Colorless Polyimides Derived from 5,5′-bis(2,3-norbornanedicarboxylic anhydride): Strategies to Reduce the Linear Coefficients of Thermal Expansion and Improve the Film Toughness
Abstract
:1. Introduction
2. Experimental Section
2.1. Materials
2.1.1. 5,5′-bis(2,3-norbornanedicarboxylic anhydride) (BNBDA)
2.1.2. N,N′-[2,2′-bis(trifluoromethyl)-4,4′-biphenylene]bis(4-aminobenzamide) (AB-TFMB)
2.1.3. Common Monomers and Raw Materials
2.1.4. BNBDA-Based Diimide Model Compounds
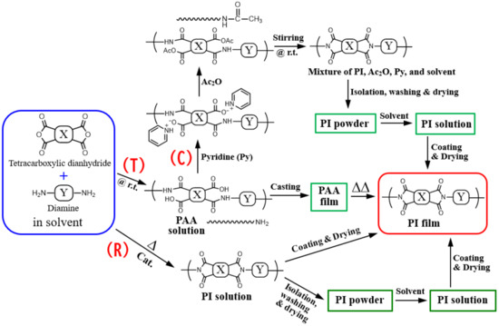
2.1.5. Polymerization and Film Preparation
2.2. Measurements and Characterization
2.2.1. Structural Characterization
2.2.2. Inherent Viscosities and Molecular Weights
2.2.3. Linear Coefficients of Thermal Expansion (CTE)
2.2.4. Heat Resistance
2.2.5. Optical Transparency
2.2.6. Birefringence
2.2.7. Mechanical Properties
2.2.8. Water Uptake
2.2.9. Solubility
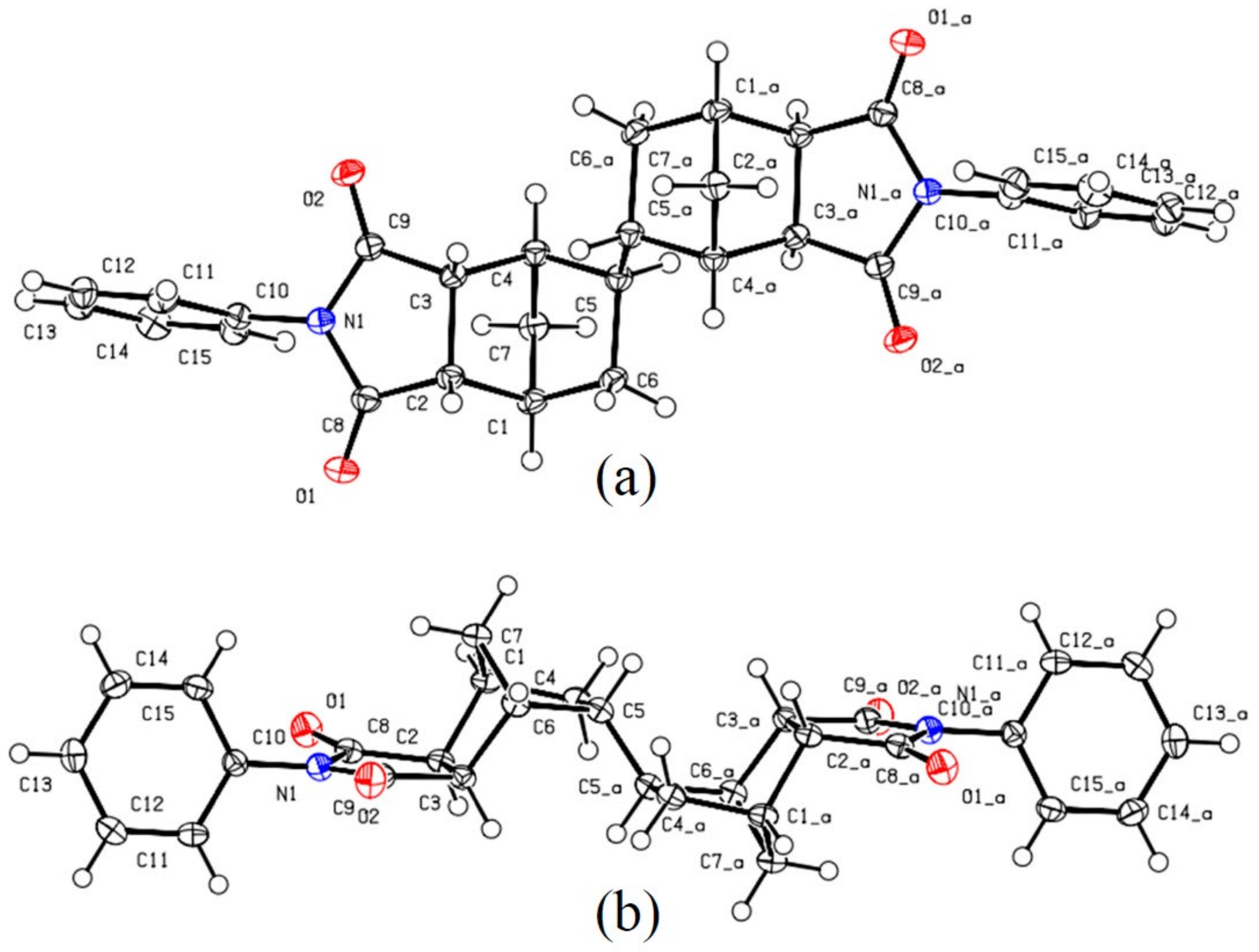
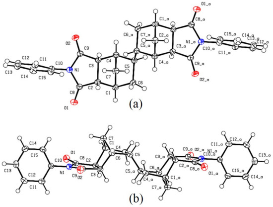
2.2.10. Single-Crystal X-ray Structural Analysis
2.2.11. Liquid Crystallinity
3. Results and Discussion
3.1. Importance of Thermal Dimensional Stability and Difficulty in Simultaneously Achieving Low CTE, High Optical Transparency, Ductility, and Solution Processability
3.2. Importance of Excellent Solubility
3.3. Steric Structure of BNBDA
3.4. Speculated Steric Structure of H-BPDA
3.5. Polyaddition Reactivity of BNBDA with Aromatic Diamines
3.6. Properties of BNBDA-Based PI Films Prepared via Two-Step Process
3.6.1. Features of BNBDA/4,4′-ODA System
3.6.2. BNBDA-Based PIs Obtained Using Other Aromatic Diamines
3.7. Compatibility of BNBDA-Based Systems to One-Pot Process
3.7.1. Modification of One-Pot Process Conditions
- (1)
- Solvents
- (2)
- Azeotropic agents
- (3)
- Temperature-rising profile
- (4)
- Catalysts
- (5)
- Reactors
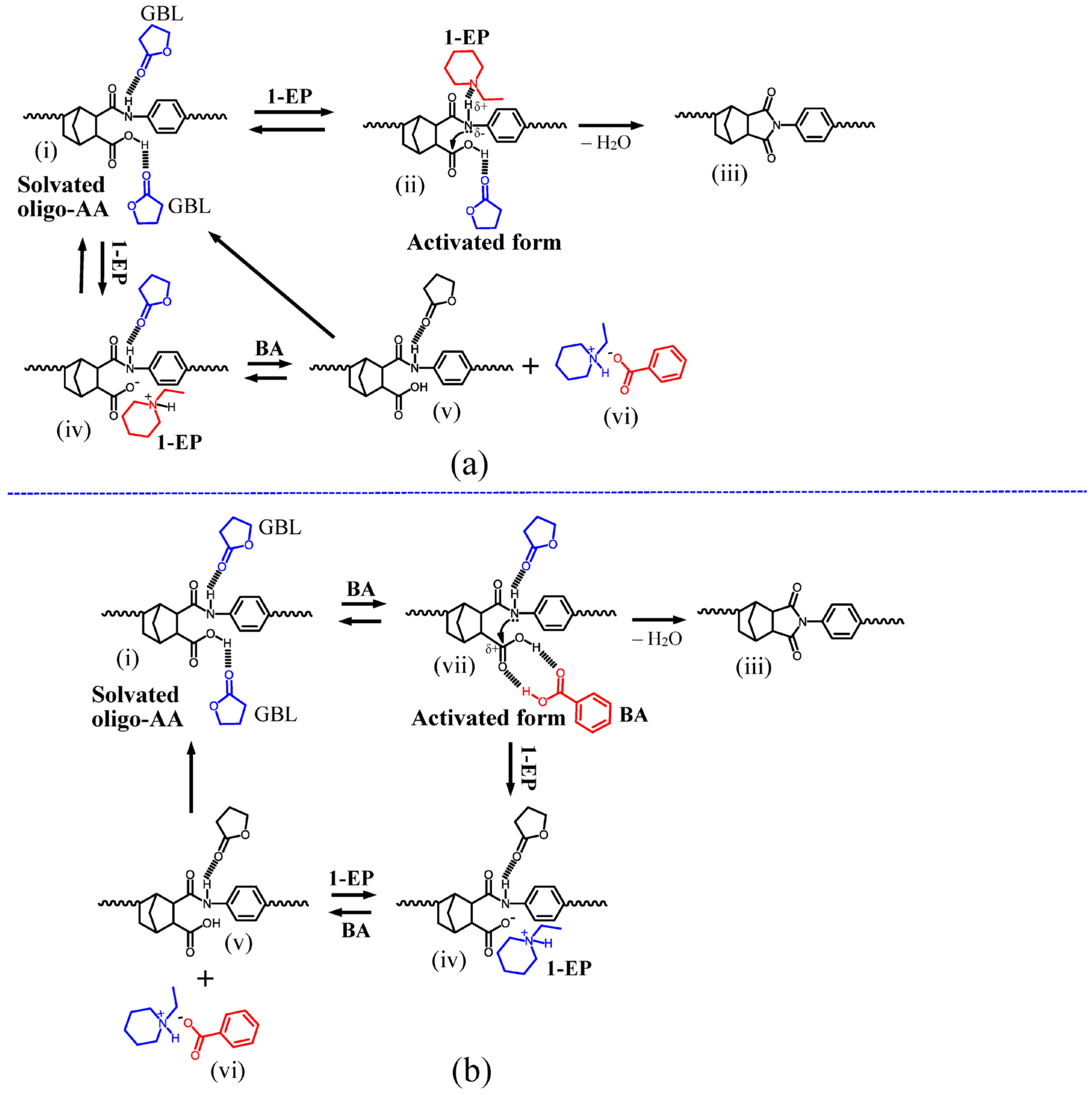
3.7.2. A Possible Mechanism for the Effect of Prompt Heating on Molecular Weight Enhancement
3.7.3. Individual and Combined Effects of Basic and Acidic Catalysts on Molecular Weight Enhancement and their Proposed Mechanism
3.7.4. Polymerizability of BNBDA in Modified One-Pot Process

3.8. Properties of BNBDAbased PI Films Obtained via Modified Onepot Process
3.8.1. BNBDA;6FDA/TFMB Copolymers and Related Systems

3.8.2. Impact of the Molecular Weight of PIs on the CTE and Other Properties
3.8.3. Approach to Improve the Film Toughness while Maintaining Low CTE
Modification Using 4,4′- and 3,4′-ODA
Modification Using BAPP

3.9. Performance Balance
4. Conclusions
Supplementary Materials
Author Contributions
Funding
Institutional Review Board Statement
Data Availability Statement
Acknowledgments
Conflicts of Interest
References
- Cassidy, P.E. Thermally Stable Polymers: Syntheses and Properties; Marcel Dekker: New York, NY, USA, 1980. [Google Scholar]
- Mittal, K.L. (Ed.) Polyimides: Synthesis, Characterization, and Applications; Plenum Press: New York, NY, USA, 1984. [Google Scholar]
- Bessonov, M.I.; Koton, M.M.; Kudryavtsev, V.V.; Laius, L.A. (Eds.) Polyimides: Thermally Stable Polymers; Plenum: New York, NY, USA, 1987. [Google Scholar]
- Feger, C.; Khojasteh, M.M.; McGrath, J.E. (Eds.) Polyimides: Materials, Chemistry and Characterization; Elsevier Science Publishers: Amsterdam, The Netherlands, 1989. [Google Scholar]
- Sroog, C.E. Polyimide. Prog. Polym. Sci. 1991, 16, 561–694. [Google Scholar] [CrossRef]
- Abadie, M.J.M.; Sillion, B. (Eds.) Polyimides and Other High-Temperature Polymers; Elsevier Science Publishers: Amsterdam, The Netherlands, 1991. [Google Scholar]
- Bessonov, M.I.; Zubkov, V.A. (Eds.) Polyamic Acid and Polyimides: Synthesis, Transformation and Structure; CRC Press: Boca Raton, FL, USA, 1993. [Google Scholar]
- Feger, C.; Khojasteh, M.M.; Htoo, M.S. (Eds.) Advances in Polyimide Science and Technology; Technomic Publishing: Lancaster, UK, 1993. [Google Scholar]
- Ghosh, M.K.; Mittal, K.L. (Eds.) Polyimides: Fundamentals and Applications; Marcel Dekker: New York, NY, USA, 1996. [Google Scholar]
- Sachdev, H.S.; Khojasteh, M.M.; Feger, C. (Eds.) Advances in Polyimides and Low Dielectric Polymers; Society of Plastic Engineers: New York, NY, USA, 1997. [Google Scholar]
- Hergenrother, P.M. The Use, design, synthesis, and properties of high performance/high temperature polymers: An overview. High Perform. Polym. 2003, 15, 3–45. [Google Scholar] [CrossRef]
- Ree, M. High performance polyimides for applications in microelectronics and flat panel displays. Macromol. Res. 2006, 14, 1–33. [Google Scholar] [CrossRef]
- Ando, S.; Ueda, M.; Kakimoto, M.; Kochi, M.; Takeichi, T.; Hasegawa, M.; Yokota, R. (Eds.) The Latest Polyimides: Fundamentals and Applications, 2nd ed.; NTS: Tokyo, Japan, 2010. [Google Scholar]
- Liaw, D.J.; Wang, K.L.; Huang, Y.C.; Lee, K.R.; Lai, J.Y.; Ha, C.S. Advanced polyimide materials: Syntheses, physical properties and applications. Prog. Polym. Sci. 2012, 37, 907–974. [Google Scholar] [CrossRef]
- Tsai, C.L.; Yen, H.J.; Liou, G.S. Highly transparent polyimide hybrids for optoelectronic applications. React. Funct. Polym. 2016, 108, 2–30. [Google Scholar] [CrossRef]
- Yang, S.Y. (Ed.) Advanced Polyimide Materials: Synthesis, Characterization, and Applications; Elsevier: Amsterdam, The Netherlands, 2018. [Google Scholar]
- Diaham, S. (Ed.) Polyimide for Electronic and Electrical Engineering Applications; IntechOpen: London, UK, 2021. [Google Scholar]
- Hasegawa, M.; Horie, K. Photophysics, photochemistry, and optical properties of polyimides. Prog. Polym. Sci. 2001, 26, 259–335. [Google Scholar] [CrossRef]
- Matsuura, T.; Hasuda, Y.; Nishi, S.; Yamada, N. Polyimide derived from 2,2′-bis(trifluoromethyl)-4,4′-diaminobiphenyl. 1. Synthesis and characterization of polyimides prepared with 2,2′-bis(3,4-dicarboxyphenyl)hexafluoropropane dianhydride or pyromellitic dianhydride. Macromolecules 1991, 24, 5001–5005. [Google Scholar] [CrossRef]
- Hasegawa, M.; Ishigami, T.; Ishii, J.; Sugiura, K.; Fujii, M. Solution-processable transparent polyimides with low coefficient of thermal expansion and self-orientation behavior induced by solution casting. Eur. Polym. J. 2013, 49, 3657–3672. [Google Scholar] [CrossRef]
- Volksen, W.; Cha, H.J.; Sanchez, M.I.; Yoon, D.Y. Polyimides derived from nonaromatic monomers: Synthesis, characterization and potential applications. React. Funct. Polym. 1996, 30, 61–69. [Google Scholar] [CrossRef]
- Seino, H.; Sasaki, T.; Mochizuki, A.; Ueda, M. Synthesis of fully aliphatic polyimides. High Perform. Polym. 1999, 11, 255–262. [Google Scholar] [CrossRef]
- Mathews, A.S.; Kim, I.; Ha, C.S. Synthesis, characterization, and properties of fully aliphatic polyimides and their derivatives for microelectronics and optoelectronics applications. Macromol. Res. 2007, 15, 114–128. [Google Scholar] [CrossRef]
- Tsuda, Y.; Etou, K.; Hiyoshi, N.; Nishikawa, M.; Matsuki, Y.; Bessho, N. Soluble copolyimides based on 2,3,5-tricarboxycyclopentyl acetic dianhydride and conventional aromatic tetracarboxylic dianhydrides. Polym. J. 1998, 30, 222–228. [Google Scholar] [CrossRef]
- Ni, H.; Liu, J.; Wang, Z.; Yang, S. A review on colorless and optically transparent polyimide films: Chemistry, process and engineering applications. J. Ind. Eng. Chem. 2015, 28, 16–27. [Google Scholar] [CrossRef]
- Suzuki, H.; Abe, T.; Takaishi, K.; Narita, M.; Hamada, F. The synthesis and X-ray structure of 1,2,3,4-cyclobutane tetracarboxylic dianhydride and the preparation of a new type of polyimide showing excellent transparency and heat resistance. J. Polym. Sci. Part A Polym. Chem. 2000, 38, 108–116. [Google Scholar] [CrossRef]
- Matsumoto, T. Nonaromatic polyimides derived from cycloaliphatic monomers. Macromolecules 1999, 32, 4933–4939. [Google Scholar] [CrossRef]
- Li, J.; Kato, J.; Kudo, K.; Shiraishi, S. Synthesis and properties of novel soluble polyimides having an unsymmetric spiro tricyclic dianhydride unit. Macromol. Chem. Phys. 2000, 201, 2289–2297. [Google Scholar] [CrossRef]
- Hasegawa, M.; Kasamatsu, K.; Koseki, K. Colorless poly(ester imide)s derived from hydrogenated trimellitic anhydride. Eur. Polym. J. 2012, 48, 483–498. [Google Scholar] [CrossRef]
- Hasegawa, M.; Hirano, D.; Fujii, M.; Haga, M.; Takezawa, E.; Yamaguchi, S.; Ishikawa, A.; Kagayama, T. Solution-processable colorless polyimides derived from hydrogenated pyromellitic dianhydride with controlled steric structure. J. Polym. Sci. Part A Polym. Chem. 2013, 51, 575–592. [Google Scholar] [CrossRef]
- Hasegawa, M.; Horiuchi, M.; Kumakura, K.; Koyama, J. Colorless polyimides with low coefficient of thermal expansion derived from alkyl-substituted cyclobutanetetracarboxylic dianhydrides. Polym. Int. 2014, 63, 486–500. [Google Scholar] [CrossRef]
- Hasegawa, M.; Fujii, M.; Ishii, J.; Yamaguchi, S.; Takezawa, E.; Kagayama, T.; Ishikawa, A. Colorless polyimides derived from 1S,2S,4R,5R-cyclohexanetetracarboxylic dianhydride, self-orientation behavior during solution casting, and their optoelectronic applications. Polymer 2014, 55, 4693–4708. [Google Scholar] [CrossRef]
- Shiotani, A.; Shimazaki, H.; Matsuo, M. Preparation of transparent polyimides derived from cis- and trans-dicyclohexyl-3,3′,4,4′-tetracarboxylic dianhydrides. Macromol. Mater. Eng. 2001, 286, 434–441. [Google Scholar] [CrossRef]
- Guo, Y.; Song, H.; Zhai, L.; Liu, J.; Yang, S. Synthesis and characterization of novel semi-alicyclic polyimides from methyl-substituted tetralin dianhydride and aromatic diamines. Polym. J. 2012, 44, 718–723. [Google Scholar] [CrossRef]
- Fang, X.; Yang, Z.; Zhang, S.; Gao, L.; Ding, M. Synthesis and properties of polyimides derived from cis- and trans-1,2,3,4-cyclohexanetetracarboxylic dianhydrides. Polymer 2004, 45, 2539–2549. [Google Scholar] [CrossRef]
- Jiang, G.; Wang, D.; Du, H.; Wu, X.; Zhang, Y.; Tan, Y.; Wu, L.; Liu, J.; Zhang, X. Reduced coefficients of linear thermal expansion of colorless and transparent semi-alicyclic polyimide films via incorporation of rigid-rod amide moiety: Preparation and properties. Polymers 2020, 12, 413. [Google Scholar] [CrossRef] [PubMed]
- Zhuang, Y.; Seong, J.G.; Lee, Y.M. Polyimides containing aliphatic/alicyclic segments in the main chains. Prog. Polym. Sci. 2019, 92, 35–88. [Google Scholar] [CrossRef]
- Hasegawa, M. Development of solution-processable, optically transparent polyimides with ultra-low linear coefficients of thermal expansion. Polymers 2017, 9, 520. [Google Scholar] [CrossRef] [PubMed]
- Hu, X.; Yan, J.; Wang, Y.; Mu, H.; Wang, Z.; Cheng, H.; Zhao, F.; Wang, Z. Colorless polyimides derived from 2R,5R,7S,10S-naphthanetetracarboxylic dianhydride. Polym. Chem. 2017, 8, 6165–6172. [Google Scholar] [CrossRef]
- Ozawa, H.; Ishiguro, E.; Kyoya, Y.; Kikuchi, Y.; Matsumoto, T. Colorless polyimides derived from an alicyclic tetracarboxylic dianhydride, CpODA. Polymers 2021, 13, 2824. [Google Scholar] [CrossRef]
- Liu, H.; Zhai, L.; Bai, L.; He, M.; Wang, C.; Mo, S.; Fan, L. Synthesis and characterization of optically transparent semi-aromatic polyimide films with low fluorine content. Polymer 2019, 163, 106–114. [Google Scholar] [CrossRef]
- Hu, X.; Mu, H.; Wang, Y.; Wang, Z.; Yan, J. Colorless polyimides derived from isomeric dicyclohexyl-tetracarboxylic dianhydrides for optoelectronic applications. Polymer 2018, 134, 8–19. [Google Scholar] [CrossRef]
- Hasegawa, M.; Watanabe, Y.; Tsukuda, S.; Ishii, J. Solution-processable colorless polyimides with ultralow coefficients of thermal expansion for optoelectronic applications. Polym. Int. 2016, 65, 1063–1073. [Google Scholar] [CrossRef]
- Hasegawa, M.; Takahashi, S.; Tsukuda, S.; Hirai, T.; Ishii, J.; Yamashina, Y.; Kawamura, Y. Symmetric and asymmetric spiro-type colorless poly(ester imide)s with low coefficients of thermal expansion, high glass transition temperatures, and excellent solution-processability. Polymer 2019, 169, 167–184. [Google Scholar] [CrossRef]
- Hasegawa, M.; Ichikawa, K.; Takahashi, S.; Ishii, J. Solution-processable colorless polyimides derived from hydrogenated pyromellitic dianhydride: Strategies to reduce the coefficients of thermal expansion by maximizing the spontaneous chain orientation behavior during solution casting. Polymers 2022, 14, 1131. [Google Scholar] [CrossRef] [PubMed]
- Yu, H.C.; Kumar, S.V.; Lee, J.H.; Oh, S.Y.; Chung, C.M. Preparation of robust, flexible, transparent films from partially aliphatic copolyimide. Macromol. Res. 2015, 23, 566–573. [Google Scholar] [CrossRef]
- Hasegawa, M.; Sato, H.; Hoshino, K.; Arao, Y.; Ishii, J. Colorless polyimides derived from octahydro-2,3,6,7-anthracenetetracarboxylic dianhydride. Macromol 2023, 3, 175–199. [Google Scholar] [CrossRef]
- Tang, Y.; Li, L.; Ma, K.; Chen, G.; Wang, W.; Fang, X. Transparent and organosoluble cardo polyimides with different trans/cis ratios of 1,4-diaminocyclohexane via aromatic nucleophilic substitution polymerization. Polym. Int. 2018, 67, 598–605. [Google Scholar] [CrossRef]
- Miao, J.; Hu, X.; Wang, X.; Meng, X.; Wang, Z.; Yan, J. Colorless polyimides derived from adamantane-containing diamine. Polym. Chem. 2021, 11, 6009–6016. [Google Scholar] [CrossRef]
- Abdulhamid, M.A.; Ma, X.; Ghanem, B.S.; Pinnau, I. Synthesis and characterization of organo-soluble polyimides derived from alicyclic dianhydrides and a dihydroxyl-functionalized spirobisindane diamine. ACS Appl. Polym. Mater. 2019, 1, 63–69. [Google Scholar] [CrossRef]
- Tapaswi, P.K.; Ha, C.S. Recent trends on transparent colorless polyimides with balanced thermal and optical properties: Design and synthesis. Macromol. Chem. Phys. 2019, 220, 1800313. [Google Scholar] [CrossRef]
- Liu, Y.; Wang, Y.; Wu, D. Synthetic strategies for highly transparent and colorless polyimide film. J. Appl. Polym. Sci. 2022, 139, e52604. [Google Scholar] [CrossRef]
- Hasegawa, M.; Horiuchi, M.; Wada, Y. Polyimides containing trans-1,4-cyclohexane unit (II). Low-K and Low-CTE semi- and wholly cycloaliphatic polyimides. High Perform. Polym. 2007, 19, 175–193. [Google Scholar] [CrossRef]
- Hasegawa, M.; Horii, S. Low-CTE polyimides derived from 2,3,6,7-naphthalenetetracarboxylic dianhydride. Polym. J. 2007, 39, 610–621. [Google Scholar] [CrossRef]
- Hasegawa, M.; Koyanaka, M. Polyimides containing trans-1,4-cyclohexane unit. Polymerizability of their precursors and low-CTE and low-K and High-Tg properties. High Perform. Polym. 2003, 15, 47–64. [Google Scholar] [CrossRef]
- Hasegawa, M.; Fujii, M.; Wada, Y. Approaches to improve the film ductility of colorless cycloaliphatic polyimides. Polym. Adv. Technol. 2018, 29, 921–933. [Google Scholar] [CrossRef]
- Miyama, T.; Ishii, J.; Hasegawa, M.; Watanabe, D. Solution-processable colorless polyimides obtained from bisnorbornanetetracarboxylic dianhydride (3). Improvement of low Thermal expansion property. Polym. Prepr. Jpn. 2019, 68, 1Pe091. [Google Scholar]
- ENEOS Corp. Tetracarboxylic Dianhydride, Carbonyl compounds, Polyimide Precursor Resins, and Polyimides. Japanese Patent JP 7033559, 2 March 2022. [Google Scholar]
- Hasegawa, M.; Kaneki, T.; Tsukui, M.; Okubo, N.; Ishii, J. High-temperature polymers overcoming the trade-off between excellent thermoplasticity and low thermal expansion properties. Polymer 2016, 99, 292–306. [Google Scholar] [CrossRef]
- Hasegawa, M.; Hori, A.; Hosaka, C.; Ishii, J. Poly(ester imide)s with low coefficients of thermal expansion (CTEs) and low water absorption (VI). An attempt to reduce the modulus while maintaining low CTEs and other desired properties. Poym. Int. 2022, 71, 1164–1175. [Google Scholar] [CrossRef]
- Hasegawa, M.; Tominaga, A. Fluorene-containing poly(ester imide)s and application to positive-type photosensitive heat-resistant materials. Macromol. Mater. Eng. 2011, 296, 1002–1017. [Google Scholar] [CrossRef]
- Hasegawa, M.; Ishigami, T.; Ishii, J. Optically transparent aromatic poly(ester imide)s with low coefficients of thermal expansion (1). Self-orientation behavior during solution casting process and substituent effect. Polymer 2015, 74, 1–15. [Google Scholar] [CrossRef]
- Sensui, N.; Ishii, J.; Takata, A.; Oami, Y.; Hasegawa, M.; Yokota, R. Ultra-low CTE and improved toughness of PMDA/PDA polyimide-based molecular composites containing asymmetric BPDA-type polyimides. High Perform. Polym. 2009, 21, 709–728. [Google Scholar] [CrossRef]
- Shiotani, A. Syntheses and characterization of cis- and trans-dicyclohexyl-3,3′,4,4′-tetracarboxylic acids and their dianhydrides. Z. Naturforsch. 2001, 56, 179–188. (In German) [Google Scholar] [CrossRef]
- Tokita, Y.; Fujii, M.; Hasegawa, M.; Kishimoto, S.; Isogai, Y. Cycloaliphatic poly(ester imide)s derived from 2,3,5-norbornanetricarboxylic anhydride. Polym. Prepr. Jpn. 2008, 57, 1490. [Google Scholar]
- Baklagina, Y.G.; Milevskaya, I.S.; Efanova, N.V.; Sidorovich, A.V.; Zubkov, V.A. Structure of rigid-chain polyimides from pyromellitic dianhydride. Vysokomol. Soedin. 1976, A18, 1235–1242. [Google Scholar]
- Obata, Y.; Okuyama, K.; Kurihara, S.; Kitano, Y.; Jinda, T. X-ray Structure Analysis of an Aromatic Polyimide. Macromolecules 1995, 28, 1547–1551. [Google Scholar] [CrossRef]
- Hasegawa, M.; Sensui, N.; Shindo, Y.; Yokota, R. Structure and properties of novel asymmetric biphenyl type polyimides. Homo- and copolymers and blends. Macromolecules 1999, 32, 387–396. [Google Scholar] [CrossRef]
- Shi, Z.; Hasegawa, M.; Shindo, Y.; Yokota, R.; He, F.; Yamaguchi, H.; Ozawa, H. Thermo-processable polyimides with high thermo-oxidative stability as derived from oxydiphthalic anhydride (ODPA) and bisphenol A type dianhydride. High Perform. Polym. 2000, 12, 377–393. [Google Scholar] [CrossRef]
- Inoue, H.; Sasaki, Y.; Ogawa, T. Comparison of one-pot and two-step polymerization of polyimide from BPDA/ODA. J. Appl. Polym. Sci. 1996, 60, 123–131. [Google Scholar] [CrossRef]
- Harris, F.W.; Hsu, S.L.-C. Synthesis and characterization of polyimides based on 3,6-diphenylpyromellitic dianhydride. High Perform. Polym. 1989, 1, 3–16. [Google Scholar] [CrossRef]
- Kuznetsov, A.A. One-pot polyimide synthesis in carboxylic acid medium. High Perform. Polym. 2000, 12, 445–460. [Google Scholar] [CrossRef]
- Brekner, M.J.; Feger, C. Curing studies of a polyimide precursor. J. Polym. Sci. Part A Polym. Chem. 1987, 25, 2005–2020. [Google Scholar] [CrossRef]
- Brekner, M.J.; Feger, C. Curing studies of a polyimide precursor. II. Polyamic acid. J. Polym. Sci. Part A Polym. Chem. 1987, 25, 2479–2491. [Google Scholar] [CrossRef]
- Numata, S.; Oohara, S.; Fujisaki, K.; Imaizumi, J.; Kinjo, N. Thermal expansion behavior of various aromatic polyimides. J. Appl. Polym. Sci. 1986, 31, 101–110. [Google Scholar] [CrossRef]
- Numata, S.; Fujisaki, K.; Kinjyo, N. Re-examination of the relationship between packing coefficient and thermal expansion coefficient for aromatic polyimides. Polymer 1987, 28, 2282–2288. [Google Scholar] [CrossRef]
- Hasegawa, M.; Matano, T.; Shindo, Y.; Sugimura, T. Spontaneous molecular orientation of polyimides induced by thermal imidization (2). In-plane orientation. Macromolecules 1996, 29, 7897–7909. [Google Scholar] [CrossRef]
- Coburn, J.C.; Pottiger, M.T. Thermal curing in polyimide films and coatings. In Polyimides: Fundamentals and Applications; Ghosh, M.K., Mittal, K.L., Eds.; Marcel Dekker: New York, NY, USA, 1996; pp. 207–247. [Google Scholar]
- Hasegawa, M.; Sakamoto, Y.; Tanaka, Y.; Kobayashi, Y. Poly(ester imide)s possessing low coefficients of thermal expansion (CTE) and low water absorption (III). Use of bis(4-aminophenyl)terephthalate and effect of substituents. Eur. Polym. J. 2010, 46, 1510–1524. [Google Scholar] [CrossRef]
- Hasegawa, M.; Sensui, N.; Shindo, Y.; Yokota, R. Improvement of thermoplasticity for s-BPDA/PDA by copolymerization and blend with novel asymmetric BPDA-based polyimides. J. Polym. Sci. Part B Polym. Phys. 1999, 37, 2499–2511. [Google Scholar]





















| Monomer | Source | Vacuum-Drying Condition | Melting Point a (°C) |
|---|---|---|---|
| 4,4′-Oxydianiline (4,4′-ODA) | Wako Chemical | 50 °C/24 h | 191 |
| 3,4′-Oxydianiline (3,4′-ODA) | Wakayama Seika | 50 °C/12 h | 79 |
| p-Phenylenediamine (p-PDA) | Wako Chemical | 30 °C/24 h | 141 |
| 4,4′-Diaminobenzanilide (DABA) | Tokyo Chemical Industry (TCI) | 50 °C/12 h | 205 |
| 2,2′-bis(trifluoromethyl)benzidine (TFMB) | Wakayama Seika | 50 °C/12 h | 184 |
| 2,2-bis[4-(4-aminophenoxy)phenyl]propane (BAPP) | Wakayama Seika | 50 °C/12 h | 130 |
| 4,4′-(Hexafluoroisopropylidene)diphthalic anhydride (6FDA) | Central Glass | 160 °C/12 h | 248 |
| Dicyclohexyl-3,3′,4,4′-tetracarboxylic dianhydride (H-BPDA) | Iwatani Industrial Gases | 160 °C/12 h | 212 |
| Empirical formula | C30 H28 O4 N2 | |
| Formula weight | 480.56 | |
| Temperature | 100(2) K | |
| Wavelength | 0.71073 Å | |
| Crystal system | Monoclinic | |
| Space group | P21/c | |
| Unit cell dimensions | a = 15.3504(19) Å | α = 90° |
| b = 6.0664(7) Å | β = 98.355(2)° | |
| c = 12.5305(15) Å | γ = 90° | |
| Volume | 1154.5(2) Å3 | |
| Z | 4 | |
| Density (calculated) | 1.382 g/cm3 |
| x | y | z | U(eq) | |
|---|---|---|---|---|
| O(2) | 6513(1) | 3145(2) | 7380(1) | 27(1) |
| O(1) | 8548(1) | −1328(2) | 9294(1) | 26(1) |
| N(1) | 7708(1) | 1277(2) | 8275(1) | 19(1) |
| C(4) | 5643(1) | −317(2) | 8731(1) | 19(1) |
| C(3) | 6416(1) | 1272(2) | 9093(1) | 18(1) |
| C(2) | 7116(1) | −224(2) | 9757(1) | 18(1) |
| C(1) | 6655(1) | −2494(2) | 9720(1) | 19(1) |
| C(6) | 5911(1) | −2327(2) | 10,421(1) | 20(1) |
| C(5) | 5184(1) | −952(2) | 9705(1) | 19(1) |
| C(7) | 6136(1) | −2468(2) | 8568(1) | 20(1) |
| C(9) | 6848(1) | 2065(2) | 8147(1) | 20(1) |
| C(8) | 7890(1) | −217(2) | 9134(1) | 19(1) |
| C(10) | 8297(1) | 1718(2) | 7509(1) | 18(1) |
| C(11) | 8746(1) | 3713(2) | 7561(1) | 22(1) |
| C(12) | 9305(1) | 4149(3) | 6810(1) | 24(1) |
| C(13) | 9409(1) | 2613(3) | 6019(1) | 24(1) |
| C(14) | 8963(1) | 626(3) | 5975(1) | 25(1) |
| C(15) | 8403(1) | 161(2) | 6724(1) | 22(1) |
| H(4) | 5242 | 174 | 8095 | 23 |
| H(3) | 6240 | 2500 | 9523 | 21 |
| H(2) | 7280 | 309 | 10,497 | 21 |
| H(1) | 7051 | −3756 | 9881 | 22 |
| H(6A) | 6113 | −1577 | 11,096 | 24 |
| H(6B) | 5694 | −3776 | 10,576 | 24 |
| H(5) | 4697 | −1948 | 9447 | 23 |
| H(7A) | 6515 | −2346 | 8015 | 24 |
| H(7B) | 5745 | −3723 | 8424 | 24 |
| H(11) | 8673 | 4741 | 8091 | 26 |
| H(12) | 9610 | 5476 | 6837 | 29 |
| H(13) | 9780 | 2920 | 5514 | 29 |
| H(14) | 9037 | −399 | 5444 | 30 |
| H(15) | 8104 | −1174 | 6701 | 27 |
| O(2)-C(9) | 1.2137(18) |
| O(1)-C(8) | 1.2072(17) |
| N(1)-C(9) | 1.3918(19) |
| N(1)-C(8) | 1.4045(18) |
| N(1)-C(10) | 1.4364(19) |
| C(4)-C(7) | 1.537(2) |
| C(4)-C(5) | 1.545(2) |
| C(4)-C(3) | 1.545(2) |
| C(3)-C(9) | 1.518(2) |
| C(3)-C(2) | 1.553(2) |
| C(2)-C(8) | 1.512(2) |
| C(2)-C(1) | 1.546(2) |
| C(1)-C(6) | 1.541(2) |
| C(1)-C(7) | 1.543(2) |
| C(6)-C(5) | 1.567(2) |
| C(5)-C(5)#1 | 1.524(3) |
| C(10)-C(11) | 1.389(2) |
| C(10)-C(15) | 1.390(2) |
| C(11)-C(12) | 1.387(2) |
| C(12)-C(13) | 1.387(2) |
| C(13)-C(14) | 1.383(2) |
| C(14)-C(15) | 1.390(2) |
| C(9)-N(1)-C(8) | 112.91(12) |
| C(9)-N(1)-C(10) | 122.57(12) |
| C(8)-N(1)-C(10) | 123.97(12) |
| C(7)-C(4)-C(5) | 100.55(11) |
| C(7)-C(4)-C(3) | 101.35(11) |
| C(5)-C(4)-C(3) | 109.99(12) |
| C(9)-C(3)-C(4) | 111.83(12) |
| C(9)-C(3)-C(2) | 104.89(12) |
| C(4)-C(3)-C(2) | 103.59(11) |
| C(8)-C(2)-C(1) | 112.19(12) |
| C(8)-C(2)-C(3) | 104.85(11) |
| C(1)-C(2)-C(3) | 103.05(11) |
| C(6)-C(1)-C(7) | 102.04(12) |
| C(6)-C(1)-C(2) | 107.36(12) |
| C(7)-C(1)-C(2) | 101.02(11) |
| C(1)-C(6)-C(5) | 103.50(11) |
| C(5)#1-C(5)-C(4) | 116.01(15) |
| C(5)#1-C(5)-C(6) | 114.23(15) |
| C(4)-C(5)-C(6) | 102.51(12) |
| C(4)-C(7)-C(1) | 94.68(11) |
| O(2)-C(9)-N(1) | 124.15(14) |
| O(2)-C(9)-C(3) | 127.40(14) |
| N(1)-C(9)-C(3) | 108.41(12) |
| O(1)-C(8)-N(1) | 123.73(14) |
| O(1)-C(8)-C(2) | 127.91(13) |
| N(1)-C(8)-C(2) | 108.31(12) |
| C(11)-C(10)-C(15) | 121.13(14) |
| C(11)-C(10)-N(1) | 119.15(13) |
| C(15)-C(10)-N(1) | 119.72(13) |
| C(12)-C(11)-C(10) | 119.03(14) |
| C(13)-C(12)-C(11) | 120.24(14) |
| C(14)-C(13)-C(12) | 120.38(15) |
| C(13)-C(14)-C(15) | 120.07(15) |
| C(10)-C(15)-C(14) | 119.15(14) |
| C(7)-C(4)-C(3)-C(9) | 78.17(14) |
| C(5)-C(4)-C(3)-C(9) | −176.07(11) |
| C(7)-C(4)-C(3)-C(2) | −34.27(14) |
| C(5)-C(4)-C(3)-C(2) | 71.49(14) |
| C(9)-C(3)-C(2)-C(8) | −1.06(14) |
| C(4)-C(3)-C(2)-C(8) | 116.34(12) |
| C(9)-C(3)-C(2)-C(1) | −118.61(12) |
| C(4)-C(3)-C(2)-C(1) | −1.22(14) |
| C(8)-C(2)-C(1)-C(6) | 177.39(11) |
| C(3)-C(2)-C(1)-C(6) | −70.36(13) |
| C(8)-C(2)-C(1)-C(7) | −76.14(14) |
| C(3)-C(2)-C(1)-C(7) | 36.11(14) |
| C(7)-C(1)-C(6)-C(5) | −30.81(13) |
| C(2)-C(1)-C(6)-C(5) | 74.94(13) |
| C(7)-C(4)-C(5)-C(5)#1 | 164.77(16) |
| C(3)-C(4)-C(5)-C(5)#1 | 58.47(19) |
| C(7)-C(4)-C(5)-C(6) | 39.60(13) |
| C(3)-C(4)-C(5)-C(6) | −66.70(14) |
| C(1)-C(6)-C(5)-C(5)#1 | −131.57(16) |
| C(1)-C(6)-C(5)-C(4) | −5.24(14) |
| C(5)-C(4)-C(7)-C(1) | −57.64(12) |
| C(3)-C(4)-C(7)-C(1) | 55.44(13) |
| C(6)-C(1)-C(7)-C(4) | 54.36(12) |
| C(2)-C(1)-C(7)-C(4) | −56.27(13) |
| C(8)-N(1)-C(9)-O(2) | −170.23(14) |
| C(10)-N(1)-C(9)-O(2) | 1.5(2) |
| C(8)-N(1)-C(9)-C(3) | 7.74(17) |
| C(10)-N(1)-C(9)-C(3) | 179.47(12) |
| C(4)-C(3)-C(9)-O(2) | 62.5(2) |
| C(2)-C(3)-C(9)-O(2) | 174.13(15) |
| C(4)-C(3)-C(9)-N(1) | −115.37(13) |
| C(2)-C(3)-C(9)-N(1) | −3.75(15) |
| C(9)-N(1)-C(8)-O(1) | 169.24(14) |
| C(10)-N(1)-C(8)-O(1) | −2.4(2) |
| C(9)-N(1)-C(8)-C(2) | −8.47(16) |
| C(10)-N(1)-C(8)-C(2) | 179.94(13) |
| C(1)-C(2)-C(8)-O(1) | −61.0(2) |
| C(3)-C(2)-C(8)-O(1) | −172.09(15) |
| C(1)-C(2)-C(8)-N(1) | 116.62(13) |
| C(3)-C(2)-C(8)-N(1) | 5.49(15) |
| C(9)-N(1)-C(10)-C(11) | 82.15(18) |
| C(8)-N(1)-C(10)-C(11) | −107.04(16) |
| C(9)-N(1)-C(10)-C(15) | −97.24(17) |
| C(8)-N(1)-C(10)-C(15) | 73.57(19) |
| C(15)-C(10)-C(11)-C(12) | 0.3(2) |
| N(1)-C(10)-C(11)-C(12) | −179.04(13) |
| C(10)-C(11)-C(12)-C(13) | 0.2(2) |
| C(11)-C(12)-C(13)-C(14) | −0.5(2) |
| C(12)-C(13)-C(14)-C(15) | 0.3(2) |
| C(11)-C(10)-C(15)-C(14) | −0.6(2) |
| N(1)-C(10)-C(15)-C(14) | 178.79(13) |
| C(13)-C(14)-C(15)-C(10) | 0.3(2) |
| No. | TCDA | Diamine | Solvent | Solid Content (wt%) Initial → Final | Reaction Period (Day) | Appearance of Final Reaction Mixture | ηred (PAA) (dL g−1) |
|---|---|---|---|---|---|---|---|
| 0 a | BNBDA | 4,4′-ODA | DMAc | 30 → 22.2 | 3 | Homogeneous | 0.79 |
| 1 | ibid | ibid | DMAc | 30 → 19.6 | 3 | Homogeneous | 0.85 (1.05 b) |
| 2 | ibid | BAPP | DMAc | 30 → 14.0 | 3 | Inhomogeneous (Precipitation) | - |
| 2′ | ibid | ibid | NMP | 30 → 21.1 | 3 | Homogeneous | 0.69 |
| 3 | ibid | p-PDA | DMAc | 30 → 8.4 | 3 | Gelation | - |
| 3′ | ibid | ibid | NMP | 30 → 11.6 | 3 | Gelation | - |
| 4 | ibid | DABA | DMAc | 30 | 3 | Gelation | - |
| 4′ | ibid | ibid | NMP | 30 | 3 | Gelation | - |
| 5 | ibid | TFMB | DMAc | 30 → 19 | 9 | Homogeneous | 0.39 |
| 6 | BNBDA (70) | ibid | DMAc | 30 → 10 | 7 | Inhomogeneous (Precipitation) | - |
| 6FDA (30) | |||||||
| 7 | BNBDA | TFMB (50) | DMAc | 30 → 16.4 | 9 | Inhomogeneous (Precipitation) | - |
| BAPP (50) | |||||||
| 8 | H-BPDA | 4,4′-ODA | DMAc | 30 → 11.3 | 3 | Homogeneous | 2.99 |
| No. | TCDA | Diamine | Route | ηred (dL g−1) | T400 (%) | YI | λcut (nm) | Ttot (%) | Haze (%) | Δnth | Tg (°C) | CTE (ppm K−1) | E (GPa) | εb ave/max (%) | σb (GPa) | Td5 (N2) (°C) | Td5 (air) (°C) |
|---|---|---|---|---|---|---|---|---|---|---|---|---|---|---|---|---|---|
| 0T a | BNBDA | 4,4′-ODA | T | 0.79 (PAA) | 84.2 | 2.0 | 288 | 89.2 | 1.25 | 0.009 | - b | - b | - b | - b | - b | 467 | 404 |
| (DMAc) | |||||||||||||||||
| 0C a | ibid | 4,4′-ODA | C | 0.79 (PAA) | Properties unevaluable due to gelation of the CPN solution | ||||||||||||
| 0.13 (PI) | |||||||||||||||||
| 1T | ibid | 4,4′-ODA | T | 0.85 (PAA) | 87.1 | 1.4 | 293 | 89.2 | 0.63 | 0.009 | 361 c | 49.5 | 2.48 | 10.4/18.5 | 0.079 | 498 | 423 |
| (DMAc) | 384 d | ||||||||||||||||
| 2′T | ibid | BAPP | T | 0.69 | 81.6 | 2.3 | 294 | 89.2 | 0.73 | 0.001 | 294 c | 65.9 | 2.17 | 77/124 | 0.083 | 477 | 409 |
| (NMP) | 298 d | ||||||||||||||||
| 5T | ibid | TFMB | T | 0.39 (PAA) | 87.0 | 1.5 | 287 | 90.5 | 0.97 | 0.007 | - b | - b | - b | - b | - b | 412 | 414 |
| (DMAc) | |||||||||||||||||
| 5C | ibid | TFMB | C | 0.13 (PI) | Properties unevaluable due to the absence of film-forming ability | ||||||||||||
| 8T | H-BPDA | 4,4′-ODA | T | 85.2 | 1.6 | 292 | 90.3 | 0.67 | 0.0003 | 246 c | 59.9 | 2.19 | 18.8/41.1 | 0.072 | 435 | 366 | |
| 2.99 | 249 d | ||||||||||||||||
| (DMAc) | 259 e | ||||||||||||||||
| 256 f | |||||||||||||||||
| No. | TCDA (mol%) | Diamine (mol%) | Monomer Content (wt%) Initial → Final | Catalyst | Azeotropic Agent | Reaction Period (h) | Appearance of Final Reaction Mixture | ηred (PI) (dL g−1) |
|---|---|---|---|---|---|---|---|---|
| 0R | BNBDA | 4,4′-ODA | 20.0 → 8.3 | 1-EP (1 Eq.) | Toluene | 3 | Precipitation | - |
| 2R | BNBDA | BAPP | 39.5 → 7.1 | 1-EP (1 Eq.) | - | 4 | Precipitation | - |
| + BA (1 Eq.) | ||||||||
| 5R | BNBDA | TFMB | 20.0 → 10.4 | 1-EP (1 Eq.) | - | 6 | Precipitation | - |
| 9R | H-BPDA | TFMB | 50.0 → 23.5 | 1-EP (3 Eq.) | Toluene | 4 | Homogeneous | 0.67 |
| 10R | BNBDA (80) | TFMB | 30.0 → 17.4 | 1-EP (1.5 Eq.) | - | 4 | Gelation | - |
| 6FDA (20) | ||||||||
| 11R | BNBDA (75) | TFMB | 50.0 → 12.5 | 1-EP (2.5 Eq.) | - | 4 | Homogeneous | 1.05 |
| 6FDA (25) | ||||||||
| 12R | BNBDA (70) | TFMB | 50.0 → 12.8 | 1-EP (2.5 Eq.) | - | 4 | Homogeneous | 1.36 |
| 6FDA (30) | ||||||||
| 17R | H-BPDA (70) | TFMB | 50.0 → 22.5 | 1-EP (2.5 Eq.) | Toluene | 4 | Homogeneous | 0.50 |
| 6FDA (30) | ||||||||
| 19R | BNBDA | TFMB (90) | 50.0 → 10 | 1-EP (1 Eq.) | - | 4 | Precipitation | - |
| BAPP (10) | + BA (1 Eq.) | |||||||
| 27R | ibid | AB-TFMB (50) | 50.0 → 20 | 1-EP (1 Eq.) | - | 4 | Precipitation | - |
| BAPP (50) | + BA (1 Eq.) |
| Strategies | Disadvantages | ||
|---|---|---|---|
![]() | (1) | Main-chain linearity/stiffness ↑ | Solubility ↓, film toughness ↓ applicability to polymerization process (T, C, R) ↓ |
| (2) | Film preparation via solution casting from homogeneous PI solutions | Limited monomers to ensure solubility and low CTE | |
| (3) | Molecular weights of PIs ↑ | Limited polymerization reactivity | |
| (4) | Slow drying/heating (casting at lower temp.) | Extension of film manufacturing time | |
| (5) | Solution casting using lower-b.p. solvents | Flammability of solvent vapor ↑ |
| No. | TCDA (mol%) | ηred (PI) (dL g−1) | T400 (%) | YI | λcut (nm) | Ttot (%) | Haze (%) | εopt | Tg (°C) | CTE (ppm K−1) | E (GPa) | εb ave/max (%) | σb (GPa) | Td5 (N2) (°C) | Td5 (air) (°C) |
|---|---|---|---|---|---|---|---|---|---|---|---|---|---|---|---|
| 5R | BNBDA | Precipitation after modified one-pot polymerization | |||||||||||||
| 10R | BNBDA (80) | Gelation after modified one-pot polymerization | |||||||||||||
| 6FDA (20) | |||||||||||||||
| 11R | BNBDA (75) | 1.05 | 79.6 | 4.0 | 319 | 89.7 | 1.37 | 2.67 | 330 b | 25.2 | 4.13 | 5.6/7.5 | 0.127 | 482 | 416 |
| 6FDA (25) | 383 c | ||||||||||||||
| 12R | BNBDA (70) | 1.36 | 83.3 | 2.9 | 317 | 90.1 | 0.46 | 2.65 | 340 b | 30.6 | 4.84 | 9.4/15.7 | 0.139 | 479 | 415 |
| 6FDA (30) | 374 c | ||||||||||||||
| 13R | BNBDA (60) | 1.04 | 83.9 | 2.7 | 319 | 90.2 | 0.38 | 2.65 | 323 b | 38.8 | 4.39 | 7.9/11.2 | 0.116 | 477 | 420 |
| 6FDA (40) | 343 c | ||||||||||||||
| 14R | BNBDA (50) | 1.14 | 80.5 | 4.1 | 325 | 90.1 | 0.46 | 2.65 | 333 b | 39.2 | 3.82 | 24.4/47.6 | 0.140 | 482 | 429 |
| 6FDA (50) | 348 c | ||||||||||||||
| 15R | BNBDA (30) | 1.24 | 79.4 | 4.3 | 331 | 89.7 | 0.84 | 2.65 | 326 b | 50.0 | 4.31 | 20.8/51.4 | 0.137 | 488 | 440 |
| 6FDA (70) | 327 c | ||||||||||||||
| 16R | BNBDA (20) | 1.30 | 79.1 | 4.7 | 331 | 89.5 | 0.82 | 2.66 | 323 b | 55.3 | - | - | - | 496 | 447 |
| 6FDA (80) | 324 c | ||||||||||||||
| 9R a | H-BPDA | 0.67 | 88.2 | 1.5 | 300 | 90.8 | 0.86 | 2.65 | 265 b | 57.5 | 3.02 | 8.3/9.9 | 0.109 | 470 | 419 |
| 274 c | |||||||||||||||
| 17R | H-BPDA (70) | 0.50 | 84.5 | 2.2 | 330 | 90.5 | 0.63 | 2.65 | 266 b | 55.9 | 2.77 | 8.6/12.4 | 0.109 | 459 | 415 |
| 6FDA (30) | 275 c | ||||||||||||||
| No. | Catalysts (Mol Ratio) | ηred (PI) (dL g−1) | Mn | T400 (%) | YI | λcut (nm) | Ttot (%) | Haze (%) | Δnth | εopt | Tg (°C) | CTE (ppm K−1) | E (GPa) | εb ave/max (%) | σb (GPa) | Td5 (N2) (°C) | Td5 (air) (°C) |
|---|---|---|---|---|---|---|---|---|---|---|---|---|---|---|---|---|---|
| Mw | |||||||||||||||||
| Mw/Mn | |||||||||||||||||
| 12R | 1-EP | 1.36 | 3.28 × 104 | 83.3 | 2.9 | 317 | 90.1 | 0.46 | 0.043 | 2.65 | 340 a | 30.6 | 4.84 | 9.4/15.7 | 0.139 | 479 | 415 |
| 7.65 × 104 | |||||||||||||||||
| (2.5 Eq.) | 2.33 | 374 b | |||||||||||||||
| 12R1 | 1-EP/BA | 1.96 | 4.56 × 104 | 80.5 | 4.0 | 317 | 89.8 | 1.11 | 0.048 | 2.64 | 361 a | 26.0 | 4.74 | 7.6/11.0 | 0.144 | 470 | 436 |
| 1.16 × 105 | |||||||||||||||||
| (1/1) | 2.54 | 386 b | |||||||||||||||
| 12R2 | 1-EP/BA | 2.86 | 6.06 × 104 | 78.6 | 5.3 | 313 | 88.4 | 1.69 | 0.053 | 2.64 | 366 a | 23.6 | 5.30 | 8.9/17.4 | 0.159 | 471 | 422 |
| 1.58 × 105 | |||||||||||||||||
| (2.5/1) | 2.60 | 384 b |
| No. | TCDA | Diamine | ηred (PI) (dL g−1) | Mn | T400 (%) | YI | λcut (nm) | Ttot (%) | Haze (%) | εopt | Tg (°C) | CTE (ppm K−1) | E (GPa) | εb ave/max (%) | σb (GPa) | Td5 (N2) (°C) | Td5 (air) (°C) |
|---|---|---|---|---|---|---|---|---|---|---|---|---|---|---|---|---|---|
| Mw | |||||||||||||||||
| Mw/Mn | |||||||||||||||||
| 5R | BNBDA | TFMB | Precipitation after modified one-pot polymerization | ||||||||||||||
| 18R | BNBDA | TFMB (80) | Precipitation after modified one-pot polymerization | ||||||||||||||
| 4,4′-ODA (20) | |||||||||||||||||
| 19R | BNBDA (70) | TFMB (80) | 1.24 | 3.23 × 104 | 78.2 | 2.8 | 327 | 89.8 | 1.03 | 2.69 | 321 a | 26.0 | 3.58 | 5.7/8.5 | 0.100 | 479 | 411 |
| 6FDA (30) | 4,4′-ODA (20) | 8.16 × 104 | 376 b | ||||||||||||||
| 2.52 | |||||||||||||||||
| 20R | BNBDA (70) | TFMB (80) | 1.65 | 3.13 × 104 | 76.5 | 4.5 | 320 | 89.8 | 0.91 | 2.68 | 320 a | 24.4 | 3.61 | 8.8/15.5 | 0.117 | 483 | 410 |
| 6FDA (30) | 3,4′-ODA (20) | 9.34 × 104 | 346 b | ||||||||||||||
| 2.98 | |||||||||||||||||
| No. | TCDA | Diamine (mol%) | ηred (PI) (dL g−1) | T400 (%) | YI | λcut (nm) | Ttot (%) | Haze (%) | Δnth | εopt | Tg (°C) | CTE (ppm K−1) | E (GPa) | εb ave/max (%) | σb (GPa) | Td5 (N2) (°C) | Td5 (air) (°C) | WA (%) |
|---|---|---|---|---|---|---|---|---|---|---|---|---|---|---|---|---|---|---|
| 5R | BNBDA | TFMB | Precipitation after modified one-pot polymerization | |||||||||||||||
| 21R | ibid | TFMB (90) | Precipitation after modified one-pot polymerization | |||||||||||||||
| BAPP (10) | ||||||||||||||||||
| 22R | ibid | TFMB (80) | 5.05 | 81.6 | 3.8 | 293 | 89.2 | 1.66 | 0.068 | 2.70 | 360 a | 22.6 | 4.68 | 14.8/26.8 | 0.139 | 491 | 435 | 0.43 |
| BAPP (20) | 396 b | |||||||||||||||||
| 23R | ibid | TFMB (70) | 3.18 | 83.1 | 2.9 | 291 | 89.4 | 1.35 | 0.060 | 2.72 | 340 a | 26.4 | 4.09 | 19.2/45.2 | 0.119 | 489 | 427 | 0.55 |
| BAPP (30) | 362 b | |||||||||||||||||
| 24R | ibid | TFMB (60) | 3.30 | 83.8 | 2.6 | 292 | 89.4 | 1.54 | 0.050 | 2.74 | 322 a | 30.7 | 4.16 | 30.2/61.3 | 0.125 | 491 | 428 | 0.79 |
| BAPP (40) | 343 b | |||||||||||||||||
| 25R | ibid | TFMB (50) | 3.84 | 85.2 | 2.1 | 291 | 89.5 | 1.68 | 0.046 | 2.75 | 319 a | 30.5 | 3.39 | 34.2/58.3 | 0.117 | 487 | 432 | 1.02 |
| BAPP (50) | 336 b | |||||||||||||||||
| 2R | ibid | BAPP | Precipitation after modified one-pot polymerization | |||||||||||||||
| 26R | H-BPDA | TFMB (70) | 0.86 | 89.1 | 0.97 | 290 | 90.4 | 0.60 | 0.006 | 2.71 | 258 a | 65.7 | 1.98 | 47.2/95.8 | 0.067 | 472 | 437 | - |
| BAPP (30) | 256 b | |||||||||||||||||
| Properties | Parameters | Ranking | ||||
|---|---|---|---|---|---|---|
| 1 | 2 | 3 | 4 | 5 | ||
| Physical heat resistance (HR) | Tg (°C) | ≤200 | 220–240 | 250–270 | 280–300 | ≥360 or unclear Tg by DMA |
| Low CTE property (LCTE) | CTE (ppm K−1) | ≥70 | 60–50 | 45–35 | 30–20 | ≤10 |
| Light Transmittance (Tr) | T400 (%) | ≤5 | 20–30 | 40–60 | 70–80 | ≥85 |
| Low yellowness (LY) | YI | ≥20 | 10–7 | 6–4 | 3–2 | ≤1 |
| Low haze (LH) | Haze (%) | ≥10 | 4–3 | 3–2 | 2–1 | ≤1 |
| Toughness (To) | εb max (%) | ≤2 or no film-forming ability | 5–10 | 20–30 | 40–60 | ≥80 |
| Solution processability (SP) | Qualitative solubility | Insoluble | Soluble in amide solvents (≤1 wt%) | Soluble in amide solvents (3–5 wt%) | Soluble in amide solvents (>~10 wt%) | Soluble in non-amide solvents (>~10 wt%) |
Disclaimer/Publisher’s Note: The statements, opinions and data contained in all publications are solely those of the individual author(s) and contributor(s) and not of MDPI and/or the editor(s). MDPI and/or the editor(s) disclaim responsibility for any injury to people or property resulting from any ideas, methods, instructions or products referred to in the content. |
© 2023 by the authors. Licensee MDPI, Basel, Switzerland. This article is an open access article distributed under the terms and conditions of the Creative Commons Attribution (CC BY) license (https://creativecommons.org/licenses/by/4.0/).
Share and Cite
Hasegawa, M.; Miyama, T.; Ishii, J.; Watanabe, D.; Uchida, A. Colorless Polyimides Derived from 5,5′-bis(2,3-norbornanedicarboxylic anhydride): Strategies to Reduce the Linear Coefficients of Thermal Expansion and Improve the Film Toughness. Polymers 2023, 15, 3838. https://doi.org/10.3390/polym15183838
Hasegawa M, Miyama T, Ishii J, Watanabe D, Uchida A. Colorless Polyimides Derived from 5,5′-bis(2,3-norbornanedicarboxylic anhydride): Strategies to Reduce the Linear Coefficients of Thermal Expansion and Improve the Film Toughness. Polymers. 2023; 15(18):3838. https://doi.org/10.3390/polym15183838
Chicago/Turabian StyleHasegawa, Masatoshi, Takuya Miyama, Junichi Ishii, Daisuke Watanabe, and Akira Uchida. 2023. "Colorless Polyimides Derived from 5,5′-bis(2,3-norbornanedicarboxylic anhydride): Strategies to Reduce the Linear Coefficients of Thermal Expansion and Improve the Film Toughness" Polymers 15, no. 18: 3838. https://doi.org/10.3390/polym15183838
APA StyleHasegawa, M., Miyama, T., Ishii, J., Watanabe, D., & Uchida, A. (2023). Colorless Polyimides Derived from 5,5′-bis(2,3-norbornanedicarboxylic anhydride): Strategies to Reduce the Linear Coefficients of Thermal Expansion and Improve the Film Toughness. Polymers, 15(18), 3838. https://doi.org/10.3390/polym15183838


