Synthesis and Evaluation of Antifungal and Antibacterial Abilities of Carbon Nanotubes Grafted to Poly(2-hydroxyethyl methacrylate) Nanocomposites
Abstract
:1. Introduction
2. Materials and Methods
2.1. Materials
2.2. Synthesis, Purification, and Chemical Functionalization of the CNTs
2.3. Synthesis of CNTsamine/PHEMA Nanocomposites
2.4. Characterization of CNTsamine/PHEMA Nanocomposites
2.4.1. Fourier-Transform Infrared Spectroscopy (FT-IR)
2.4.2. X-ray Photoelectron Spectroscopy (XPS)
2.4.3. Field-Emission Scanning Electron Microscopy (FE-SEM)
2.4.4. Transmission Electron Microscopy (TEM)
2.4.5. Differential Scanning Calorimetry (DSC)
2.4.6. Thermogravimetric Analysis (TGA)
2.4.7. Evaluation of the Antibacterial and Antifungal Abilities of Pure PHEMA and the CNTsamine/PHEMA Nanocomposites
3. Results and Discussion
3.1. Analysis of the Chemical Structure of CNTsamine/PHEMA Nanocomposites
3.2. Morphological Analysis of CNTsamine/PHEMA Nanocomposites
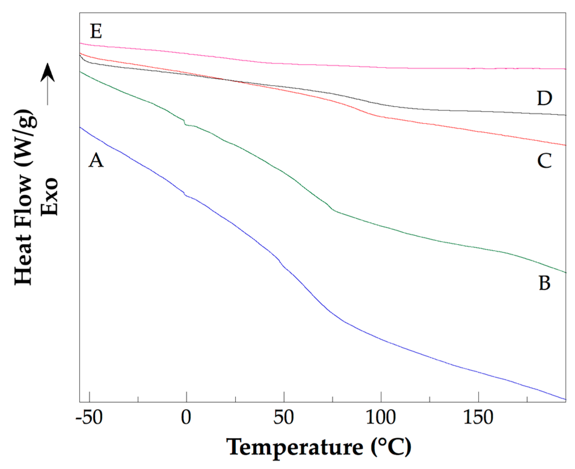
3.3. Thermal Analysis of CNTsamine/PHEMA Nanocomposites
3.4. Evaluation of the Antifungal and Antibacterial Abilities of the CNTsamine/PHEMA Nanocomposites
4. Conclusions
Supplementary Materials
Author Contributions
Funding
Institutional Review Board Statement
Data Availability Statement
Acknowledgments
Conflicts of Interest
References
- Zare, M.; Bigham, A.; Zare, M.; Luo, H.; Ghomi, E.R.; Ramakrishna, S. pHEMA: An overview for biomedical applications. Int. J. Mol. Sci. 2021, 22, 6376. [Google Scholar] [CrossRef]
- Musgrave, C.S.A.; Fang, F. Contact lens materials: A materials science perspective. Materials 2019, 12, 261. [Google Scholar] [CrossRef]
- Ghanbarinia Firozjah, R.; Sadeghi, A.; Khoee, S. Ultrasonic De-cross-linking of the pH-and magneto-responsive PHEMA/PMMA microgel to janus nanoparticles: A new synthesis based on “grafting from”/“grafting to” polymerization. ACS Omega 2020, 5, 27119–27132. [Google Scholar] [CrossRef]
- Chen, L.; Tang, Y.; Zhao, K.; Liu, J.; Jiao, M.; Bai, H.; Wu, Z. HEMA-modified expandable p(MMA-AA) bone cement with dual water absorption networks. Macromol. Mater. Eng. 2020, 305, 1900752. [Google Scholar] [CrossRef]
- Wang, Y.; Chu, X.; Sun, Y.; Teng, P.; Xia, T.; Chen, Y. A convenient approach by using poly-(HEMA-co-NIPAM)/Cu2+ solution sol-gel transition for wound protection and healing. J. Biomed. Mater. Res. 2021, 109, 50–59. [Google Scholar] [CrossRef] [PubMed]
- Boni, R.; Ali, A.; Shavandi, A.; Clarkson, A.N. Current and novel polymeric biomaterials for neural tissue engineering. J. Biomed. Sci. 2018, 25, 90. [Google Scholar] [CrossRef]
- Jacob, S.; Nair, A.B.; Shah, J.; Sreeharsha, N.; Gupta, S.; Shinu, P. Emerging role of hydrogels in drug delivery systems, tissue engineering and wound management. Pharmaceutics 2021, 13, 357. [Google Scholar] [CrossRef]
- Das, D.; Pal, S. Dextrin/poly (HEMA): pH responsive porous hydrogel for controlled release of ciprofloxacin. Int. J. Biol. Macromol. 2015, 72, 171–178. [Google Scholar] [CrossRef]
- Chornopyshchuk, R.; Nagaichuk, V.; Gerashchenko, I.; Nazarchuk, H.; Kukolevska, O.; Chornopyshchuk, N.; Sidorenko, S. Antimicrobial properties of a new polymeric based on poly(2-hydroxyethyl methacrylate). Acta Biomed. 2022, 93, e2022012. [Google Scholar] [PubMed]
- Ergene, C.; Yasuhara, K.; Palermo, E.F. Biomimetic antimicrobial polymers: Recent advances in molecular design. Polym. Chem. 2018, 9, 2407–2427. [Google Scholar] [CrossRef]
- Tirth, V.; Ghori, S.W.; Gupta, P. Fundamentals of polymer nanocomposites. In Advanced Polymer Nanocomposites, 1st ed.; Hoque, M.E., Ramar, K., Sharif, A., Eds.; Elsevier: Cambridge, MA, USA, 2022; pp. 3–27. [Google Scholar]
- Nurazzi, N.M.; Sabaruddin, F.A.; Harussani, M.M.; Kamarudin, S.H.; Rayung, M.; Asyraf, M.R.M.; Aisyah, H.A.; Norrrahim, M.N.F.; Ilyas, R.A.; Abdullah, N.; et al. Mechanical performance and applications of CNTs reinforced polymer composites–A Review. Nanomaterials 2021, 11, 2186. [Google Scholar] [CrossRef]
- Kumar, N.A.; Ganapathy, H.S.; Kim, J.S.; Jeong, Y.S.; Jeong, Y.T. Preparation of poly 2-hydroxyethyl methacrylate functionalized carbon nanotubes as novel biomaterial nanocomposites. Eur. Polym. J. 2008, 44, 579–586. [Google Scholar] [CrossRef]
- Prashantha, K.; Rashmi, B.J.; Lee, J.H. Preparation and characterization of carbon nanotube filled poly(2-hydroxyethylmethacrylate) nanocomposites. High Perform. Polym. 2012, 25, 97–103. [Google Scholar] [CrossRef]
- Mocan, T.; Matea, C.T.; Pop, T.; Mosteanu, O.; Buzoianu, A.D.; Suciu, S.; Puia, C.; Zdrehus, C.; Iancu, C.; Mocan, L. Carbon nanotubes as anti-bacterial agents. Cell. Mol. Life Sci. 2017, 74, 3467–3479. [Google Scholar] [CrossRef] [PubMed]
- Ahmad, I.; Alshahrani, M.Y.; Wahab, S.; Al-Harbi, A.I.; Nisar, N.; Alraey, Y.; Alqahtani, A.; Mir, M.A.; Irfan, S.; Saeed, M. Zinc oxide nanoparticle: An effective antibacterial agent against pathogenic bacterial isolates. J. King Saud Univ. Sci. 2022, 34, 102110. [Google Scholar] [CrossRef]
- Saleemi, M.A.; Kong, Y.L.; Yong, P.V.C.; Wong, E.H. An overview of antimicrobial properties of carbon nanotubes-based nanocomposites. Ad. Pharm. Bull. 2022, 12, 449–465. [Google Scholar] [CrossRef] [PubMed]
- Hampel, S.; Kunze, D.; Haase, D.; Krämer, K.; Rauschenbach, M.; Ritschel, M.; Leonhardt, A.; Thomas, J.; Oswald, S.; Hoffmann, V.; et al. Carbon nanotubes filled with a chemotherapeutic agent: A nanocarrier mediates inhibition of tumor cell growth. Nanomedicine 2008, 3, 175–182. [Google Scholar] [CrossRef]
- Wang, X.; Li, Q.; Xie, J.; Jin, Z.; Wang, J.; Li, Y.; Jiang, K.; Fan, S. Fabrication of ultralong and electrically uniform single-walled carbon nanotubes on clean substrates. Nano Lett. 2009, 9, 3137–3141. [Google Scholar] [CrossRef]
- Díez-Pascual, A.M. Antibacterial activity of nanomaterials. Nanomaterials 2018, 8, 359. [Google Scholar] [CrossRef]
- Díez-Pascual, A.M. State of the art in the antibacterial and antiviral applications of carbon-based polymeric nanocomposites. Int. J. Mol. Sci. 2021, 22, 10511. [Google Scholar] [CrossRef]
- Gómez-Vázquez, D.; Cajero-Zul, L.R.; Torres-Ávalos, J.A.; Sandoval-García, K.; Cortés-Ortega, J.A.; López-Dellamary, F.A.; Soltero-Martínez, J.F.A.; Martínea-Richa, A.; Nuño-Donlucas, S.M. Homogeneous hydrogels made with acrylic acid, acrylamide and chemically functionalized carbon nanotubes. J. Macromol. Sci. Part A 2019, 56, 417–428. [Google Scholar] [CrossRef]
- Sharmin, S.; Rahaman, M.M.; Sarkar, C.; Atolani, O.; Islam, M.T.; Adeyemi, O.S. Nanoparticles as antimicrobial and antiviral agents: A literature-based perspective study. Heliyon 2021, 7, e06456. [Google Scholar] [CrossRef]
- Rúan-Esparza, L.; Soto, V.; Gómez-Salazar, S.; Rabelero, M.; Ávalos-Borja, M.; Luna-Bárcenas, G.; Prokhorov, E.; Nuño-Donlucas, S.M. Poly[ethylene-co-(acrylic acid)]-based nanocomposites: Thermal and mechanical properties and their structural characteristics studied by Raman spectroscopy. Polym. Compos. 2011, 32, 1182–1189. [Google Scholar] [CrossRef]
- Sandoval-García, K.; Alvarado-Mendoza, A.G.; Jiménez-Avalos, J.A.; García-Carvajal, Z.Y.; Olea-Rodríguez, M.A.; Cajero-Zul, L.R.; Nuño-Donlucas, S.M. Synthesis, characterization and evaluation of the toxicity, drug release ability and antibacterial capacity of nanocomposites of polyethylene glycol and functionalized carbon nanotubes. J. Macromol. Sci. Part A 2022, 59, 889–903. [Google Scholar] [CrossRef]
- Silva-Jara, J.M.; Manríquez-González, R.; López-Dellamary, F.A.; Puig, J.E.; Nuño-Donlucas, S.M. Semi-continuos heterophase polymerization to synthesize nanocomposites of poly(acrylic acid)-functionalized carbon nanotubes. J. Macromol. Sci. Part A 2015, 52, 732–744. [Google Scholar] [CrossRef]
- Xia, R.; Li, M.; Zhang, Y.; Qian, J.; Yuan, X. Surface modification of MWCNTs with BA-MMA-GMA terpolymer by single-step grafting technique. J. Appl. Polym. Sci. 2011, 119, 282–289. [Google Scholar] [CrossRef]
- Herrera-Gomez, A.; Bravo-Sanchez, M.; Ceballos-Sanchez, O.; Vazquez-Lepe, M.O. Practical Methods for Background Subtraction in Photoemission Spectra. Surf. Interface Anal. 2014, 46, 897–905. [Google Scholar] [CrossRef]
- Clinical and Laboratory Standards Institute (CLSI). Performance Standards for Antimicrobial Susceptibility Testing. In Twenty-Fourth Informational Supplement; CLSI: Wayne, PA, USA, 2014. [Google Scholar]
- Vargün, E.; Usanmaz, A. Degradation of poly(2-hydroxyethyl methacrylate) obtained by radiation in aqueous solution. J. Macromol. Sci. Part A 2010, 47, 882–891. [Google Scholar] [CrossRef]
- Beamson, G.; Briggs, D. High Resolution XPS of Organic Polymers: The Scienta ESCA300 Database, 1st ed.; Wiley: Chishester, UK, 1992; pp. 110–117. [Google Scholar]
- Tuccitto, N.; Spitaleri, L.; Li Destri, G.; Pappalardo, A.; Gulino, A.; Trusso Sfrazzetto, G. Supramolecular sensing of a chemical warfare agents by functionalized carbon nanoparticles. Molecules 2020, 25, 5731. [Google Scholar] [CrossRef]
- Andrade-Melecio, H.A.; Antolín-Cerón, V.H.; Alvarado-Mendoza, A.G.; Vázquez-Lepe, M.; Barrera-Rivera, K.A.; Martínez-Richa, A.; Nuño-Donlucas, S.M. Semi-continuous heterophase polymerization to synthesize poly(methacrylic acid)-based nanocomposites for drug delivery. Polymers 2022, 14, 1195. [Google Scholar] [CrossRef]
- Islam, M.R.; Bach, L.G.; Lim, K.T. Poly(2-hydroxyethyl methacrylate) grafted halloysite nanotubes as a molecular host matrix for luminescent ions prepared by surface-initiated RAFT polymerization and coordination chemistry. Appl. Surf. Sci. 2013, 276, 298–305. [Google Scholar] [CrossRef]
- Nguyen, V.H.; Haldorai, Y.; Pham, Q.L.; Shim, J.-J. Supercritical fluid mediated synthesis of poly(2-hydroxyethyl methacrylate)/Fe3O4 hybrid nanocomposite. Mater. Sci. Eng. B 2011, 176, 773–778. [Google Scholar] [CrossRef]
- Moura, D.; Pereira, A.T.; Ferreira, H.P.; Barrias, C.C.; Magalhães, F.D.; Bergmeister, H.; Gonçalves, I.C. Poly(2-hydroxyethyl methacrylate) hydrogels containing graphene-based materials for blood-contacting applications: From soft inert to strong degradable material. Acta Biomater. 2023, 164, 253–268. [Google Scholar] [CrossRef] [PubMed]
- Pei, X.; Hao, J.; Liu, W. Preparation and characterization of carbon nanotubes-polymer/Ag hybrid nanocomposites via surface RAFT polymerization. J. Phys. Chem. C. 2007, 111, 2947–2952. [Google Scholar] [CrossRef]
- Yang, C.; Mamouni, J.; Tang, Y.; Yang, L. Antimicrobial activity od single-walled carbon nanotubes: Length effect. Langmuir 2010, 26, 16013–16019. [Google Scholar] [CrossRef]
- Upadhyayula, V.K.K.; Gadhamshetty, V. Appreciating the role of carbon nanotube composites in preveting biofouling and promoting biofilms on material surfaces in environmental engineering: A review. Biotechnol. Adv. 2010, 28, 803–816. [Google Scholar] [CrossRef]
- Dong, X.; Yang, L. Inhibitory effects of single-walled carbon nanotubes on biofilm formation from bacillus anthracis spores. Biofouling 2014, 20, 1165–1174. [Google Scholar] [CrossRef]
- Mokhena, T.C.; Jacobs, V.; Luyt, A.S. A review on electrospun bio-based polymers for water treatment. EXPRESS Polym. Lett. 2015, 9, 839–880. [Google Scholar] [CrossRef]
- Azizi-Lalabadi, M.; Hashemi, H.; Feng, J.; Jafari, S.M. Carbon nanomaterials against pathogenes; the antimicrobial activity of carbon nanotubes, graphene/graphene oxide, fullerenes, and their nanocomposites. Adv. Colloid Interface Sci. 2020, 284, 102250. [Google Scholar] [CrossRef]
- El-Tohamy, N.; Attia, M.; Easa, S.M.; Awad, N.M. Characterization and evaluation of nanocomposites chitosan-multiwalled carbon nanotubes as broad-spectrum antibacterial agent. J. Sci. Res. Sci. 2018, 35, 16–27. [Google Scholar] [CrossRef]










| Identification Name | Molar Relationship of OxCl/Hydroxyl Groups Attached to CNTsamine | Content of CNTsamine (wt.%) |
|---|---|---|
| Na 1 | 1/4 | 0.5 |
| Na 2 | 1/2 | 0.5 |
| Na 3 | 1/4 | 1.0 |
| Na 4 | 1/2 | 1.0 |
| Name of the Sample Analyzed | Wavelength (cm−1) | Chemical Group |
|---|---|---|
| Pure PHEMA | 3400 | O–H stretching of hydroxyl |
| Pure PHEMA | 1726 | C=O stretching of ester |
| Pure PHEMA | 1160 | C–O–C stretching of ester |
| Na 3 | 3440 | O–H stretching of hydroxyl |
| Na 3 | 2603 | O–H stretching of carboxyl |
| Na 3 | 1773 | C=O stretching (asym.) of anhydride |
| Na 3 | 1733 | C=O stretching of ester |
| Na 3 | 1630 | -NH2 flexion |
| Na 3 | 806 | C–Cl stretching of chloride |
| Sample | Tg (K) | Grafting Degree (%) |
|---|---|---|
| PHEMA | 348.15 | - |
| Na 1 | 361.15 | 42.0 |
| Na 2 | 363.15 | 36.7 |
| Na 3 | 370.15 | 30.3 |
| Na 4 | 371.15 | 48.3 |
| Name of the Sample Analyzed | Inhibition Halo Diameter Determined by Tests against P. aeruginosa ATCC 9027 (mm) | Inhibition Halo Diameter Determined by Tests against E. coli ATCC 25922 (mm) | Inhibition Halo Diameter Determined by Tests against S. aureus ATCC 6538 (mm) | Inhibition Halo Diameter Determined by Tests against C. albicans ATCC 10231 (mm) |
|---|---|---|---|---|
| Pure PHEMA | No inhibition | No inhibition | No inhibition | No inhibition |
| Na 1 | No inhibition | 2 | 3 | No inhibition |
| Na 2 | 2 | No inhibition | 2 | No inhibition |
| Na 3 | 4 | 6 | 4 | 7 |
| Na 4 | 2 | 4 | 4 | 3 |
Disclaimer/Publisher’s Note: The statements, opinions and data contained in all publications are solely those of the individual author(s) and contributor(s) and not of MDPI and/or the editor(s). MDPI and/or the editor(s) disclaim responsibility for any injury to people or property resulting from any ideas, methods, instructions or products referred to in the content. |
© 2023 by the authors. Licensee MDPI, Basel, Switzerland. This article is an open access article distributed under the terms and conditions of the Creative Commons Attribution (CC BY) license (https://creativecommons.org/licenses/by/4.0/).
Share and Cite
Sandoval-García, K.; Alvarado-Mendoza, A.G.; Orozco-Guareño, E.; Olea-Rodríguez, M.A.; Cajero-Zul, L.R.; Nuño-Donlucas, S.M. Synthesis and Evaluation of Antifungal and Antibacterial Abilities of Carbon Nanotubes Grafted to Poly(2-hydroxyethyl methacrylate) Nanocomposites. Polymers 2023, 15, 3657. https://doi.org/10.3390/polym15183657
Sandoval-García K, Alvarado-Mendoza AG, Orozco-Guareño E, Olea-Rodríguez MA, Cajero-Zul LR, Nuño-Donlucas SM. Synthesis and Evaluation of Antifungal and Antibacterial Abilities of Carbon Nanotubes Grafted to Poly(2-hydroxyethyl methacrylate) Nanocomposites. Polymers. 2023; 15(18):3657. https://doi.org/10.3390/polym15183657
Chicago/Turabian StyleSandoval-García, Karina, Abraham G. Alvarado-Mendoza, Eulogio Orozco-Guareño, María A. Olea-Rodríguez, Leonardo R. Cajero-Zul, and Sergio M. Nuño-Donlucas. 2023. "Synthesis and Evaluation of Antifungal and Antibacterial Abilities of Carbon Nanotubes Grafted to Poly(2-hydroxyethyl methacrylate) Nanocomposites" Polymers 15, no. 18: 3657. https://doi.org/10.3390/polym15183657
APA StyleSandoval-García, K., Alvarado-Mendoza, A. G., Orozco-Guareño, E., Olea-Rodríguez, M. A., Cajero-Zul, L. R., & Nuño-Donlucas, S. M. (2023). Synthesis and Evaluation of Antifungal and Antibacterial Abilities of Carbon Nanotubes Grafted to Poly(2-hydroxyethyl methacrylate) Nanocomposites. Polymers, 15(18), 3657. https://doi.org/10.3390/polym15183657

