Comparison Adsorption of Cd (II) onto Lignin and Polysaccharide-Based Polymers
Abstract
:1. Introduction
2. Materials and Methods
2.1. Materials
2.2. Experimental Procedure
2.2.1. Adsorption Experiments
2.2.2. The Germination Test
2.3. Characterization Methods
2.3.1. Surface Morphology
2.3.2. Spectrophotometric Determination of Cd (II)
2.3.3. Isotherm Models
2.3.4. Kinetic Models
2.3.5. Biological Stability
3. Results
3.1. Evaluation of the Efficiency Cd (II) Adsorption onto Sarkanda Grass Lignin
3.1.1. Dose Lignin and Initial Concentration of Cd (II)
3.1.2. Initial pH and Contact Time
3.2. Assessment of Cd (II) Adsorption on Sarkanda Grass Lignin Based on Observations Deduced from Surface Analysis
3.3. Wettability Study
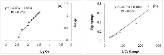
3.4. Modeling of Adsorption Equilibrium of Cd (II) onto Sarkanda Grass Lignin by Obtaining Freundlich and Langmuir Isotherms
3.5. Kinetic Modeling of the Adsorption of Cd (II) onto Sarkanda Grass Lignin
3.6. Evaluation of the Adsorptive Performances of Sarkanda Grass Lignin concerning Cd (II) Retention from Aqueous Solutions by Determining Some Biological Parameters
3.6.1. Number of Germinated Tomato Seeds, Lypercosium esculentum Variety
3.6.2. Germination Energy and Germination Faculty for Tomato Seeds
3.6.3. Mass and Average Height of Tomato Seedlings
4. Discussion
4.1. The Influence of Lignin Sarkanda Grass Dose on the Efficiency of Cd (II) Adsorption from Aqueous Solution
4.2. The Effect of pH and Contact Time on the Adsorption of Cd (II) onto Sarkanda Grass Lignin
4.3. Highlighting the Adsorption of Cd (II) onto Sarkanda Grass Lignin through Surface Analysis
4.4. Adsorption Isotherms
4.5. Kinetics of Cd (II) Adsorption onto Sarkanda Grass Lignin
4.6. Verification of Cd (II) Adsorption Efficiency onto Sarkanda Grass Lignin by Biological Tests
4.7. Comparative Cd (II) Adsorption on Lignin and Polysaccaride-Based Gels
5. Conclusions
Author Contributions
Funding
Institutional Review Board Statement
Data Availability Statement
Conflicts of Interest
References
- Jaishankar, M.; Tseten, T.; Anbalagan, N.; Mathew, B.B.; Mathew, K.N. Toxicity, mechanism and health effects of some heavy metals. Rev. Interdiscip. Toxicol. 2014, 7, 60–72. [Google Scholar] [CrossRef] [PubMed]
- Micó, C.; Recatalá, L.; Peris, M.; Sánchez, J. Assessing Heavy Metal Sources in Agricultural Soils of a European Mediterranean Area by Multivariate Analysis. Chemosphere 2006, 65, 863–872. [Google Scholar] [CrossRef]
- Siegel, F.R. Geochemistry in Ecosystem Analysis of Heavy Metal Pollution in Environmental Geochemistry of Potentially Toxic Metals; Springer: Berlin/Heidelberg, Germany, 2002; pp. 1–14. [Google Scholar]
- Modak, A.; Bhanja, P.; Selvaraj, M.; Bhaumik, A. Functionalized porous organic materials as efficient media for the adsorptive removal of Hg(II) ions. Environ. Sci. Nano 2020, 7, 2887–2923. [Google Scholar] [CrossRef]
- Dhankhar, R.; Hooda, A. Fungal biosorption-An alternative to meet the challenges of heavy metal pollution in aqueous solutions. Environ. Technol. 2011, 32, 46–91. [Google Scholar] [CrossRef]
- Wierzbicka, M.; Obidzinska, J. The Effect of Lead on Seed Imbibition and Germination in Different Plant Species. Plant Sci. 2011, 137, 155–171. [Google Scholar] [CrossRef]
- John, R.; Ahmad, P.; Gadgil, K.; Sharma, S. Cadmium and lead-induced changes in lipid peroxidation, antioxidative enzymes and metal accumulation in Brassica juncea L. At three different growth stages. Arch. Agron. Soil Sci. 2009, 55, 395–405. [Google Scholar] [CrossRef]
- Rahoui, S.; Chaoui, A.; El Ferjani, E. Membrane damage and solute leakage from germinating pea seed under cadmium stress. J. Hazard. Mater. 2010, 178, 1128–1131. [Google Scholar] [CrossRef] [PubMed]
- Qureshi, M.I.; Qadir, S.; Zolla, L. Proteonics—Based dissection of stress responsive pathways in plants. J. Plant Physiol. Arch. 2007, 164, 1239–1260. [Google Scholar] [CrossRef]
- Philip, E.; Madhavan, A.; Pugazhendhi, A.; Sindhu, R.; Sirohi, R.; Awasthi, M.K.; Pandey, A.; Binod, P. Nanocellulose as green material for remediation of hazardous heavy metal contaminants. J. Hazard. Mater. 2022, 424, 127516. [Google Scholar]
- Rotaru, A.; Cojocaru, C.; Cretescu, I.; Pinteala, M.A.; Timpu, D.; Sacarescu, L.; Harabagiu, V. Performances of clay aerogel polymer composites for oil spill sorption: Experimental design and modeling. Sep. Purif. Technol. 2014, 133, 260–275. [Google Scholar] [CrossRef]
- Cojocaru, C.; Macoveanu, M.; Cretescu, I. Peat-based sorbents for the removal of oil spills from water surface: Application of artificial neural network modeling. Colloids Surf. A Physicochem. Eng. Asp. 2011, 384, 675–684. [Google Scholar] [CrossRef]
- Johnson, R.F.; Manjrekar, T.G. Removal of oil from water surfaces by sorption on unstructured fibers. Environ. Sci. Technol. 1973, 7, 439–443. [Google Scholar] [CrossRef] [PubMed]
- Demirbas, A. Heavy metal adsorption onto agro-based waste materials: A review. J. Hazard. Mater 2008, 157, 220–229. [Google Scholar] [CrossRef]
- Weber, W.J.J.; McGinley, P.M.; Katz, L.E. Sorption phenomena in subsurface systems: Concepts, models and effects on contaminant fate and transport. Water Res. 1991, 25, 499–528. [Google Scholar] [CrossRef]
- Abdullah, M.A.; Rahmah, A.U.; Man, Z. Physicochemical and sorption characteristics of Malaysian Ceiba pentandra (L.) Gaertn. as a natural oil sorbent. J. Hazard. Mater. 2010, 177, 683–691. [Google Scholar] [CrossRef] [PubMed]
- Srinivasan, A.; Viraraghavan, A. Oil removal from water using biomaterials. Bioresour. Technol. 2010, 101, 6594–6600. [Google Scholar] [CrossRef]
- Khan, E.; Virojnagud, W.; Ratpukdi, T. Use of biomass sorbents for oil removal from gas station runoff. Chemosphere 2004, 57, 681–689. [Google Scholar] [CrossRef] [PubMed]
- Ribeiro, T.H.; Rubio, J.; Smith, R.W. A dried hydrophobic aquaphyte as an oil filter for oil/water emulsions. Spill Sci. Technol. Bull. 2003, 8, 483–489. [Google Scholar] [CrossRef]
- Crist, R.H.; Martin, J.R.; Crist, D.R. Use of a novel formulation of kraft lignin for toxic metal removal from process waters. Sep. Sci. Technol. 2004, 39, 1535–1545. [Google Scholar] [CrossRef]
- Guo, X.Y.; Zhang, A.Z.; Shan, X.Q. Adsorption of metal ions on lignin. J. Hazard. Mater. 2008, 151, 134–142. [Google Scholar] [CrossRef]
- Ohan, D.; Chander, S. Removal and Recover of Metal Ions from Acid Mine Drainage Using Lignite—A Low Cost Sorbent. J. Hazard. Mater. 2006, 137, 1545–1553. [Google Scholar]
- Mahuli, S.; Agnihotri, R.; Chauk, S.; Ghosh-Dastidar, A.; Fan, L.S. Mechanism of arsenic sorption by hydrated lime. Environ. Sci. Technol. 1997, 31, 3226–3231. [Google Scholar] [CrossRef]
- Todorciuc, T. Contributions to Some Complex Combinations of Natural Products with Aromatic Structure. Ph.D. Thesis, “Gh. Asachi” Polytechnic University of Iasi, Iasi, Romania, 2016; pp. 59–73. [Google Scholar]
- Husseien, M.; Amer, A.A.; El-Maghraby, A. Experimental investigation of thermal modification influence on sorption qualities of barley straw. J. Appl. Sci. Res. 2008, 4, 652–657. [Google Scholar]
- Ungureanu, E.; Trofin, A.; Trincă, L.C.; Ariton, A.M.; Ungureanu, O.C.; Fortună, M.E.; Jităreanu, C.D.; Popa, V.I. Studies on kinetics and adsorption equilibrium of lead and zinc ions from aqueous solutions on Sarkanda Grass lignin. Cellul. Chem. Technol. 2021, 55, 939–948. [Google Scholar] [CrossRef]
- Ungureanu, E.; Jităreanu, C.D.; Trofin, A.; Fortună, M.E.; Ungureanu, O.C.; Ariton, A.M.; Trincă, L.C.; Brezuleanu, S.; Popa, V.I. Use of Sarkanda Grass lignin as a possible adsorbent for As (III) from aqueous solutions-kinetic and equilibrium studies. Cellul. Chem. Technol. 2022, 56, 681–689. [Google Scholar] [CrossRef]
- Hanif, M.A.; Tauqeer, H.M.; Aslam, N.; Hanif, A.; Yaseen, M.; Khera, R.A. Correct Interpretation of sorption mechanism by Isothermal, Kinetic and Thermodynamic models. Int. J. Chem. Biochem. Sci. 2017, 12, 53–67. [Google Scholar]
- Suhas, P.; Carot, J.M.; Carot, R. Lignin-from natural adsorbent to activated carbon: A review. Bioresour. Technol. 2007, 98, 2301–2312. [Google Scholar] [CrossRef]
- Wang, X.; Qin, Y.; Li, Z. Biosorption of zinc from aqueous solutions by rice bran: Kinetics and equilibrium studies. Sep. Sci Technol. 2006, 4, 747–756. [Google Scholar] [CrossRef]
- Pavel, L.V. Behavioral Studies of Heavy Metals in the Soil and of Some Remedy Alternatives. Ph.D. Thesis, “Gh. Asachi” Polytechnic University of Iasi, Iasi, Romania, 2012; pp. 28–36. [Google Scholar]
- Chong, K.H.; Volesky, B. Description of two-metal biosorption equilibria by Langmuir-type models. Biotechnol. Bioeng. 1995, 47, 451–460. [Google Scholar] [CrossRef]
- Rusu, G. Studies on the Use of Cellulosic Wastes in Reducing Environmental Pollution. Ph.D. Thesis, “Gh. Asachi” Polytechnic University of Iasi, Iasi, Romania, 2015; pp. 29–48. [Google Scholar]
- Chen, W.Q.; Shi, Y.L.; Wu, S.L.; Zhu, J. Anthropogenic arsenic cycles: A research framework and features. J. Clean. Prod. 2016, 139, 328–336. [Google Scholar] [CrossRef]
- Seguchi, M.; Uozu, M.; Oneda, H.; Murayama, R.; Okusu, H. Effect of outer bran layers from germinated wheat grains on breadmaking properties. Cereal Chem. 2010, 87, 231–236. [Google Scholar] [CrossRef]
- Kouam, E.B.; Ngompe-Deffo, T.; Beyegue-Djonko, H.; Mandou, M.S.; Chotangui, A.H.; Tankou, C.M. Genotypic evaluation of cowpea germplasm for salinity tolerance at germination and during seedling growth. Agric. Trop. Et Subtrop. 2021, 54, 71–88. [Google Scholar] [CrossRef]
- Kizilgeçi, F.; Mehmet, E.I.; Yıldırım, M. Germination, seedling growth and physio-biochemical indices of bread wheat (Triticum aestivum L.) genotypes under peg induced drought stress. J. Agric. For. Environ. 2021, 67, 163–180. [Google Scholar]
- Norouzi, Y.; Mohammadi, G.; Nosratti, I. Seed germination and seedling growth of wheat (Triticum aestivum) as influenced by safed behman (Centaurea behen) water extract. Biharean Biol. 2017, 11, 98–101. [Google Scholar]
- Brandes, R.; Belosinschi, D.; Brouillette, F.; Chabot, B. A new electrospun chitosan/phosphorylated nanocellulose biosorbent for the removal of cadmium ions from aqueous solutions. J. Environ. Chem. Eng. 2019, 7, 103477. [Google Scholar] [CrossRef]
- Ahmad, I.; Akhtar, M.J.; Zahir, Z.A.; Jamil, A. Effect of cadmium on seed germination and seedling growth of four wheat (Triticum aestivum L.) cultivars. Pak. J. Bot. 2012, 44, 1569–1574. [Google Scholar]
- Mehta, S.K.; Gaur, J.P. Use of algae for removing heavy metal ions from wastewater. Crit. Rev. Biotechnol. 2005, 25, 113–152. [Google Scholar] [CrossRef]
- Boamah, P.O.; Huang, Y.; Hua, M.; Zhang, Q.; Liu, Y.; Onumah, J.; Wang, W.; Song, Y. Removal of cadmium from aqueous solution using low molecular weight chitosan derivative. Carbohydr. Polym. 2015, 122, 255–264. [Google Scholar] [CrossRef] [PubMed]
- Salman, M.; Athar, M.; Farooq, U. Biosorption of heavy metals from aqueous solutions using indigenous and modified lignocellulosic materials. Rev. Environ. Sci. Biotechnol. 2015, 14, 211–228. [Google Scholar] [CrossRef]
- Mata, Y.N.; Blázquez, M.L.; Ballester, A.; González, F.; Muñoz, J.A. Characterization of the biosorption of cadmium, lead and copper with the brown alga Fucus vesiculosus. J. Hazard. Mater. 2008, 158, 316–323. [Google Scholar] [CrossRef] [PubMed]
- Puițel, A.C.; Moisei, N.; Tofănică, B.M.; Gavrilescu, D. Turning Wheat Straw in a Sustainable Raw Material for Paper Industry. Environ. Eng. Manag. J. 2017, 16, 1027–1032. [Google Scholar]
- Chesca, A.M.; Nicu, R.; Tofănică, B.M.; Puiţel, A.C.; Vlase, R.; Gavrilescu, D. Pulping of Corn Stalks—Assessment in Bio-Based Packaging Materials. Cellul. Chem. Technol. 2018, 52, 645–653. [Google Scholar]
- Belosinschi, D.; Tofanica, B.-M. A New Bio-Material with 3D Lightweight Network for Energy and Advanced Applications. Cellul. Chem. Technol. 2018, 25, 897–902. [Google Scholar] [CrossRef]
- Tofanica, B.-M.; Belosinschi, D.; Volf, I. Gels, Aerogels and Hydrogels: A Challenge for the Cellulose-Based Product Industries. Gels 2022, 8, 497. [Google Scholar] [CrossRef]
- Mikhailidi, A.; Saurov, S.K.; Anderson, S.; Kotelnikova, N. Lignocellulose fibers elaborating super-swollen three-dimensional cellulose hydrogels from solution in N, N-dimethylacetamide/lithium chloride. TAPPI J. 2018, 17, 81. [Google Scholar] [CrossRef]
- Garg, U.; Kaur, M.P.; Jawa, G.K.; Sud, D.; Garg, V.K. Removal of cadmium (II) from aqueous solutions by adsorption on agricultural waste biomass. J. Hazard. Mater. 2008, 154, 1149–1157. [Google Scholar] [CrossRef]
- Ghoneim, H.M.; El-Desoky, H.S.; El-Moselhy, K.N.M.; Amer, A.; El-Naga, E.H.A.; Mohamedein, L.I.; Al-Prol, A.E. Removal of cadmium from aqueous solution using marine green algae, Ulva lactuca. Egypt. J. Aquat. Res. 2014, 40, 235–242. [Google Scholar] [CrossRef]
- Sciban, M.; Klasnja, M.; Skrbic, B. Modified softwood sawdust as adsorbent of heavy metal ions from water. J. Hazard. Mater. 2006, 136, 266–271. [Google Scholar] [CrossRef]
- Kumar, U.; Bandyopadhyay, M. Sorption of cadmium from aqueous solution using pretreated rice husk. Bioresour. Technol. 2006, 97, 104–109. [Google Scholar] [CrossRef] [PubMed]


















| Time [s] | CA L | CA R | CA M | L [mm] | H [mm] | V [μL] | A [mm2] |
|---|---|---|---|---|---|---|---|
| 0.000 | 83.5 | 85.4 | 84.5 | 1.66 | 0.73 | 1.01 | 3.88 |
| 0.016 | 81.3 | 82.8 | 82.1 | 1.65 | 0.70 | 0.95 | 3.74 |
| 0.032 | 81.3 | 82.8 | 82.1 | 1.65 | 0.70 | 0.95 | 3.74 |
| 0.048 | 81.2 | 82.6 | 82.9 | 1.65 | 0.70 | 0.96 | 3.74 |
| 0.064 | 80.9 | 82.6 | 81.7 | 1.65 | 0.70 | 0.96 | 3.76 |
| 0.080 | 83.3 | 85.3 | 81.3 | 1.66 | 0.73 | 1.02 | 3.89 |
| 0.096 | 81.0 | 82.5 | 81.8 | 1.65 | 0.70 | 0.96 | 3.75 |
| 0.112 | 81.2 | 82.8 | 82.0 | 1.65 | 0.70 | 0.95 | 3.73 |
| 0.128 | 81.1 | 82.6 | 81.8 | 1.65 | 0.70 | 0.96 | 3.75 |
| 0.144 | 81.0 | 82.6 | 81.8 | 1.65 | 0.70 | 0.96 | 3.76 |
| Time [s] | CA L | CA R | CA M | L [mm] | H [mm] | V [μL] | A [mm2] |
|---|---|---|---|---|---|---|---|
| 0.000 | 98.9 | 99.5 | 99.2 | 1.53 | 0.86 | 1.15 | 4.23 |
| 0.016 | 98.4 | 99.0 | 98.7 | 1.53 | 0.85 | 0.13 | 4.19 |
| 0.032 | 99.9 | 100.2 | 100.0 | 1.52 | 0.87 | 1.17 | 4.27 |
| 0.048 | 98.5 | 99.3 | 98.9 | 1.53 | 0.86 | 1.14 | 4.21 |
| 0.064 | 97.8 | 98.3 | 98.0 | 1.53 | 0.70 | 1.10 | 4.11 |
| 0.080 | 98.8 | 99.4 | 99.1 | 1.52 | 0.84 | 1.12 | 4.16 |
| 0.096 | 97.8 | 98.7 | 98.3 | 1.53 | 0.85 | 1.13 | 4.17 |
| 0.112 | 98.0 | 98.5 | 98.2 | 1.53 | 0.85 | 1.12 | 4.16 |
| 0.128 | 96.5 | 97.2 | 96.9 | 1.53 | 0.83 | 1.08 | 4.05 |
| 0.144 | 96.5 | 98.3 | 97.9 | 1.53 | 0.84 | 1.10 | 4.11 |
| Pollutant | Time (Min) | Freundlich Model | Langmuir Model | ||||
|---|---|---|---|---|---|---|---|
| R2 | 1/n | kF | R2 | qmax (mg/g) | KL | ||
| Cd2+ | 30 | 0.9810 | 0.9125 | 0.8321 | 0.8863 | 2.4224 | 0.2457 |
| 60 | 0.9726 | 0.9312 | 1.0432 | 0.8276 | 2.5562 | 0.3411 | |
| 120 | 0.9637 | 0.9041 | 1.0359 | 0.8219 | 2.7593 | 0.3528 | |
| Pollutant | ci (mg/mL) | Lagergren Model | Ho and McKay Model | ||||
|---|---|---|---|---|---|---|---|
| R2 | qe (mg/g) | K1 (min−1) | R2 | qe (mg/g) | K2 (g/mg·min) | ||
| Cd2+ | 10 | 0.9423 | 1.1036 | −0.0032 | 1 | 0.9421 | 16.0000 |
| 20 | 0.9462 | 5.9245 | −0.0009 | 1 | 3.0358 | 12.6130 | |
| 30 | 0.7108 | 7.3912 | −0.0007 | 1 | 3.4399 | 7.1986 | |
| 40 | 0.9151 | 11.7680 | −0.0006 | 1 | 4.8366 | 6.8051 | |
| 50 | 0.9084 | 11.5501 | −0.0005 | 1 | 5.6487 | 5.7101 | |
| 60 | 0.9527 | 16.2793 | −0.0005 | 1 | 7.3824 | 3.9486 | |
| 70 | 0.8402 | 16.3430 | −0.0004 | 1 | 7.9946 | 3.2289 | |
| 80 | 0.9011 | 11.5006 | −0.0003 | 1 | 8.0820 | 2.0197 | |
| 90 | 0.7186 | 8.2721 | −0.0002 | 1 | 7.1912 | 0.8102 | |
| 100 | 0.7142 | 6.5019 | −0.0001 | 1 | 5.9912 | 0.2318 | |
| Lignin/Cd2+ (mg/L) | Contact Time (Min) | Lignin/Cd2+ (mg/L) Filtered | Contact Time (Min) | ||||||||||
|---|---|---|---|---|---|---|---|---|---|---|---|---|---|
| 30 | 60 | 120 | 30 | 60 | 120 | 30 | 60 | 120 | 30 | 60 | 120 | ||
| Eg, % | Fg, % | Eg, % | Fg, % | ||||||||||
| 0 | 90 | 90 | 90 | 90 | 90 | 90 | 0 | 10 | 10 | 10 | 10 | 10 | 10 |
| 11.241 | 60 | 60 | 60 | 0 | 0 | 0 | 11.241 | 80 | 90 | 90 | 80 | 90 | 100 |
| 22.482 | 50 | 40 | 40 | 0 | 0 | 0 | 22.482 | 80 | 90 | 90 | 90 | 90 | 90 |
| 33.723 | 50 | 40 | 40 | 0 | 0 | 0 | 33.723 | 70 | 100 | 90 | 90 | 100 | 100 |
| 44.964 | 40 | 20 | 10 | 0 | 0 | 0 | 44.964 | 70 | 100 | 100 | 90 | 100 | 100 |
| 56.205 | 20 | 10 | 10 | 0 | 0 | 0 | 56.205 | 70 | 90 | 90 | 80 | 90 | 100 |
| 67.446 | 20 | 10 | 10 | 0 | 0 | 0 | 67.446 | 60 | 100 | 100 | 70 | 100 | 100 |
| 78.687 | 10 | 0 | 0 | 0 | 0 | 0 | 78.687 | 60 | 100 | 100 | 60 | 100 | 100 |
| 89.928 | 0 | 0 | 0 | 0 | 0 | 0 | 89.928 | 50 | 90 | 90 | 50 | 90 | 100 |
| 101.169 | 0 | 0 | 0 | 0 | 0 | 0 | 101.169 | 50 | 90 | 90 | 50 | 90 | 100 |
| 112.41 | 0 | 0 | 0 | 0 | 0 | 0 | 112.41 | 50 | 100 | 100 | 50 | 100 | 90 |
Disclaimer/Publisher’s Note: The statements, opinions and data contained in all publications are solely those of the individual author(s) and contributor(s) and not of MDPI and/or the editor(s). MDPI and/or the editor(s) disclaim responsibility for any injury to people or property resulting from any ideas, methods, instructions or products referred to in the content. |
© 2023 by the authors. Licensee MDPI, Basel, Switzerland. This article is an open access article distributed under the terms and conditions of the Creative Commons Attribution (CC BY) license (https://creativecommons.org/licenses/by/4.0/).
Share and Cite
Ungureanu, E.; Fortună, M.E.; Țopa, D.C.; Brezuleanu, C.O.; Ungureanu, V.I.; Chiruță, C.; Rotaru, R.; Tofanica, B.M.; Popa, V.I.; Jităreanu, D.C. Comparison Adsorption of Cd (II) onto Lignin and Polysaccharide-Based Polymers. Polymers 2023, 15, 3794. https://doi.org/10.3390/polym15183794
Ungureanu E, Fortună ME, Țopa DC, Brezuleanu CO, Ungureanu VI, Chiruță C, Rotaru R, Tofanica BM, Popa VI, Jităreanu DC. Comparison Adsorption of Cd (II) onto Lignin and Polysaccharide-Based Polymers. Polymers. 2023; 15(18):3794. https://doi.org/10.3390/polym15183794
Chicago/Turabian StyleUngureanu, Elena, Maria E. Fortună, Denis C. Țopa, Carmen O. Brezuleanu, Vlad I. Ungureanu, Ciprian Chiruță, Razvan Rotaru, Bogdan M. Tofanica, Valentin I. Popa, and Doina C. Jităreanu. 2023. "Comparison Adsorption of Cd (II) onto Lignin and Polysaccharide-Based Polymers" Polymers 15, no. 18: 3794. https://doi.org/10.3390/polym15183794
APA StyleUngureanu, E., Fortună, M. E., Țopa, D. C., Brezuleanu, C. O., Ungureanu, V. I., Chiruță, C., Rotaru, R., Tofanica, B. M., Popa, V. I., & Jităreanu, D. C. (2023). Comparison Adsorption of Cd (II) onto Lignin and Polysaccharide-Based Polymers. Polymers, 15(18), 3794. https://doi.org/10.3390/polym15183794

