.; Sun, X. Comparative study on the damage characteristics of asphalt mixtures reinforced with an eco-friendly basalt fiber under freeze-thaw cycles. Materials 2018, 11, 2488. [Google Scholar] [CrossRef]
- Tan, G.J.; Zhu, Z.Q.; Wang, W.S.; He, X. A fractal-based approach for cracking characterization and whole process prediction exploration of pp fiber reinforced ecc containing sustainable ingredients. Constr. Build. Mater. 2022, 318, 126015. [Google Scholar] [CrossRef]











| Technical Parameter | Unit | Requirement | Result | |
|---|---|---|---|---|
| Penetration (25 °C, 100 g, 5 s) | 0.1 mm | 60~80 | 71 | |
| Ductility (5 °C, 5 cm/min) | cm | ≥30 | 45 | |
| Softening point | °C | ≥55 | 60.5 | |
| Density | g/cm3 | - | 1.018 | |
| Flash point | °C | ≥230 | 262 | |
| Elastic recovery (25 °C) | % | ≥65 | 88 | |
| RTFOT | Mass variation | % | ≤±1.0 | −0.094 |
| Penetration ratio | % | ≥60 | 66.9 | |
| Ductility | cm | ≥20 | 33.2 | |
| Technical Indicators | Requirement | Result | |
|---|---|---|---|
| Abrasion loss (%) | ≤28 | 17.9 | |
| Crushing value (%) | ≤26 | 13.6 | |
| Apparent relative density | 13.2 mm | ≥2.6 | 2.836 |
| 9.5 mm | 2.805 | ||
| 4.75 mm | 2.726 | ||
| Water absorption rate (%) | 13.2 mm | ≤2.0 | 0.6 |
| 9.5 mm | 0.28 | ||
| 4.75 mm | 0.7 | ||
| Robustness (%) | ≤12 | 5 | |
| Needle and flake content (%) | ≤15 | 9.2 | |
| Particle content < 0.075 (%) | ≤1 | 0.3 | |
| Soft stone content (%) | ≤3 | 1 | |
| Technical Indicators | Requirement | Result |
|---|---|---|
| Apparent relative density | ≥2.5 | 2.723 |
| Water absorption rate (%) | - | 0.64 |
| Angularity (s) | ≥30 | 39.9 |
| Sand equivalent (%) | ≥60 | 68 |
| Technical Indicators | Requirement | Result | |
|---|---|---|---|
| Moisture content (%) | ≤1 | 0.3 | |
| Particle size range (%) | <0.6 mm | 100 | 100 |
| <0.15 mm | 90~100 | 92.5 | |
| <0.075 mm | 75~100 | 81.8 | |
| Apparent density (t/m3) | ≥2.5 | 2.712 | |
| Hydrophilicity coefficient | <1 | 0.63 | |
| Heating stability | Actual record | Good, no color change | |
| Plasticity index (%) | <4 | 2 | |
| Technical Parameter | Unit | Lignocellulosic Fiber | Basalt Fiber |
|---|---|---|---|
| Fiber length | mm | 1.1 | 6 |
| Specific gravity | - | 0.91 | 2.6 |
| Color | - | Grayish white | Dark brown |
| Acid and alkali corrosion resistance | - | Good | Good |
| Tensile strength | MPa | 300 | 3200 |
| Elastic modulus | GPa | 35 | 95 |
| Elongation | % | 2.5 | 3.2 |
| Mixture Type | Asphalt-to-Aggregate Ratio | Void Content (%) | VMA (%) | VFA (%) |
|---|---|---|---|---|
| Basalt-fiber- modified SMA-13 | 5.7 | 3.8 | 16.6 | 77.1 |
| 5.9 | 3.6 | 16.8 | 78.6 | |
| 6.1 | 3.3 | 16.9 | 80.5 | |
| Lignocellulosic-fiber- modified SMA-13 | 6.1 | 3.8 | 17.2 | 77.9 |
| 6.3 | 3.5 | 17.3 | 79.8 | |
| 6.5 | 3.2 | 17.2 | 81.4 |
Disclaimer/Publisher’s Note: The statements, opinions and data contained in all publications are solely those of the individual author(s) and contributor(s) and not of MDPI and/or the editor(s). MDPI and/or the editor(s) disclaim responsibility for any injury to people or property resulting from any ideas, methods, instructions or products referred to in the content. |
© 2023 by the authors. Licensee MDPI, Basel, Switzerland. This article is an open access article distributed under the terms and conditions of the Creative Commons Attribution (CC BY) license (https://creativecommons.org/licenses/by/4.0/).
Share and Cite
Wang, W.; Yang, L.; Cui, H.; Wu, F.; Cheng, Y.; Liang, C. Freeze–Thaw Damage Mechanism Analysis of SBS Asphalt Mixture Containing Basalt Fiber and Lignocellulosic Fiber Based on Microscopic Void Characteristics. Polymers 2023, 15, 3887. https://doi.org/10.3390/polym15193887
Wang W, Yang L, Cui H, Wu F, Cheng Y, Liang C. Freeze–Thaw Damage Mechanism Analysis of SBS Asphalt Mixture Containing Basalt Fiber and Lignocellulosic Fiber Based on Microscopic Void Characteristics. Polymers. 2023; 15(19):3887. https://doi.org/10.3390/polym15193887
Chicago/Turabian StyleWang, Wensheng, Liansheng Yang, Honghai Cui, Fei Wu, Yongchun Cheng, and Chunyu Liang. 2023. "Freeze–Thaw Damage Mechanism Analysis of SBS Asphalt Mixture Containing Basalt Fiber and Lignocellulosic Fiber Based on Microscopic Void Characteristics" Polymers 15, no. 19: 3887. https://doi.org/10.3390/polym15193887
APA StyleWang, W., Yang, L., Cui, H., Wu, F., Cheng, Y., & Liang, C. (2023). Freeze–Thaw Damage Mechanism Analysis of SBS Asphalt Mixture Containing Basalt Fiber and Lignocellulosic Fiber Based on Microscopic Void Characteristics. Polymers, 15(19), 3887. https://doi.org/10.3390/polym15193887

