Applying a Green Solvent with Microwave, Ultrasound, and Soxhlet Extraction Techniques to Quantify the Slip Additive cis-1,3-Docosenamide and Nine Oxidative Degradation Byproducts in Polypropylene Samples
Abstract
1. Introduction
2. Materials and Methods
2.1. Materials and Reagents
2.2. Instrumentation
2.2.1. Preparation of Erucamide Calibration Standards and PP Samples with Erucamide
Preparation of the Curve for Chromatograph Calibration
2.3. Preparation of PP Samples with Different Concentrations of Erucamide
2.4. Extraction of Erucamide from PP Samples
2.5. Statistical Analysis
Multivariable Graphical Analysis
3. Results
3.1. Quantification and Recovery of Erucamide by GC-MS
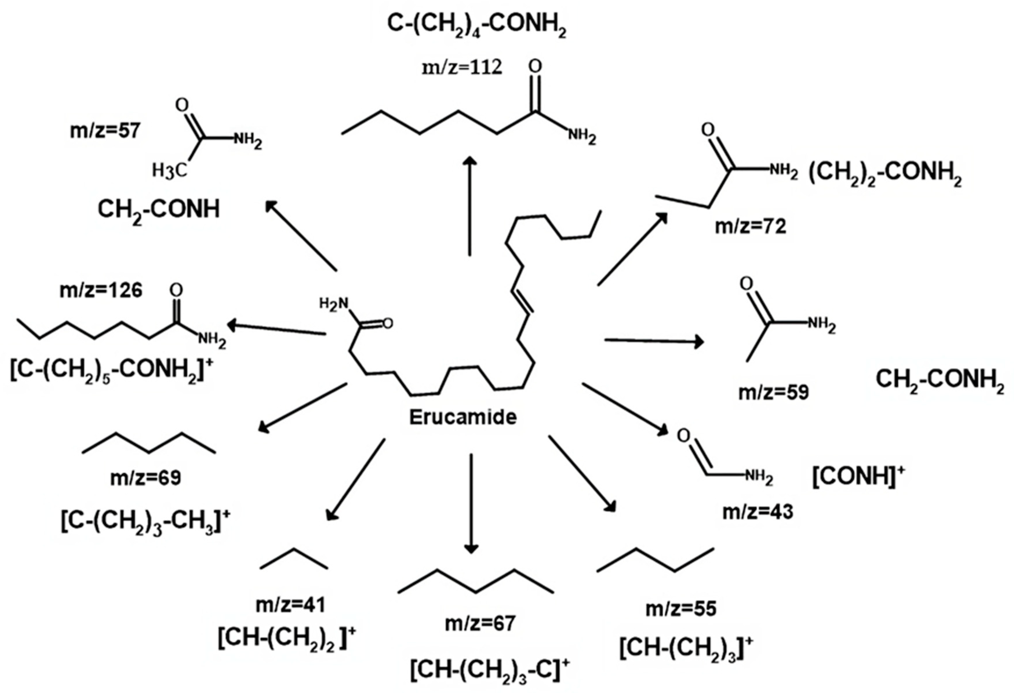
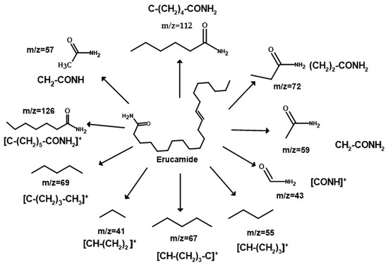
3.2. Identification of Erucamide by Mass Spectrometry
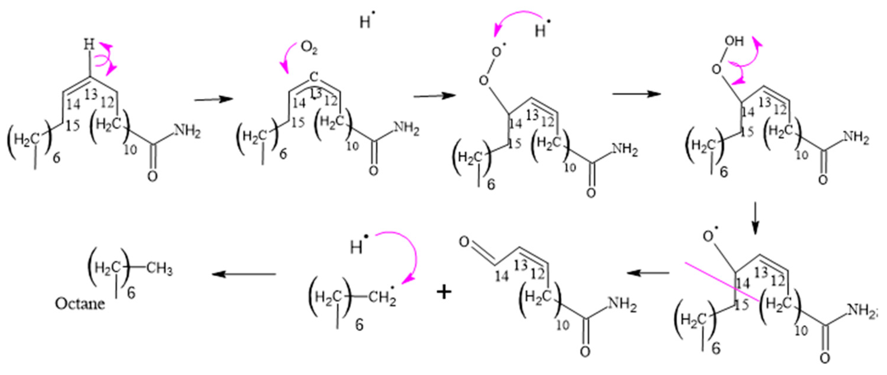
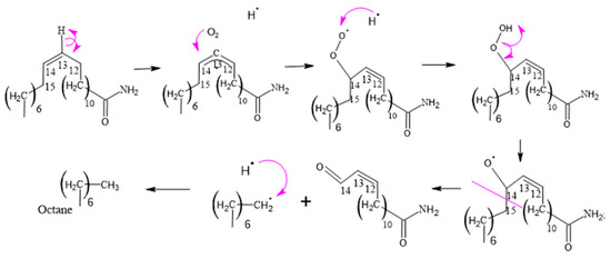
3.2.1. Determination of Thermo-Oxidative Degradation Byproducts of Erucamide
3.2.2. Formation of Erucamide with Two OH Groups and Hydroxy-Epoxide
3.2.3. Formation of Erucamide Keto-Epoxide and the 15-Oxo-pentadec-13-enamide
3.2.4. Hydrogen Peroxide and 13-Oxo-pentadec-11-enamide Formation
3.2.5. Formation of 14-Oxotetradec-12-enamide and 15-Amino-15-oxopentadec-2-enoic Acid
3.2.6. Formation of 13-Amino-13-oxotridecanoic Acid and 15-Amino-15-oxopentadeca-enoic Acid
3.3. Percentage Analysis of Erucamide Degradation Byproducts
4. Conclusions
Author Contributions
Funding
Institutional Review Board Statement
Data Availability Statement
Conflicts of Interest
References
- Hernández-Fernández, J.; Vivas-Reyes, R.; Toloza, C.A.T. Experimental Study of the Impact of Trace Amounts of Acetylene and Methylacetylene on the Synthesis, Mechanical and Thermal Properties of Polypropylene. Int. J. Mol. Sci. 2022, 23, 2148. [Google Scholar] [CrossRef] [PubMed]
- Hernández-Fernández, J.; Castro-Suarez, J.R.; Toloza, C.A.T. Iron Oxide Powder as Responsible for the Generation of Industrial Polypropylene Waste and as a Co-Catalyst for the Pyrolysis of Non-Additive Resins. Int. J. Mol. Sci. 2022, 23, 11708. [Google Scholar] [CrossRef] [PubMed]
- Hernández-Fernández, J.; Cano, H.; Aldas, M. Impact of Traces of Hydrogen Sulfide on the Efficiency of Ziegler–Natta Catalyst on the Final Properties of Polypropylene. Polymers 2022, 14, 3910. [Google Scholar] [CrossRef] [PubMed]
- Hernández-Fernández, J.; Cano-Cuadro, H.; Puello-Polo, E. Emission of Bisphenol A and Four New Analogs from Industrial Wastewater Treatment Plants in the Production Processes of Polypropylene and Polyethylene Terephthalate in South America. Sustainability 2022, 14, 10919. [Google Scholar] [CrossRef]
- Hernández-Fernández, J.; Puello-Polo, E.; Trilleras, J. Characterization of Microplastics in Total Atmospheric Deposition Sampling from Areas Surrounding Industrial Complexes in Northwestern Colombia. Sustainability 2022, 14, 13613. [Google Scholar] [CrossRef]
- Hernández-Fernández, J.; Guerra, Y.; Puello-Polo, E.; Marquez, E. Effects of Different Concentrations of Arsine on the Synthesis and Final Properties of Polypropylene. Polymers 2022, 14, 3123. [Google Scholar] [CrossRef]
- Hernández Fernández, J.; Cano, H.; Guerra, Y.; Puello Polo, E.; Ríos-Rojas, J.F.; Vivas-Reyes, R.; Oviedo, J. Identification and Quantification of Microplastics in Effluents of Wastewater Treatment Plant by Differential Scanning Calorimetry (DSC). Sustainability 2022, 14, 4920. [Google Scholar] [CrossRef]
- Hernández-Fernández, J. Quantification of arsine and phosphine in industrial atmospheric emissions in Spain and Colombia. Implementation of modified zeolites to reduce the environmental impact of emissions. Atmos. Pollut. Res. 2021, 12, 167–176. [Google Scholar] [CrossRef]
- Gómez-Contreras, P.; Figueroa-Lopez, K.J.; Hernández-Fernández, J.; Cortés Rodríguez, M.; Ortega-Toro, R. Effect of Different Essential Oils on the Properties of Edible Coatings Based on Yam (Dioscorea rotundata L.) Starch and Its Application in Strawberry (Fragaria vesca L.) Preservation. Appl. Sci. 2021, 11, 11057. [Google Scholar] [CrossRef]
- Fernández, J.H.; Guerra, Y.; Cano, H. Detection of Bisphenol A and Four Analogues in Atmospheric Emissions in Petrochemical Complexes Producing Polypropylene in South America. Molecules 2022, 27, 4832. [Google Scholar] [CrossRef]
- Fernández, J.H.; Rincón, D.; López-Martínez, J. Development and validation of a prototype for the on-line simultaneous analysis of quality caprolactam synthesized on an industrial scale. MethodsX 2023, 10, 101952. [Google Scholar] [CrossRef]
- Pavon, C.; Aldas, M.; Hernández-Fernández, J.; López-Martínez, J. Comparative characterization of gum rosins for their use as sustainable additives in polymeric matrices. J. Appl. Polym. Sci. 2022, 139, 51734. [Google Scholar] [CrossRef]
- Chacon, H.; Cano, H.; Fernández, J.H.; Guerra, Y.; Puello-Polo, E.; Ríos-Rojas, J.F.; Ruiz, Y. Effect of Addition of Polyurea as an Aggregate in Mortars: Analysis of Microstructure and Strength. Polymers 2022, 14, 1753. [Google Scholar] [CrossRef] [PubMed]
- Hernández-Fernández, J.; Lopez-Martinez, J.; Barceló, D. Development and validation of a methodology for quantifying parts-per-billion levels of arsine and phosphine in nitrogen, hydrogen and liquefied petroleum gas using a variable pressure sampler coupled to gas chromatography-mass spectrometry. J. Chromatogr. A 2021, 1637, 461833. [Google Scholar] [CrossRef]
- Llop, C.; Manrique, A.; Navarro, R.; Mijangos, C.; Reinecke, H. Control of the migration behavior of slip agents in polyolefin-based films. Polym. Eng. Sci. 2011, 51, 1763–1769. [Google Scholar] [CrossRef]
- Hernández-Fernández, J.; Puello-Polo, E.; López-Martínez, J. Recovery of (Z)-13-Docosenamide from Industrial Wastewater and Its Application in the Production of Virgin Polypropylene to Improve the Coefficient of Friction in Film Type Applications. Sustainability 2023, 15, 1247. [Google Scholar] [CrossRef]
- Ramírez, M.X.; Hirt, D.E.; Wright, L.L. AFM Characterization of Surface Segregated Erucamide and Behenamide in Linear Low Density Polyethylene Film. Nano Lett. 2002, 2, 9–12. [Google Scholar] [CrossRef]
- Narayana, R.; Mohana, C.; Kumar, A. Analytical characterization of erucamide degradants by mass spectrometry. Polym. Degrad. Stab. 2022, 200, 109956. [Google Scholar] [CrossRef]
- Rawls, A.S.; Hirt, D.E.; Havens, M.R.; Roberts, W.P. Evaluation of surface concentration of erucamide in LLDPE films. J. Vinyl Addit. Technol. 2002, 8, 130–138. [Google Scholar] [CrossRef]
- Nielson, R.C. Extraction and Quantitation of Polyolefin Additives. J. Liq. Chromatogr. 1991, 14, 503–519. [Google Scholar] [CrossRef]
- Markarian, J. Slip and antiblock additives: Surface medication for film and sheet. Plast. Addit. Compd. 2007, 9, 32–35. [Google Scholar] [CrossRef]
- Martinelli, A.B.; Mesquita, F.A. Thermoplastic Resin Composition Comprising a Mixture of Slip Agents and a Mono-Or Co-Extruded, Laminated or Non-Laminated Film. U.S. Patent No. 9,029,447, 30 December 2010. [Google Scholar]
- Molnar, N.M. Erucamide. J. Am. Oil Chem. Soc. 1974, 51, 84–87. [Google Scholar] [CrossRef]
- Shuler, C.A.; Janorkar, A.V.; Hirt, D.E. Fate of erucamide in polyolefin films at elevated temperature. Polym. Eng. Sci. 2004, 44, 2247–2253. [Google Scholar] [CrossRef]
- Garrido-López, Á.; Esquiu, V.; Tena, M.T. Determination of oleamide and erucamide in polyethylene films by pressurised fluid extraction and gas chromatography. J. Chromatogr. A 2006, 1124, 51–56. [Google Scholar] [CrossRef]
- Vandenburg, H.; Clifford, A.; Bartle, K.; Garden, L.; Dean, J.; Costley, C. Critical Review: Analytical Extraction of Additives From Polymers. Analyst 1997, 122, 101R–116R. [Google Scholar] [CrossRef]
- Nerín, C.; Salafranca, J.; Cacho, J.; Rubio, C. Separation of polymer and on-line determination of several antioxidants and UV stabilizers by coupling size-exclusion and normal-phase high-performance liquid chromatography columns. J. Chromatogr. A 1995, 690, 230–236. [Google Scholar] [CrossRef]
- Alejandro, J.; Fernandez, H. Process of Extraction, Quantification and Recovery of Additives in Polypropylene with Natural Biodegradable Solvents and Use of the Polypropylene Resulting from the Multiple Extractions. U.S. Patent Application No. 17/630,296, 24 July 2020. [Google Scholar]
- Hernández-Fernández, J.; Puello-Polo, E.; Márquez, E. Furan as Impurity in Green Ethylene and Its Effects on the Productivity of Random Ethylene–Propylene Copolymer Synthesis and Its Thermal and Mechanical Properties. Polymers 2023, 15, 2264. [Google Scholar] [CrossRef]
- Hernández-Fernández, J.; Ortega-Toro, R.; Castro-Suarez, J.R. Theoretical–Experimental Study of the Action of Trace Amounts of Formaldehyde, Propionaldehyde, and Butyraldehyde as Inhibitors of the Ziegler–Natta Catalyst and the Synthesis of an Ethylene–Propylene Copolymer. Polymers 2023, 15, 1098. [Google Scholar] [CrossRef]
- Hernández-Fernández, J.; Guerra, Y.; Espinosa, E. Development and Application of a Principal Component Analysis Model to Quantify the Green Ethylene Content in Virgin Impact Copolymer Resins During Their Synthesis on an Industrial Scale. J. Polym. Environ. 2022, 30, 4800–4808. [Google Scholar] [CrossRef]
- Hernández-Fernández, J.; Ortega-Toro, R.; Castro-Suarez, J.R. Quantification of the Synthetic Phenolic Antioxidant Cyanox 1790 in Bottled Water with SPE-HPLC/MS/MS and Determination of the Impact of the Use of Recycled Packaging on Its Generation. Water 2023, 15, 933. [Google Scholar] [CrossRef]
- da Rosa, G.S.; Vanga, S.K.; Gariepy, Y.; Raghavan, V. Comparison of microwave, ultrasonic and conventional techniques for extraction of bioactive compounds from olive leaves (Olea europaea L.). Innov. Food Sci. Emerg. Technol. 2019, 58, 102234. [Google Scholar] [CrossRef]
- Bridson, J.H.; Gaugler, E.C.; Smith, D.A.; Northcott, G.L.; Gaw, S. Leaching and extraction of additives from plastic pollution to inform environmental risk: A multidisciplinary review of analytical approaches. J. Hazard Mater. 2021, 414, 125571. [Google Scholar] [CrossRef] [PubMed]
- Salamanca, D.; Dobslaw, D.; Engesser, K.H. Removal of cyclohexane gaseous emissions using a biotrickling filter system. Chemosphere 2017, 176, 97–107. [Google Scholar] [CrossRef]
- Ciclohexano CASRN 110-82-7|IRIS|EPA de EE. UU., ORD. Available online: https://iris.epa.gov/ChemicalLanding/&substance_nmbr=1005 (accessed on 4 July 2023).
- Schlosser, P.M.; Bale, A.S.; Gibbons, C.F.; Wilkins, A.; Cooper, G.S. Human Health Effects of Dichloromethane: Key Findings and Scientific Issues. Environ. Health Perspect. 2014, 123, 114–119. [Google Scholar] [CrossRef]
- Sharma, A.; Yu, E.; Morose, G.; Nguyen, D.T.; Chen, W.T. Designing safer solvents to replace methylene chloride for liquid chromatography applications using thin-layer chromatography as a screening tool. Separations 2021, 8, 172. [Google Scholar] [CrossRef]
- Buranarom, A.; Navasumrit, P.; Ngaotepprutaram, T.; Ruchirawat, M. Dichloromethane increases mutagenic DNA damage and transformation ability in cholangiocytes and enhances metastatic potential in cholangiocarcinoma cell lines. Chem. Biol. Interact. 2021, 346, 109580. [Google Scholar] [CrossRef]
- Cayot, N.; Lafarge, C.; Bou-Maroun, E.; Cayot, P. Substitution of carcinogenic solvent dichloromethane for the extraction of volatile compounds in a fat-free model food system. J. Chromatogr. A 2016, 1456, 77–88. [Google Scholar] [CrossRef]
- Cooper, G.S.; Scott, C.S.; Bale, A.S. Insights from Epidemiology into Dichloromethane and Cancer Risk. Int. J. Environ. Res. Public Health 2011, 8, 3380–3398. [Google Scholar] [CrossRef]
- Welton, T. Solvents and sustainable chemistry. Proc. R. Soc. A Math. Phys. Eng. Sci. 2015, 471, 20150502. [Google Scholar] [CrossRef]
- Yasugi, T.; Kawai, T.; Mizunuma, K.; Kishi, R.; Harabuchi, I.; Yuasa, J.; Eguchi, T.; Sugimoto, R.; Seiji, K.; Ikeda, M. Exposure monitoring and health effect studies of workers occupationally exposed to cyclohexane vapor. Int. Arch. Occup. Environ. Health 1994, 65, 343–350. [Google Scholar] [CrossRef]
- Yuasa, J.; Kishi, R.; Eguchi, T.; Harabuchi, I.; Kawai, T.; Ikeda, M.; Sugimoto, R.; Matsumoto, H.; Miyake, H. Investigation on neurotoxicity of occupational exposure to cyclohexane: A neurophysiological study. Occup. Environ. Med. 1996, 53, 174–179. [Google Scholar] [CrossRef] [PubMed]
- Satira, A.; Espro, C.; Paone, E.; Calabrò, P.S.; Pagliaro, M.; Ciriminna, R.; Mauriello, F. The Limonene Biorefinery: From Extractive Technologies to Its Catalytic Upgrading into p-Cymene. Catalysts 2021, 11, 387. [Google Scholar] [CrossRef]
- Cui, G.; Yang, X.; Liu, Z.; Wei, M.; Liu, T.; Gu, H.; Yang, L. Potential Use of Limonene as an Alternative Solvent for Extraction of Gutta-Percha from Eucommia ulmoides. ACS Sustain. Chem. Eng. 2022, 10, 11057–11068. [Google Scholar] [CrossRef]
- Boukroufa, M.; Boutekedjiret, C.; Chemat, F. Development of a green procedure of citrus fruits waste processing to recover carotenoids. Resour.-Effic. Technol. 2017, 3, 252–262. [Google Scholar] [CrossRef]
- Virot, M.; Tomao, V.; Ginies, C.; Chemat, F. Total Lipid Extraction of Food Using d-Limonene as an Alternative to n-Hexane. Chroma 2008, 68, 311–313. [Google Scholar] [CrossRef]
- El-Deen, A.K.; Shimizu, K. Application of D-Limonene as a Bio-based Solvent in Low Density-Dispersive Liquid–Liquid Microextraction of Acidic Drugs from Aqueous Samples. Anal. Sci. 2019, 35, 1385–1391. [Google Scholar] [CrossRef]
- Santos, J.; Vladisavljević, G.T.; Holdich, R.G.; Dragosavac, M.M.; Muñoz, J. Controlled production of eco-friendly emulsions using direct and premix membrane emulsification. Chem. Eng. Res. Des. 2015, 98, 59–69. [Google Scholar] [CrossRef][Green Version]
- Rodríguez-Llorente, D.; Cañada-Barcala, A.; Muñoz, C.; Pascual-Muñoz, G.; Navarro, P.; Santiago, R.; Águeda, I.; Álvarez-Torrellas, S.; García, J.; Larriba, M. Separation of phenols from aqueous streams using terpenoids and hydrophobic eutectic solvents. Sep. Purif. Technol. 2020, 251, 117379. [Google Scholar] [CrossRef]
- Prache, N.; Abreu, S.; Sassiat, P.; Thiébaut, D.; Chaminade, P. Alternative solvents for improving the greenness of normal phase liquid chromatography of lipid classes. J. Chromatogr. A 2016, 1464, 55–63. [Google Scholar] [CrossRef]
- Esteve-Turrillas, F.A.; Armenta, S.; Garrigues, S.; de la Guardia, M. Smart Sorption Materials in Green Analytical Chemistry. In Green Analytical Chemistry. Green Chemistry and Sustainable Technology; Springer: Singapore, 2019. [Google Scholar] [CrossRef]
- ICSC 0918-D-LIMONENO. Available online: https://www.ilo.org/dyn/icsc/showcard.display?p_card_id=0918&p_version=2&p_lang=es (accessed on 4 July 2023).
- Holčapek, M.; Jirásko, R.; Lísa, M. Basic rules for the interpretation of atmospheric pressure ionization mass spectra of small molecules. J. Chromatogr. A 2010, 1217, 3908–3921. [Google Scholar] [CrossRef]















| Technique | Time (min) | Temperature (°C) | Solvent | Form of PP | Erucamide Recovery % | |||||
|---|---|---|---|---|---|---|---|---|---|---|
| PP2 | PP3 | PP4 | PP5 | PP6 | PP7 | |||||
| Microwave | 45 | 117 | Cyclohexane | Pellets | 85.40 | 82.82 | 85.23 | 87.25 | 86.85 | 86.84 |
| Microwave | 45 | 117 | Cyclohexane | Films | 87.5 | 92.65 | 94.67 | 92.25 | 93.17 | 92.45 |
| Microwave | 45 | 117 | Cyclohexane | PP-ground | 91.78 | 94.50 | 96.67 | 95.25 | 95.33 | 93.88 |
| Microwave | 25 | 117 | Cyclohexane | Pellets | 76.50 | 76.35 | 72.30 | 78.83 | 83.68 | 83.54 |
| Microwave | 25 | 117 | Cyclohexane | Films | 77.40 | 81.70 | 79.67 | 85.95 | 81.50 | 84.20 |
| Microwave | 25 | 117 | Cyclohexane | PP-ground | 87.39 | 92.30 | 93.17 | 93.68 | 91.93 | 92.76 |
| Soxhlet | 1440 | 90 | Cyclohexane | Pellets | 65.80 | 68.95 | 67.83 | 65.95 | 70.49 | 71.54 |
| Soxhlet | 1440 | 90 | Cyclohexane | Films | 74.10 | 70.85 | 72.00 | 72.69 | 73.91 | 78.59 |
| Soxhlet | 1440 | 90 | Cyclohexane | PP-ground | 79.00 | 78.33 | 78.88 | 78.20 | 79.5 | 78.73 |
| Soxhlet | 720 | 90 | Cyclohexane | Pellets | 45.50 | 39.45 | 38.70 | 48.45 | 53.78 | 51.42 |
| Soxhlet | 720 | 90 | Cyclohexane | Films | 52.15 | 56.95 | 49.57 | 56.88 | 53.78 | 51.42 |
| Soxhlet | 720 | 90 | Cyclohexane | PP-ground | 65.80 | 66.40 | 68.83 | 65.20 | 67.11 | 69.55 |
| Ultrasound | 90 | 50 | Cyclohexane | Pellets | 83.80 | 81.14 | 80.8 | 84.69 | 82.07 | 84.17 |
| Ultrasound | 90 | 50 | Cyclohexane | Films | 86.00 | 82.92 | 80.05 | 83.45 | 79.83 | 89.61 |
| Ultrasound | 90 | 50 | Cyclohexane | PP-ground | 88.56 | 88.52 | 82.84 | 87.62 | 85.55 | 92.46 |
| Ultrasound | 60 | 50 | Cyclohexane | Pellets | 77.50 | 77.37 | 75.23 | 79.47 | 77.28 | 78.7 |
| Ultrasound | 60 | 50 | Cyclohexane | Films | 80.40 | 78.26 | 74.86 | 78.85 | 76.16 | 78.3 |
| Ultrasound | 60 | 50 | Cyclohexane | PP-ground | 84.28 | 81.00 | 80.25 | 82.36 | 82.54 | 81.4 |
| Microwave | 45 | 117 | Dichloromethane | Pellets | 89.14 | 90.26 | 92.39 | 91.44 | 91.03 | 90.67 |
| Microwave | 45 | 117 | Dichloromethane | Films | 94.92 | 94.28 | 92.79 | 93.68 | 91.65 | 93.4 |
| Microwave | 45 | 117 | Dichloromethane | PP-ground | 96.44 | 96.54 | 97.29 | 94.94 | 94.74 | 98.35 |
| Microwave | 25 | 117 | Dichloromethane | Pellets | 86.07 | 87.38 | 87.69 | 86.84 | 86.76 | 88.51 |
| Microwave | 25 | 117 | Dichloromethane | Films | 89.90 | 84.75 | 86.37 | 87.97 | 87.08 | 89.88 |
| Microwave | 25 | 117 | Dichloromethane | PP-ground | 92.60 | 90.52 | 93.48 | 92.37 | 93.19 | 93.92 |
| Soxhlet | 1440 | 90 | Dichloromethane | Pellets | 78.60 | 72.60 | 74.53 | 79.18 | 71.98 | 76.93 |
| Soxhlet | 1440 | 90 | Dichloromethane | Films | 78.60 | 77.85 | 87.33 | 84.20 | 81.98 | 84.21 |
| Soxhlet | 1440 | 90 | Dichloromethane | PP-ground | 82.60 | 82.15 | 84.10 | 82.50 | 85.17 | 83.23 |
| Soxhlet | 720 | 90 | Dichloromethane | Pellets | 53.50 | 59.40 | 52.6 | 60.05 | 56.17 | 53.13 |
| Soxhlet | 720 | 90 | Dichloromethane | Films | 60.60 | 62.95 | 65.23 | 60.53 | 66.63 | 62.52 |
| Soxhlet | 720 | 90 | Dichloromethane | PP-ground | 68.60 | 69.50 | 72.67 | 68.15 | 69.38 | 72.80 |
| Ultrasound | 90 | 50 | Dichloromethane | Pellets | 87.88 | 89.42 | 88.04 | 89.62 | 88.85 | 89.41 |
| Ultrasound | 90 | 50 | Dichloromethane | Films | 92.84 | 91.76 | 93.25 | 91.81 | 88.47 | 95.10 |
| Ultrasound | 90 | 50 | Dichloromethane | PP-ground | 94.68 | 93.98 | 95.51 | 93.68 | 91.45 | 96.99 |
| Ultrasound | 60 | 50 | Dichloromethane | Pellets | 74.10 | 78.75 | 77.87 | 79.25 | 78.58 | 72.9 |
| Ultrasound | 60 | 50 | Dichloromethane | Films | 82.40 | 84.30 | 80.37 | 84.75 | 79.63 | 84.51 |
| Ultrasound | 60 | 50 | Dichloromethane | PP-ground | 87.90 | 85.50 | 85.77 | 91.49 | 88.53 | 88.10 |
| Microwave | 45 | 117 | Limonene | Pellets | 86.07 | 87.23 | 84.87 | 86.08 | 86.47 | 87.21 |
| Microwave | 45 | 117 | Limonene | Films | 90.20 | 90.80 | 89.90 | 90.63 | 90.00 | 91.10 |
| Microwave | 45 | 117 | Limonene | PP-ground | 94.10 | 89.40 | 94.27 | 92.50 | 94.18 | 93.85 |
| Microwave | 25 | 117 | Limonene | Pellets | 74.70 | 78.80 | 71.57 | 78.85 | 76.50 | 75.25 |
| Microwave | 25 | 117 | Limonene | Films | 81.40 | 82.80 | 84.33 | 87.18 | 85.27 | 84.10 |
| Microwave | 25 | 117 | Limonene | PP-ground | 91.55 | 89.25 | 91.87 | 90.88 | 91.84 | 92.84 |
| Soxhlet | 1440 | 90 | Limonene | Pellets | 76.40 | 72.10 | 72.53 | 76.64 | 71.26 | 74.43 |
| Soxhlet | 1440 | 90 | Limonene | Films | 77.80 | 76.83 | 78.67 | 76.08 | 73.20 | 79.20 |
| Soxhlet | 1440 | 90 | Limonene | PP-ground | 79.8 | 79.93 | 82.02 | 80.63 | 82.57 | 82.14 |
| Soxhlet | 720 | 90 | Limonene | Pellets | 52.25 | 58.45 | 50.80 | 59.40 | 53.78 | 51.71 |
| Soxhlet | 720 | 90 | Limonene | Films | 58.80 | 61.38 | 62.98 | 59.64 | 64.32 | 61.27 |
| Soxhlet | 720 | 90 | Limonene | PP-ground | 64.20 | 67.45 | 70.50 | 67.10 | 68.23 | 68.09 |
| Ultrasound | 90 | 50 | Limonene | Pellets | 84.76 | 83.00 | 83.65 | 88.34 | 88.55 | 88.20 |
| Ultrasound | 90 | 50 | Limonene | Films | 83.28 | 86.7 | 87.25 | 85.80 | 86.63 | 92.58 |
| Ultrasound | 90 | 50 | Limonene | PP-ground | 91.08 | 91.78 | 91.39 | 92.33 | 89.99 | 96.46 |
| Ultrasound | 60 | 50 | Limonene | Pellets | 74.10 | 79.40 | 74.03 | 72.03 | 75.5 | 76.61 |
| Ultrasound | 60 | 50 | Limonene | Films | 78.10 | 77.95 | 79.67 | 76.55 | 80.72 | 79.74 |
| Ultrasound | 60 | 50 | Limonene | PP-ground | 83.20 | 89.05 | 88.30 | 84.65 | 80.27 | 87.91 |
| % of Degraded Fragments/Type of Solvent/Extraction Technique | ||||||||||
|---|---|---|---|---|---|---|---|---|---|---|
| Tr (Min) | Compound | Mass | Formula | Fragments (m/z) | Microwave | Soxhlet | Ultrasound | |||
| 3.06 | 12-amino-12-oxo-dodecanoic acid | 228.16 | C12H23NO3 | 211.13, 210.15, 184.17, 167.14 | DCM | 0.15 | DCM | 0.24 | DCM | 0.093 |
| CHX | 0.2133 | CHX | 0.333 | CHX | 0.15 | |||||
| LIM | 0.128 | LIM | 0.293 | LIM | 0.091 | |||||
| 4.34 | 14-amino-14-oxotetradecanoic acid | 256.2 | C14H27NO3 | 239.16, 212.2, 238.18 195.17 | DCM | 0.0693 | DCM | 0.093 | DCM | 0.0413 |
| CHX | 0.1173 | CHX | 0.1466 | CHX | 0.0703 | |||||
| LIM | 0.124 | LIM | 0.136 | LIM | 0.063 | |||||
| 6.58 | 14-oxotetradecanamide | 242.2 | C14H27NO2 | 225.18, 207.17, 197.2 | DCM | 0.126 | DCM | 0.226 | DCM | 0.0913 |
| CHX | 0.1363 | CHX | 0.296 | CHX | 0.1156 | |||||
| LIM | 0.188 | LIM | 0.253 | LIM | 0.118 | |||||
| 7.26 | 15-oxopentadec-13-enamide | 254.21 | C15H27NO2 | 239.2, 237.18, 219.17, 201.16 | DCM | 0.283 | DCM | 0.443 | DCM | 0.203 |
| CHX | 0.38 | CHX | 0.54 | CHX | 0.286 | |||||
| LIM | 0.29 | LIM | 0.34 | LIM | 0.2 | |||||
| 7.85 | Undecanamide | 186.18 | C11H23NO | 169.16, 158.15, 151.08 | DCM | 0.18 | DCM | 0.183 | DCM | 0.08 |
| CHX | 0.266 | CHX | 0.36 | CHX | 0.1733 | |||||
| LIM | 0.271 | LIM | 0.16 | LIM | 0.124 | |||||
| 8.8 | Erucamide keto-epoxide | 368.3 | C22H41NO3 | 351.29, 352.32, 333.28, 315.27 | DCM | 0.1896 | DCM | 0.12 | DCM | 0.0953 |
| CHX | 0.221 | CHX | 0.21 | CHX | 0.159 | |||||
| LIM | 0.316 | LIM | 0.136 | LIM | 0.089 | |||||
| 10.78 | Erucamide with ketone | 352.3 | C22H41NO2 | 335.29, 317.28, 307.29, 299.27 | DCM | 0.203 | DCM | 0.293 | DCM | 0.136 |
| CHX | 0.216 | CHX | 0.4266 | CHX | 0.19 | |||||
| LIM | 0.22 | LIM | 0.296 | LIM | 0.136 | |||||
| 11.3 | Erucamide with one -OH | 354.3 | C22H43NO2 | 337.31, 336.33, 319.29, 309.31, 301.29 | DCM | 0.26 | DCM | 0.47 | DCM | 0.193 |
| CHX | 0.383 | CHX | 0.546 | CHX | 0.306 | |||||
| LIM | 0.21 | LIM | 0.38 | LIM | 0.506 | |||||
| 12 | Cis-11-eicosenamide | 310.3 | C20H39NO | 293.28, 275.27 | DCM | 0.129 | DCM | 0.1613 | DCM | 0.0736 |
| CHX | 0.1846 | CHX | 0.2173 | CHX | 0.1246 | |||||
| LIM | 0.11 | LIM | 0.206 | LIM | 0.063 | |||||
| 13 | Erucamide (13-cis-Docosenamide) | 338.3 | C22H43NO | 321.32, 303.31 | DCM | 93.55 | DCM | 80.43 | DCM | 91.819 |
| CHX | 90.804 | CHX | 73.629 | CHX | 84.67 | |||||
| LIM | 89.935 | LIM | 77.343 | LIM | 88.431 | |||||
Disclaimer/Publisher’s Note: The statements, opinions and data contained in all publications are solely those of the individual author(s) and contributor(s) and not of MDPI and/or the editor(s). MDPI and/or the editor(s) disclaim responsibility for any injury to people or property resulting from any ideas, methods, instructions or products referred to in the content. |
© 2023 by the authors. Licensee MDPI, Basel, Switzerland. This article is an open access article distributed under the terms and conditions of the Creative Commons Attribution (CC BY) license (https://creativecommons.org/licenses/by/4.0/).
Share and Cite
Joaquin, H.F.; Jaime, P.M.; Rodrigo, O.-T. Applying a Green Solvent with Microwave, Ultrasound, and Soxhlet Extraction Techniques to Quantify the Slip Additive cis-1,3-Docosenamide and Nine Oxidative Degradation Byproducts in Polypropylene Samples. Polymers 2023, 15, 3457. https://doi.org/10.3390/polym15163457
Joaquin HF, Jaime PM, Rodrigo O-T. Applying a Green Solvent with Microwave, Ultrasound, and Soxhlet Extraction Techniques to Quantify the Slip Additive cis-1,3-Docosenamide and Nine Oxidative Degradation Byproducts in Polypropylene Samples. Polymers. 2023; 15(16):3457. https://doi.org/10.3390/polym15163457
Chicago/Turabian StyleJoaquin, Hernández Fernández, Pérez Mendoza Jaime, and Ortega-Toro Rodrigo. 2023. "Applying a Green Solvent with Microwave, Ultrasound, and Soxhlet Extraction Techniques to Quantify the Slip Additive cis-1,3-Docosenamide and Nine Oxidative Degradation Byproducts in Polypropylene Samples" Polymers 15, no. 16: 3457. https://doi.org/10.3390/polym15163457
APA StyleJoaquin, H. F., Jaime, P. M., & Rodrigo, O.-T. (2023). Applying a Green Solvent with Microwave, Ultrasound, and Soxhlet Extraction Techniques to Quantify the Slip Additive cis-1,3-Docosenamide and Nine Oxidative Degradation Byproducts in Polypropylene Samples. Polymers, 15(16), 3457. https://doi.org/10.3390/polym15163457

