Non-Isothermal Simulation and Safety Analysis of Twin-Screw Extrusion Process for Synthetizing Glycidyl Azide Polymer-Based Energetic Thermoplastic Elastomer
Abstract
:1. Introduction
2. Materials and Methods
2.1. Synthesis and Characterization of GAP-ETPE
2.1.1. Synthesis Reaction of GAP-ETPE
2.1.2. Performance Characterization and Sensitivity Testing of GAP-ETPE
2.2. Establishment of Finite Element Model
2.2.1. Finite Element Model
2.2.2. Mathematical Model
2.2.3. Mesh Generation
2.2.4. Boundary Conditions
2.2.5. Prepare UDF and Apply Reaction Heat
3. Results and Discussion
3.1. Analysis of Test Results
3.1.1. Thermal Behavior of GAP-ETPE
3.1.2. Mechanical Sensitivity Analysis
3.2. Calculation Results and Safety Analysis
3.2.1. Discussion and Safety Analysis of Temperature
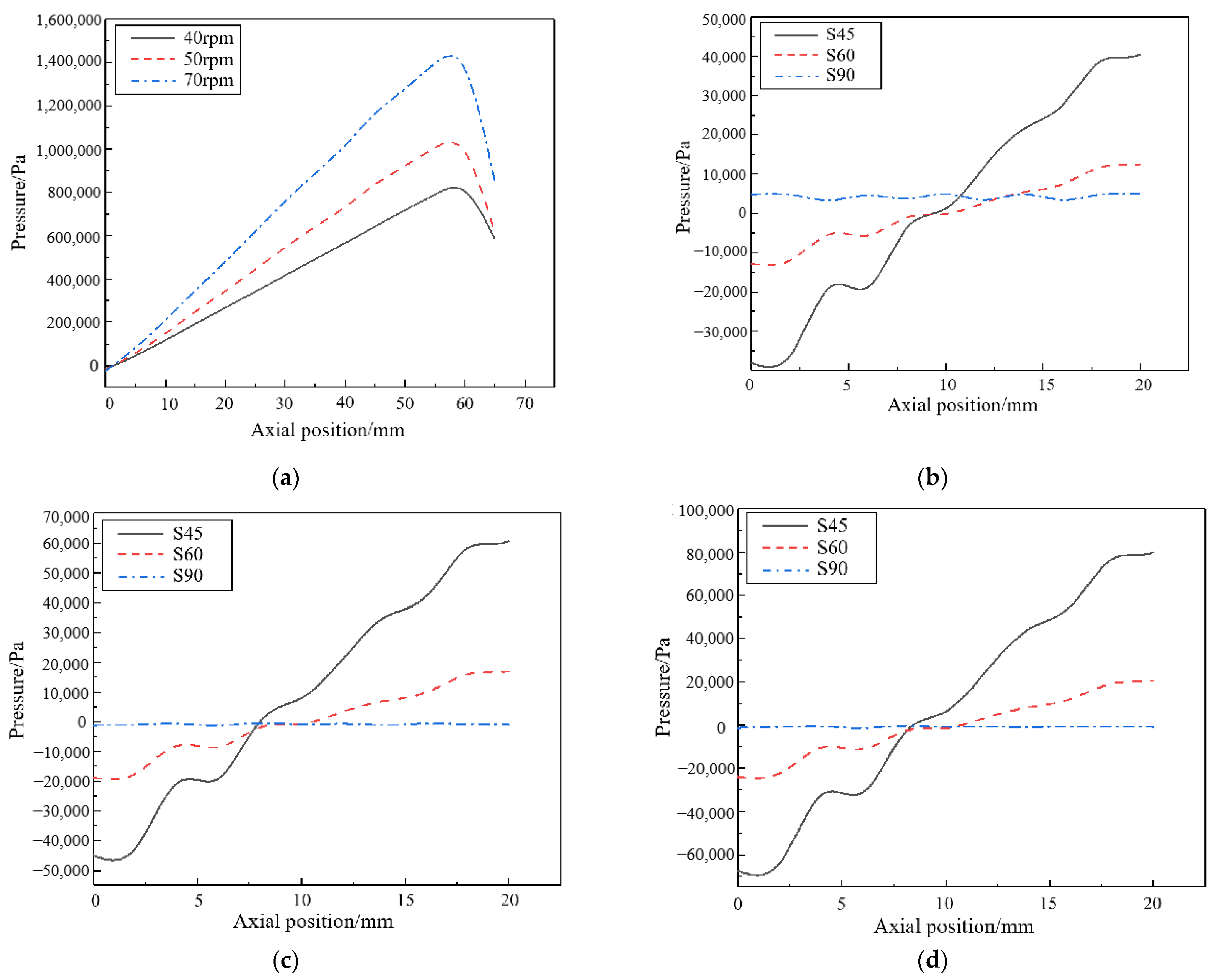
3.2.2. Discussion and Safety Analysis of Pressure
3.2.3. Discussion and Safety Analysis of Shear Stress and Velocity
3.2.4. Discussion and Safety Analysis of Response Time
4. Conclusions
Author Contributions
Funding
Institutional Review Board Statement
Data Availability Statement
Conflicts of Interest
Nomenclature
| 𝑝 | Pressure |
| Stress tensor component | |
| t | Time |
| Density | |
| 𝑘 | Thermal conductivity |
| Specific heat capacity | |
| 𝜂 | Viscosity |
| Shear rate | |
| Reaction rate constant at temperature | |
| Reaction activation energy | |
| Decomposition reaction exothermic | |
| R | Molar gas constant |
| Activation entropy | |
| Dynamic viscosity | |
| Second viscosity | |
| Unit mass forces in X direction | |
| Unit mass forces in Y direction | |
| Unit mass forces in Z direction | |
| Velocity component in X direction | |
| Velocity component in Y direction | |
| Velocity component in Z direction |
References
- Yu, X.H.; Ding, T.; Yu, T.B. Application of energetic binder in PBX explosive under aqueous suspension coating granulation. Ordnance Ind. Autom. 2020, 39, 82–84. [Google Scholar]
- Chan, M.L.; Reed, R.; Ciaramitaro, D.A. Advances in Solid Propellant Formulations. In Progress in Astronautics and Aeronautics, 185 Solid Propellant Chemistry, Combustion, and Motor Interior Ballistics; Brill, T.B., Rey, W.Z., Eds.; American Institute of Aeronautics and Astronautics, Inc.: Reston, VA, USA, 2000; pp. 185–206. [Google Scholar]
- Stern, A.G.; Adolph, H.G. Hydrolysable Energetic Thermoplastic Elastomers and Methods of Preparation Thereof. U.S. Patent 6395859B1, 28 May 2002. [Google Scholar]
- Liu, S.; Zhang, X.-M.; Zhang, J.; Zheng, M.-Z.; Liu, W.-H.; Luo, Y. Creep properties of GAP-ETPE-based energetic solid propellants. J. Fire Explos. 2022, 45, 877–883. [Google Scholar] [CrossRef]
- Tzoganakis, C. Reactive extrusion of polymers: A review. Adv. Polym. Technol. J. Polym. Process. Inst. 1989, 9, 321–330. [Google Scholar] [CrossRef]
- Teng, S. Design and implementation of advanced control system for batch reactor. Dalian Univ. Technol. 2023, 8, 19. [Google Scholar]
- Zhuang, Y.; Saadatkhah, N.; Morgani, M.S.; Xu, T.; Martin, C.; Patience, G.S.; Ajji, A. Experimental methods in chemical engineering: Reactive extrusion. Can. J. Chem. Eng. 2023, 101, 59–77. [Google Scholar] [CrossRef]
- De Smit, K.; Wieme, T.; Marien, Y.W.; Van Steenberge, P.H.; D’hooge, D.R.; Edeleva, M. Multi-scale reactive extrusion modelling approaches to design polymer synthesis, modification and mechanical recycling. React. Chem. Eng. 2022, 7, 245–263. [Google Scholar] [CrossRef]
- Sakai, T. Screw extrusion technology—Past, present and future. Polimery 2013, 58, 847–857. [Google Scholar] [CrossRef]
- Li, T.T.; Feng, L.F.; Gu, X.P.; Zhang, C.L.; Wang, P.; Hu, G.H. Intensification of polymerization processes by reactive extrusion. Ind. Eng. Chem. Res. 2021, 60, 2791–2806. [Google Scholar] [CrossRef]
- Sobhani, H.; Ghoreishy, M.H.R.; Razavi-Nouri, M.; Anderson, P.D.; Meijer, H.H.E. Modelling of polymer fluid flow and residence time distribution in Twin-screw extruder using fictitious domain method. Plast Rubber Compos. 2011, 40, 387–396. [Google Scholar] [CrossRef]
- Verma, S.K.; Gupta, V.; Mukherjee, S.S.; Gangradey, R.; Srinivasan, R. Development of CFD model for the analysis of a cryogenics twin-screw hydrogen extruder system. Cryogenics 2021, 113, 103232. [Google Scholar] [CrossRef]
- Sardo, L.; Vergnes, B.; Valette, R. Numerical modelling of the non-isothermal flow of a non-newtonian polymer in a co-kneader. Int. Polym. Process. 2017, 32, 425–433. [Google Scholar] [CrossRef]
- Malik, M.; Kalyon, D.M.; Golba, J.C., Jr. Simulation of Co-Rotating Twin-screw Extrusion Process Subject to Pressure-Dependent Wall Slip at Barrel and Screw Surfaces: 3D FEM Analysis for Combinations of Forward- and Reverse-Conveying Screw Elements. Int. Polym. Process. 2014, 29, 52–63. [Google Scholar] [CrossRef]
- Salahudeen, S.A.; AlOthman, O.; Elleithy, R.H.; Al-Zahrani, S.M.; Rahmat, A.R.B. Optimization of Rotor Speed Based on Stretching, Efficiency, and Viscous Heating in Nonintermeshing Internal Batch Mixer: Simulation and Experimental Verification. J. Appl. Polym. Sci. 2012, 127, 2739–2748. [Google Scholar] [CrossRef]
- Salahudeen, S.A.; Elleithy, R.H.; AlOthman, O. Comparative study of internal batch mixer such as cam, banbury and roller: Numerical simulation and experimental verification. Chem. Eng. Sci. 2011, 66, 2502–2511. [Google Scholar] [CrossRef]
- Ishikawa, T.; Kihara, S.I.; Funatsu, K. 3-D numerical simulations of nonisothermal flow in co-rotating conveying element extruders. Polym. Eng. Sci. 2000, 40, 357–364. [Google Scholar] [CrossRef]
- Khalifeh, A.; Clermont, J.R. Characteristic curves based on 3D non-isothermal flow computations in single-screw extruder for non-newtonian fluids. Int. Polym. Process. 2007, 22, 324–333. [Google Scholar] [CrossRef]
- Martinez-Pastor, J.; Franco, P.; Franco-Menchon, J.A. Optimization of extrusion process of double-base propellants from their rheological properties. Int. J. Mater. Form. 2019, 12, 307–320. [Google Scholar] [CrossRef]
- Martinez-Pastor, J.; Franco, P.; Ramirez, F.J.; Lopez-Garcia, P.J. Influence of rheological behaviour on extrusion parameters during non-continuous extrusion of multi-base propellants. Int. J. Mater. Form. 2018, 11, 87–99. [Google Scholar] [CrossRef]
- Kalaycioglu, B.; Dirikolu, M.H.; Çelik, V. An elasto-viscoplastic analysis of direct extrusion of a double base solid propellant. Adv. Eng. Softw. 2010, 41, 1110–1114. [Google Scholar] [CrossRef]
- Edeleva, M.; De Smit, K.; Debrie, S.; Verberckmoes, A.; Marien, Y.W.; D’hooge, D.R. Molecular scale-driven upgrading of extrusion technology for sustainable polymer processing and recycling. Curr. Opin. Green Sustain. Chem. 2023, 43, 100848. [Google Scholar] [CrossRef]
- Fel, E.; Massardier, V.; Mélis, F.; Vergnes, B.; Cassagnau, P. Residence time distribution in a high shear Twin-screw extruder. Int. Polym. Process. 2014, 29, 71–80. [Google Scholar] [CrossRef]
- Connelly, R.K.; Kokini, J.L. The effect of shear thinning and differential viscoelasticity on mixing in a model 2D mixer as determined using FEM with particle tracking. J. Non-Newton. Fluid Mech. 2004, 123, 1–17. [Google Scholar] [CrossRef]
- Fard, A.S.; Hulsen, M.A.; Meijer, H.E.H.; Famili, N.M.H.; Anderson, P.D. Tools to Simulate Distributive Mixing in Twin-Screw Extruders. Macromol. Theory Simul. 2012, 21, 217–240. [Google Scholar] [CrossRef]
- Ozkan, S.; Gevgilili, H.; Kalyon, D.M.; Kowalczyk, J.; Mezger, M. Twin-screw extrusion of nano-alumina–based simulants of energetic formulations involving gel-based binders. J. Energ. Mater. 2007, 25, 173–201. [Google Scholar] [CrossRef]
- Rozen, A.; Bakker, R.A. Effect of Operating Parameters and Screw Geometry on Micromixing in a Co-Rotating Twin-Screw Extruder. Chem. Eng. Res. Des. 2001, 79, 938–942. [Google Scholar] [CrossRef]
- Berzin, F.; David, C.; Vergnes, B. Optimization and Scale-Up of Twin-Screw Reactive Extrusion: The Case of EVA Transesterification. Int. Polym. Process. 2020, 35, 422–428. [Google Scholar] [CrossRef]
- Ke, Z.; Zhongqi, H.; Shupan, Y.; Wanghua, C. Numerical simulation for exploring the effect of viscosity on single-screw extrusion process of propellant. Procedia Eng. 2014, 84, 933–939. [Google Scholar] [CrossRef]
- Zhu, L.; Narh, K.A.; Hyun, K.S. Investigation of mixing mechanisms and energy balance in reactive extrusion using three-dimensional numerical simulation method. Int. J. Heat Mass Transfer 2004, 48, 3411–3422. [Google Scholar] [CrossRef]
- Cegla, M.; Engell, S. Application of Model Predictive Control to the reactive extrusion of e-Caprolactone in a twin-screw extruder. IFAC-PapersOnLine 2021, 54, 225–230. [Google Scholar] [CrossRef]
- Zhang, Z.X.; Gao, C.; Xin, Z.X.; Kim, J.K. Effects of extruder parameters and silica on physico-mechanical and foaming properties of PP/wood-fiber composites. Compos. Part B 2012, 43, 2047–2057. [Google Scholar] [CrossRef]
- Zong, Y.; Tang, H.; Zhao, L. 3-D Numerical Simulations for Polycondensation of Poly(p-phenylene terephthalamide) in Twin-screw Extruder. Polym. Eng. Sci. 2017, 57, 1252–1261. [Google Scholar] [CrossRef]
- Zhang, X.M.; Feng, L.F.; Chen, W.X.; Hu, G.H. Numerical Simulation and Experimental Validation of Mixing Performance of Kneading Discs in a Twin-screw Extruder. Polym. Eng. Sci. 2009, 49, 1772–1783. [Google Scholar] [CrossRef]
- Rathod, M.L.; Kokini, J.L. Effect of mixer geometry and operating conditions on mixing efficiency of a non-Newtonian fluid in a conveying element mixer. J. Food Eng. 2013, 118, 256–265. [Google Scholar] [CrossRef]
- Sayin, R.; El Hagrasy, A.S.; Litster, J.D. Distributive mixing elements: Towards improved granule attributes from a conveying element granulation process. Chem. Eng. Sci. 2015, 125, 165–175. [Google Scholar] [CrossRef]
- Hirata, K.; Ishida, H.; Hiragohri, M. Effectiveness of a Backward Mixing Screw Element for Glass Fiber Dispersion in a Twin-Screw Extruder. Polym. Eng. Sci. 2014, 54, 2005–2012. [Google Scholar] [CrossRef]
- Hétu, J.F.; Ilinca, F. Immersed boundary finite elements for 3D flow simulations in twin-screw extruders. Comput. Fluids 2013, 87, 2–11. [Google Scholar] [CrossRef]
- Sun, D.; Zhu, X.; Gao, M. 3D numerical simulation of reactive extrusion processes for preparing PP/TiO2 nanocomposites in a corotating Twin-screw extruder. Materials 2019, 12, 671. [Google Scholar] [CrossRef]
- You, J.S.; Noh, S.-T. Rheological and thermal properties of glycidyl azide polyol-based energetic thermoplastic polyurethane elastomers. Polym. Int. 2013, 62, 158–164. [Google Scholar] [CrossRef]
- GJB 772A-1997; Explosive Test Methods. Ordnance Industry Corporation: Beijing, China, 1997; “601.1 Explosion Probability Method” and “602.1 Explosion Probability Method”.
- Wang, J.C. Kinetic Studies on the Polymerization of Dicyclohexylmethylmethane-4, 4′-Diisocyanate with Polyoxytetramethylene Diol. Adv. Mater. Res. 2013, 791–793, 32–35. [Google Scholar] [CrossRef]
- Yuan, J.; Qin, Y.; Peng, H.; Xia, T.; Liu, J.; Zhao, W.; Liu, Y. Experiment and Numerical Simulation on Friction Ignition Response of HMX-Based Cast PBX Explosive. Crystals 2023, 13, 671. [Google Scholar] [CrossRef]

















| Screw Diameter/mm | Screw Clearance/mm | Lead Range/mm | Sleeve Length/mm | Screw Length/mm |
|---|---|---|---|---|
| 26 | 0.4 | 32 | 65 | 65 |
| Name | Disc Thickness (Number/mm) | Stagger Angle/° | Involute End Circle Diameter/mm | Minimum Tooth Width/mm | Maximum Actual Tooth Width/mm |
|---|---|---|---|---|---|
| S90 | 5/4 | 90 | 13 | 1.49 | 1.63 |
| S60 | 5/4 | 60 | 13 | 1.49 | 1.63 |
| S45 | 5/4 | 45 | 13 | 1.49 | 1.63 |
| (kJ/mol) | A | (kJ/mol) | (J/mol−1·K−1) |
|---|---|---|---|
| 108.996 | 1.7 × 1010 | 1044 | −59.397 |
| Sample | Impact Sensitivity/% | Friction Sensitivity/% |
|---|---|---|
| GAP-ETPE | 0 | 15 |
Disclaimer/Publisher’s Note: The statements, opinions and data contained in all publications are solely those of the individual author(s) and contributor(s) and not of MDPI and/or the editor(s). MDPI and/or the editor(s) disclaim responsibility for any injury to people or property resulting from any ideas, methods, instructions or products referred to in the content. |
© 2023 by the authors. Licensee MDPI, Basel, Switzerland. This article is an open access article distributed under the terms and conditions of the Creative Commons Attribution (CC BY) license (https://creativecommons.org/licenses/by/4.0/).
Share and Cite
Yuan, J.; Liu, Y.; Wang, J.; Qu, Y.; Sun, H.; Qin, Y.; Wang, N. Non-Isothermal Simulation and Safety Analysis of Twin-Screw Extrusion Process for Synthetizing Glycidyl Azide Polymer-Based Energetic Thermoplastic Elastomer. Polymers 2023, 15, 3662. https://doi.org/10.3390/polym15183662
Yuan J, Liu Y, Wang J, Qu Y, Sun H, Qin Y, Wang N. Non-Isothermal Simulation and Safety Analysis of Twin-Screw Extrusion Process for Synthetizing Glycidyl Azide Polymer-Based Energetic Thermoplastic Elastomer. Polymers. 2023; 15(18):3662. https://doi.org/10.3390/polym15183662
Chicago/Turabian StyleYuan, Junming, Yan Liu, Jinying Wang, Yuan Qu, Hu Sun, Yue Qin, and Nan Wang. 2023. "Non-Isothermal Simulation and Safety Analysis of Twin-Screw Extrusion Process for Synthetizing Glycidyl Azide Polymer-Based Energetic Thermoplastic Elastomer" Polymers 15, no. 18: 3662. https://doi.org/10.3390/polym15183662
APA StyleYuan, J., Liu, Y., Wang, J., Qu, Y., Sun, H., Qin, Y., & Wang, N. (2023). Non-Isothermal Simulation and Safety Analysis of Twin-Screw Extrusion Process for Synthetizing Glycidyl Azide Polymer-Based Energetic Thermoplastic Elastomer. Polymers, 15(18), 3662. https://doi.org/10.3390/polym15183662
