Circular Production, Designing, and Mechanical Testing of Polypropylene-Based Reinforced Composite Materials: Statistical Analysis for Potential Automotive and Nuclear Applications
Abstract
1. Introduction
2. Materials and Methods
2.1. Selection Criteria and Specification of Polymer Waste Materials
2.2. Sorting, Separation, and Grinding of Post-Consumer Waste
2.3. Fabrication of Fiber-Reinforced and Particulate Composite Materials
2.4. Quality and Performance Evaluations of Recycled Composite Materials
2.4.1. Thermal Evaluations
2.4.2. Mechanical Testing
2.4.3. Tribological Testing
2.4.4. Erosion Testing
2.4.5. Surface Characterization
3. Results
3.1. DSC and TGA Thermal Analysis of Composites
3.2. Solidification of Composites
3.3. SEM Characterization of Composites
3.4. Surface Roughness Evaluations of Composites
3.5. Mechanical Testing and SEM Characterization of Composites
3.5.1. Tensile Testing and SEM Analysis of Fracture Surface
3.5.2. Flexural Testing and SEM Analysis of Fracture Surface
3.5.3. Impact Testing and SEM Analysis of Fracture Surface
3.6. Tribological Investigations and SEM Characterization of Composites
3.6.1. Abrasion Testing and SEM Analysis of Abrasive Surfaces
3.6.2. Erosion Testing and SEM Analysis of Erosive Surfaces
3.7. Technical Aspects of Circularity and Commercial Applications
4. Conclusions
- All composite materials with 10% wt. fiber loadings exhibit lower surface roughness values, smooth surface, and minimum micro defects. However, voids, pits, microcracks, and rough areas appeared on the surface of PP-PCCF, PP-PCPESF, and PP-PCPETF composite materials with 30 and 40% wt. fiber loadings. Moreover, Ra, Rq, Rp, Rz, and Rt surface roughness parameters were also higher;
- The tensile, impact, and flexural properties of produced composites are linearly related to the nature, amount, and size of fibers. PP-PCPESF 10% wt. shows the highest values of tensile strength (29 MPa) and strain (10%) with the reasonable value of modulus of elasticity (1401 MPa). Similarly, tensile strength, strain, modulus of elasticity, flexural strength, strain, impact energy, and flexural constant of all other composite materials were found reasonable for potential commercial application;
- Collectively, composite materials with 10% wt. fiber loadings show suitability for structural applications due to good ductility, plastic deformation, stiffness, and standability at higher loads. At 30% wt. fiber loadings ductile to brittle transition occur due to the complex behavior of composite materials. However, composite materials with 40% fiber loadings exhibit suitability for environmental applications due to higher brittleness and stiffness, and impact energy;
- The values of abrasive wear with values in the range of 3 × 10−6 mm3/Nm to 6.5 × 10−6 mm3/Nm have manifested very good surface quality of fabricated composite materials. Similarly, manufactured composite materials can also withstand environmental impacts due to minimum values of erosive wear in the range of 2 mm3/kg to 35 mm3/kg;
- The statistical ANOVA predicts the potential use of recycled composite materials in various structural and environmental applications.
Author Contributions
Funding
Institutional Review Board Statement
Data Availability Statement
Acknowledgments
Conflicts of Interest
References
- Korley, L.T.; Epps, T.H., III; Helms, B.A.; Ryan, A.J. Toward polymer upcycling—Adding value and tackling circularity. Science 2021, 373, 66–69. [Google Scholar]
- Shanmugam, V.; Das, O.; Neisiany, R.E.; Babu, K.; Singh, S.; Hedenqvist, M.S.; Berto, F.; Ramakrishna, S. Polymer recycling in additive manufacturing: An opportunity for the circular economy. Mater. Circ. Econ. 2020, 2, 11. [Google Scholar]
- La Rosa, A.D.; Greco, S.; Tosto, C.; Cicala, G. LCA and LCC of a chemical recycling process of waste CF-thermoset composites for the production of novel CF-thermoplastic composites. Open loop and closed loop scenarios. J. Clean. Prod. 2021, 304, 127158. [Google Scholar]
- Williams, T.G.; Heidrich, O.; Sallis, P.J. A case study of the open-loop recycling of mixed plastic waste for use in a sports-field drainage system. Resour. Conserv. Recycl. 2010, 55, 118–128. [Google Scholar] [CrossRef]
- Wang, Z.; Ganewatta, M.S.; Tang, C. Sustainable polymers from biomass: Bridging chemistry with materials and processing. Prog. Polym. Sci. 2020, 101, 101197. [Google Scholar] [CrossRef]
- Kliem, S.; Kreutzbruck, M.; Bonten, C. Review on the biological degradation of polymers in various environments. Materials 2020, 13, 4586. [Google Scholar] [CrossRef] [PubMed]
- Ali, S.S.; Al-Tohamy, R.; Mohamed, T.M.; Mahmoud, Y.A.-G.; Ruiz, H.A.; Sun, L.; Sun, J. Could termites be hiding a goldmine of obscure yet promising yeasts for energy crisis solutions based on aromatic wastes? A critical state-of-the-art review. Biotechnol. Biofuels Bioprod. 2022, 15, 35. [Google Scholar] [CrossRef]
- Tähkämö, L.; Ojanperä, A.; Kemppi, J.; Deviatkin, I. Life cycle assessment of renewable liquid hydrocarbons, propylene, and polypropylene derived from bio-based waste and residues: Evaluation of climate change impacts and abiotic resource depletion potential. J. Clean. Prod. 2022, 379, 134645. [Google Scholar] [CrossRef]
- Williams, C.K.; Hillmyer, M.A. Polymers from renewable resources: A perspective for a special issue of polymer reviews. Polym. Rev. 2008, 48, 1–10. [Google Scholar] [CrossRef]
- Yang, Y.; Boom, R.; Irion, B.; Van Heerden, D.-J.; Kuiper, P.; De Wit, H. Recycling of composite materials. Chem. Eng. Process. Process Intensif. 2012, 51, 53–68. [Google Scholar]
- Dimonie, D.; Dragne, M.; Trica, B.; Nicolae, C.-A.; Raduly, M.; Doncea, S.; Ladaniuc, M.; Mustatea, A.; Miu, F.; Soare, L. New Biodegradable Materials for Re-Thought Packaging from Pre-Consumer Wastes by Controlling the Storage Time as Method to Increase the Mechanical Recycling Efficiency. Materials 2023, 16, 1503. [Google Scholar] [CrossRef]
- Chawla, S.; Varghese, B.S.; Chithra, A.; Hussain, C.G.; Keçili, R.; Hussain, C.M. Environmental impacts of post-consumer plastic wastes: Treatment technologies towards eco-sustainability and circular economy. Chemosphere 2022, 308, 135867. [Google Scholar] [CrossRef]
- Datta, J.; Kopczyńska, P. From polymer waste to potential main industrial products: Actual state of recycling and recovering. Crit. Rev. Environ. Sci. Technol. 2016, 46, 905–946. [Google Scholar]
- Badia, J.; Gil-Castell, O.; Ribes-Greus, A. Long-term properties and end-of-life of polymers from renewable resources. Polym. Degrad. Stab. 2017, 137, 35–57. [Google Scholar] [CrossRef]
- Hussain, A.; Kamboj, N.; Podgurski, V.; Antonov, M.; Goliandin, D. Circular economy approach to recycling technologies of postconsumer textile waste in Estonia: A review. Proc. Estonian Acad. Sci. 2021, 70, 80. [Google Scholar] [CrossRef]
- Das, O.; Babu, K.; Shanmugam, V.; Sykam, K.; Tebyetekerwa, M.; Neisiany, R.E.; Försth, M.; Sas, G.; Gonzalez-Libreros, J.; Capezza, A.J. Natural and industrial wastes for sustainable and renewable polymer composites. Renew. Sustain. Energy Rev. 2022, 158, 112054. [Google Scholar] [CrossRef]
- Dubey, S.C.; Mishra, V.; Sharma, A. A review on polymer composite with waste material as reinforcement. Mater. Today Proc. 2021, 47, 2846–2851. [Google Scholar]
- Hamad, K.; Kaseem, M.; Deri, F. Recycling of waste from polymer materials: An overview of the recent works. Polym. Degrad. Stab. 2013, 98, 2801–2812. [Google Scholar] [CrossRef]
- Jose, J.P.; Joseph, K. Advances in polymer composites: Macro-and microcomposites–state of the art, new challenges, and opportunities. In Polymer Composites; Wiley Online Library: Hoboken, NJ, USA, 2012; pp. 1–16. [Google Scholar]
- Bongarde, U.; Shinde, V. Review on natural fiber reinforcement polymer composites. Int. J. Eng. Sci. Innov. Technol. 2014, 3, 431–436. [Google Scholar]
- Zaghloul, M.Y.M.; Zaghloul, M.M.Y.; Zaghloul, M.M.Y. Developments in polyester composite materials–An in-depth review on natural fibres and nano fillers. Compos. Struct. 2021, 278, 114698. [Google Scholar] [CrossRef]
- Brebu, M. Environmental degradation of plastic composites with natural fillers—A review. Polymers 2020, 12, 166. [Google Scholar] [CrossRef] [PubMed]
- Zhao, C.; Mark, L.H.; Alshrah, M.; Soltani, I.; Lee, P.C.; Park, C.B. Challenge in manufacturing nanofibril composites with low matrix viscosity: Effects of matrix viscosity and fibril content. Eur. Polym. J. 2019, 121, 109310. [Google Scholar] [CrossRef]
- Laria, J.G.; Gaggino, R.; Kreiker, J.; Peisino, L.E.; Positieri, M.; Cappelletti, A. Mechanical and processing properties of recycled PET and LDPE-HDPE composite materials for building components. J. Thermoplast. Compos. Mater. 2023, 36, 418–431. [Google Scholar] [CrossRef]
- Alsubari, S.; Zuhri, M.; Sapuan, S.; Ishak, M.; Ilyas, R.; Asyraf, M. Potential of natural fiber reinforced polymer composites in sandwich structures: A review on its mechanical properties. Polymers 2021, 13, 423. [Google Scholar] [CrossRef]
- Karger-Kocsis, J.; Mahmood, H.; Pegoretti, A. Recent advances in fiber/matrix interphase engineering for polymer composites. Prog. Mater. Sci. 2015, 73, 1–43. [Google Scholar]
- Kaushal, A.; Singh, V. Excellent electromagnetic interference shielding performance of polypropylene/carbon fiber/multiwalled carbon nanotube nanocomposites. Polym. Compos. 2022, 43, 3708–3715. [Google Scholar] [CrossRef]
- Uibu, M.; Tamm, K.; Viires, R.; Reinik, J.; Somelar, P.; Raado, L.; Hain, T.; Kuusik, R.; Trikkel, A. The composition and properties of ash in the context of the modernisation of oil shale industry. Oil Shale 2021, 38, 155. [Google Scholar] [CrossRef]
- Chaudhary, D.S.; Jollands, M.C.; Cser, F. Recycling rice hull ash: A filler material for polymeric composites? Adv. Polym. Technol. J. Polym. Process. Inst. 2004, 23, 147–155. [Google Scholar] [CrossRef]
- Benin, S.; Kannan, S.; Bright, R.J.; Moses, A.J. A review on mechanical characterization of polymer matrix composites & its effects reinforced with various natural fibres. Mater. Today Proc. 2020, 33, 798–805. [Google Scholar]
- Benhamadouche, L.; Rokbi, M.; Osmani, H.; Jawaid, M.; Asim, M.; Supian, A.B.M.; Mekideche, S.; Moussaoui, N.; Fouad, H.; Khiari, R. Characterization of physical and mechanical properties of recycled jute fabric reinforced polypropylene composites. Polym. Compos. 2021, 42, 5435–5444. [Google Scholar] [CrossRef]
- Saba, N.; Paridah, M.; Jawaid, M. Mechanical properties of kenaf fibre reinforced polymer composite: A review. Constr. Build. Mater. 2015, 76, 87–96. [Google Scholar] [CrossRef]
- Friedrich, K.; Almajid, A.A. Manufacturing aspects of advanced polymer composites for automotive applications. Appl. Compos. Mater. 2013, 20, 107–128. [Google Scholar] [CrossRef]
- Holbery, J.; Houston, D. Natural-fiber-reinforced polymer composites in automotive applications. JOM 2006, 58, 80–86. [Google Scholar] [CrossRef]
- Yaragatti, N.; Patnaik, A. A review on additive manufacturing of polymers composites. Mater. Today Proc. 2021, 44, 4150–4157. [Google Scholar] [CrossRef]
- Chen, S.C.; Chen, Y.C.; Peng, H.S. Simulation of injection–compression-molding process. II. Influence of process characteristics on part shrinkage. J. Appl. Polym. Sci. 2000, 75, 1640–1654. [Google Scholar] [CrossRef]
- Kim, S.-Y.; Shim, C.S.; Sturtevant, C.; Song, H.C. Mechanical properties and production quality of hand-layup and vacuum infusion processed hybrid composite materials for GFRP marine structures. Int. J. Nav. Archit. Ocean Eng. 2014, 6, 723–736. [Google Scholar] [CrossRef]
- Laurenzi, S.; Marchetti, M. Advanced composite materials by resin transfer molding for aerospace applications. Compos. Their Prop. 2012, 197–226. [Google Scholar]
- Lee, H.; Ryu, K.; Cho, Y. A framework of a smart injection molding system based on real-time data. Procedia Manuf. 2017, 11, 1004–1011. [Google Scholar] [CrossRef]
- Synyuk, O.; Musiał, J.; Zlotenko, B.; Kulik, T. Development of equipment for injection molding of polymer products filled with recycled polymer waste. Polymers 2020, 12, 2725. [Google Scholar] [CrossRef]
- Clough, R. High-energy radiation and polymers: A review of commercial processes and emerging applications. Nucl. Instrum. Methods Phys. Res. Sect. B Beam Interact. Mater. At. 2001, 185, 8–33. [Google Scholar] [CrossRef]
- Utracki, L.A. Commercial Polymer Blends; Springer Science & Business Media: New York, NY, USA, 2013. [Google Scholar]
- Maddah, H.A. Polypropylene as a promising plastic: A review. Am. J. Polym. Sci 2016, 6, 1–11. [Google Scholar]
- Tjong, S.C.; Mai, Y.-W. Physical Properties and Applications of Polymer Nanocomposites; Elsevier: Amsterdam, The Netherlands, 2010. [Google Scholar]
- Maurya, A.K.; Gogoi, R.; Manik, G. Mechano-chemically activated fly-ash and sisal fiber reinforced PP hybrid composite with enhanced mechanical properties. Cellulose 2021, 28, 8493–8508. [Google Scholar] [CrossRef]
- Liu, Y.; Kontopoulou, M. The structure and physical properties of polypropylene and thermoplastic olefin nanocomposites containing nanosilica. Polymer 2006, 47, 7731–7739. [Google Scholar] [CrossRef]
- Okan, M.; Aydin, H.M.; Barsbay, M. Current approaches to waste polymer utilization and minimization: A review. J. Chem. Technol. Biotechnol. 2019, 94, 8–21. [Google Scholar] [CrossRef]
- Malik, N.; Kumar, P.; Shrivastava, S.; Ghosh, S.B. An overview on PET waste recycling for application in packaging. Int. J. Plast. Technol. 2017, 21, 1–24. [Google Scholar] [CrossRef]
- Choudhary, K.; Sangwan, K.S.; Goyal, D. Environment and economic impacts assessment of PET waste recycling with conventional and renewable sources of energy. Procedia CIRP 2019, 80, 422–427. [Google Scholar] [CrossRef]
- Welle, F. Twenty years of PET bottle to bottle recycling—An overview. Resour. Conserv. Recycl. 2011, 55, 865–875. [Google Scholar] [CrossRef]
- Brouwer, M.T.; Alvarado Chacon, F.; Thoden van Velzen, E.U. Effect of recycled content and rPET quality on the properties of PET bottles, part III: Modelling of repetitive recycling. Packag. Technol. Sci. 2020, 33, 373–383. [Google Scholar] [CrossRef]
- Duque-Ingunza, I.; López-Fonseca, R.; De Rivas, B.; Gutiérrez-Ortiz, J. Synthesis of unsaturated polyester resin from glycolysed postconsumer PET wastes. J. Mater. Cycles Waste Manag. 2013, 15, 256–263. [Google Scholar] [CrossRef]
- Wu, Z.; Cui, H.; Chen, L.; Jiang, D.; Weng, L.; Ma, Y.; Li, X.; Zhang, X.; Liu, H.; Wang, N. Interfacially reinforced unsaturated polyester carbon fiber composites with a vinyl ester-carbon nanotubes sizing agent. Compos. Sci. Technol. 2018, 164, 195–203. [Google Scholar] [CrossRef]
- Deopura, B.; Alagirusamy, R.; Joshi, M.; Gupta, B. Polyesters and Polyamides; Elsevier: Amsterdam, The Netherlands, 2008. [Google Scholar]
- Thomas, S.; Visakh, P.; Mathew, A.P. Advances in natural polymers. Adv. Struct. Mater. 2013, 255, 312–334. [Google Scholar]
- Väisänen, T.; Das, O.; Tomppo, L. A review on new bio-based constituents for natural fiber-polymer composites. J. Clean. Prod. 2017, 149, 582–596. [Google Scholar] [CrossRef]
- Ioelovich, M. Cellulose: Nanostructured Natural Polymer; LAP Lambert Academic Publishing: Sunnyvale, CA, USA, 2014. [Google Scholar]
- Senthilkumar, K.; Saba, N.; Rajini, N.; Chandrasekar, M.; Jawaid, M.; Siengchin, S.; Alotman, O.Y. Mechanical properties evaluation of sisal fibre reinforced polymer composites: A review. Constr. Build. Mater. 2018, 174, 713–729. [Google Scholar] [CrossRef]
- Romanzini, D.; Ornaghi Junior, H.L.; Amico, S.C.; Zattera, A.J. Preparation and characterization of ramie-glass fiber reinforced polymer matrix hybrid composites. Mater. Res. 2012, 15, 415–420. [Google Scholar] [CrossRef]
- More, A.P. Flax fiber–based polymer composites: A review. Adv. Compos. Hybrid Mater. 2022, 5, 1–20. [Google Scholar] [CrossRef]
- Tanasă, F.; Zănoagă, M.; Teacă, C.A.; Nechifor, M.; Shahzad, A. Modified hemp fibers intended for fiber-reinforced polymer composites used in structural applications—A review. I. Methods of modification. Polym. Compos. 2020, 41, 5–31. [Google Scholar] [CrossRef]
- Manaia, J.P.; Manaia, A.T.; Rodriges, L. Industrial hemp fibers: An overview. Fibers 2019, 7, 106. [Google Scholar] [CrossRef]
- Zia, K.M.; Tabasum, S.; Nasif, M.; Sultan, N.; Aslam, N.; Noreen, A.; Zuber, M. A review on synthesis, properties and applications of natural polymer based carrageenan blends and composites. Int. J. Biol. Macromol. 2017, 96, 282–301. [Google Scholar] [CrossRef]
- Valerio, O.; Muthuraj, R.; Codou, A. Strategies for polymer to polymer recycling from waste: Current trends and opportunities for improving the circular economy of polymers in South America. Curr. Opin. Green Sustain. Chem. 2020, 25, 100381. [Google Scholar] [CrossRef]
- Madi, N. Thermal and mechanical properties of injection molded recycled high density polyethylene blends with virgin isotactic polypropylene. Mater. Des. 2013, 46, 435–441. [Google Scholar] [CrossRef]
- Minchenkov, K.; Gusev, S.; Sulimov, A.; Sergeichev, I.; Safonov, A. Experimental and numerical analyses of the thermoplastic pultrusion of large structural profiles. Mater. Des. 2023, 1, 112149. [Google Scholar] [CrossRef]
- Wittemann, F.; Maertens, R.; Kärger, L.; Henning, F. Injection molding simulation of short fiber reinforced thermosets with anisotropic and non-Newtonian flow behavior. Compos. Part A Appl. Sci. Manuf. 2019, 124, 105476. [Google Scholar] [CrossRef]
- Persson, A.M.M.; Hinrichsen, E.L.; Andreassen, E. Adhesion between thermoplastic elastomers and polyamide-12 with different glass fiber fractions in two-component injection molding. Polym. Eng. Sci. 2020, 60, 1642–1661. [Google Scholar] [CrossRef]
- Qin, Y.; Yao, Z.; Ruan, J.; Xu, Z. Motion behavior model and multistage magnetic separation method for the removal of impurities from recycled waste plastics. ACS Sustain. Chem. Eng. 2021, 9, 10920–10928. [Google Scholar] [CrossRef]
- Titone, V.; Correnti, A.; La Mantia, F.P. Effect of moisture content on the processing and mechanical properties of a biodegradable polyester. Polymers 2021, 13, 1616. [Google Scholar] [CrossRef] [PubMed]
- Liparoti, S.; Speranza, V.; Titomanlio, G.; Pantani, R. Effect of rapid mold heating on the structure and performance of injection-molded polypropylene. Polymers 2020, 12, 341. [Google Scholar] [CrossRef]
- Bont, M.; Barry, C.; Johnston, S. A review of liquid silicone rubber injection molding: Process variables and process modeling. Polym. Eng. Sci. 2021, 61, 331–347. [Google Scholar] [CrossRef]
- Ahmed, K.; Qin, X.; Yuqiu, Y.; Yu, L.; Hamada, H. Physiochemical and thermodynamic mechanical behavior of injection molded sized and de-sized CF/PP composites. Compos. Interfaces 2023, 30, 123–145. [Google Scholar] [CrossRef]
- Lay, M.; Thajudin, N.L.N.; Hamid, Z.A.A.; Rusli, A.; Abdullah, M.K.; Shuib, R.K. Comparison of physical and mechanical properties of PLA, ABS and nylon 6 fabricated using fused deposition modeling and injection molding. Compos. Part B Eng. 2019, 176, 107341. [Google Scholar] [CrossRef]
- Abeykoon, C.; McMillan, A.; Nguyen, B.K. Energy efficiency in extrusion-related polymer processing: A review of state of the art and potential efficiency improvements. Renew. Sustain. Energy Rev. 2021, 147, 111219. [Google Scholar] [CrossRef]
- Wu, F.; Misra, M.; Mohanty, A.K. Sustainable green composites from biodegradable plastics blend and natural fibre with balanced performance: Synergy of nano-structured blend and reactive extrusion. Compos. Sci. Technol. 2020, 200, 108369. [Google Scholar] [CrossRef]
- Alsinani, N.; Laberge Lebel, L. Effect of Flax/PP pellets’ morphology on the mechanical properties of injection-molded parts. J. Thermoplast. Compos. Mater. 2022, 36, 3041–3065. [Google Scholar] [CrossRef]
- Włodarczyk-Fligier, A.; Polok-Rubiniec, M.; Chmielnicki, B. Polypropylene-matrix polymer composites with natural filler. Arch. Metall. Mater. 2021, 66, 313–319. [Google Scholar]
- Somashekhar, S.; Shanthakumar, G. Effect of fiber content and screw speed on the mechanical properties of jute fiber reinforced polypropylene composite. In Proceedings of the AIP Conference Proceedings; AIP Publishing: New York, NY, USA, 2019; p. 020035. [Google Scholar]
- Schirmeister, C.G.; Schächtele, S.; Keßler, Y.; Hees, T.; Köhler, R.; Schmitz, K.; Licht, E.H.; Muelhaupt, R. Low warpage nanophase-separated polypropylene/olefinic elastomer reactor blend composites with digitally tuned glass fiber orientation by extrusion-based additive manufacturing. ACS Appl. Polym. Mater. 2021, 3, 2070–2081. [Google Scholar] [CrossRef]
- Jung, S.; Cho, D. Effect of fiber feeding route upon extrusion process on the electromagnetic, mechanical, and thermal properties of nickel-coated carbon fiber/polypropylene composites. Compos. Part B Eng. 2020, 187, 107861. [Google Scholar] [CrossRef]
- Koffi, A.; Koffi, D.; Toubal, L. Mechanical properties and drop-weight impact performance of injection-molded HDPE/birch fiber composites. Polym. Test. 2021, 93, 106956. [Google Scholar] [CrossRef]
- Maurya, A.K.; Gogoi, R.; Sethi, S.K.; Manik, G. A combined theoretical and experimental investigation of the valorization of mechanical and thermal properties of the fly ash-reinforced polypropylene hybrid composites. J. Mater. Sci. 2021, 56, 16976–16998. [Google Scholar] [CrossRef]
- Majumdar, A.; Shukla, S.; Singh, A.A.; Arora, S. Circular fashion: Properties of fabrics made from mechanically recycled poly-ethylene terephthalate (PET) bottles. Resour. Conserv. Recycl. 2020, 161, 104915. [Google Scholar] [CrossRef]
- Nematollahi, M.; Karevan, M.; Mosaddegh, P.; Farzin, M. Morphology, thermal and mechanical properties of extruded injection molded kenaf fiber reinforced polypropylene composites. Mater. Res. Express 2019, 6, 095409. [Google Scholar] [CrossRef]
- Muflikhun, M.A.; Yokozeki, T. Experimental and numerical analysis of CFRP-SPCC hybrid laminates for automotive and structural applications with cost analysis assessment. Compos. Struct. 2021, 263, 113707. [Google Scholar] [CrossRef]
- Thiriez, A.; Gutowski, T. An environmental analysis of injection molding. In Proceedings of the 2006 IEEE International Symposium on Electronics and the Environment, Scottsdale, AZ, USA, 8–11 May 2006; pp. 195–200. [Google Scholar]
- Giboz, J.; Copponnex, T.; Mélé, P. Microinjection molding of thermoplastic polymers: Morphological comparison with conventional injection molding. J. Micromech. Microeng. 2009, 19, 025023. [Google Scholar] [CrossRef]
- Germann, J.; Bensing, T.; Moneke, M. Correlation between Scratch Behavior and Tensile Properties in Injection Molded and Extruded Polymers. Polymers 2022, 14, 1016. [Google Scholar] [CrossRef] [PubMed]
- Joseph, P.; Rabello, M.S.; Mattoso, L.; Joseph, K.; Thomas, S. Environmental effects on the degradation behaviour of sisal fibre reinforced polypropylene composites. Compos. Sci. Technol. 2002, 62, 1357–1372. [Google Scholar] [CrossRef]
- Guo, G.; Kethineni, C. Direct injection molding of hybrid polypropylene/wood-fiber composites reinforced with glass fiber and carbon fiber. Int. J. Adv. Manuf. Technol. 2020, 106, 201–209. [Google Scholar] [CrossRef]
- Aguado, R.J.; Espinach, F.X.; Julián, F.; Tarrés, Q.; Delgado-Aguilar, M.; Mutjé, P. Tensile Strength of Poly (lactic acid)/Bleached Short Hemp Fiber Fully Green Composites as Replacement for Polypropylene/Glass Fiber. Polymers 2022, 15, 146. [Google Scholar] [CrossRef]
- Siddika, S.; Sharif, A.; Hasan, M. Effect of areca and waste nylon fiber hybridization on the properties of recycled polypropylene composites. J. Nat. Fibers 2022, 19, 6625–6637. [Google Scholar] [CrossRef]
- Shanmugam, V.; Rajendran, D.J.J.; Babu, K.; Rajendran, S.; Veerasimman, A.; Marimuthu, U.; Singh, S.; Das, O.; Neisiany, R.E.; Hedenqvist, M.S. The mechanical testing and performance analysis of polymer-fibre composites prepared through the additive manufacturing. Polym. Test. 2021, 93, 106925. [Google Scholar] [CrossRef]
- Sodeifian, G.; Ghaseminejad, S.; Yousefi, A.A. Preparation of polypropylene/short glass fiber composite as Fused Deposition Modeling (FDM) filament. Results Phys. 2019, 12, 205–222. [Google Scholar] [CrossRef]
- Bourmaud, A.; Shah, D.U.; Beaugrand, J.; Dhakal, H.N. Property changes in plant fibres during the processing of bio-based composites. Ind. Crops Prod. 2020, 154, 112705. [Google Scholar] [CrossRef]
- Maurya, A.K.; Gogoi, R.; Manik, G. Study of the moisture mitigation and toughening effect of fly-ash particles on sisal fiber-reinforced hybrid polypropylene composites. J. Polym. Environ. 2021, 29, 2321–2336. [Google Scholar] [CrossRef]
- Kumar, P.; Singh, J.; Kumari, N.; Jurail, S.S.; Verma, D.; Maurya, A.K. Study of mechanical and thermal behavior of alkali modified groundnut shell powder reinforced ABS composites. Polym. Compos. 2022, 43, 4569–4587. [Google Scholar] [CrossRef]
- Rokbi, M.; Khaldoune, A.; Sanjay, M.; Senthamaraikannan, P.; Ati, A.; Siengchin, S. Effect of processing parameters on tensile properties of recycled polypropylene based composites reinforced with jute fabrics. Int. J. Lightweight Mater. Manuf. 2020, 3, 144–149. [Google Scholar] [CrossRef]
- Junaedi, H.; Baig, M.; Dawood, A.; Albahkali, E.; Almajid, A. Effect of the Matrix Melt Flow Index and Fillers on Mechanical Properties of Polypropylene-Based Composites. Materials 2022, 15, 7568. [Google Scholar] [CrossRef] [PubMed]
- Nakada, M.; Miyano, Y.; Nonaka, T.; Morisawa, Y.; Isaki, T.; Hirano, T.; Uzawa, K. Statistical tensile and flexural fatigue lives of unidirectional CF/PP laminates. J. Reinf. Plast. Compos. 2023, 07316844231159951. [Google Scholar] [CrossRef]
- Khan, T.; Hafeez, F.; Umer, R. Repair of Aerospace Composite Structures Using Liquid Thermoplastic Resin. Polymers 2023, 15, 1377. [Google Scholar] [CrossRef]
- Uşun, A.; Vatandaş, B.; Gümrük, R. Improving the Mechanical Properties of Continuous Fiber Reinforced Thermoplastic Composites Manufactured by FDM Method with Fiber Ratio Optimization. In Proceedings of the 6th International Sciences and Innovation Congress, Ankara, Türkiye, 5–6 August 2023. [Google Scholar]
- Jiang, Z.; Chen, H.; Zhao, M.; McCarney, J.; De Schryver, D.; Aplin, T.; Sue, H.-J. Toughening of linear low-density polyethylene/brominated polystyrene blend by styrene-ethylene/butylene-styrene elastomer. Polymer 2023, 272, 125859. [Google Scholar] [CrossRef]
- Tsokanas, P. The Effect of Residual Hygrothermal Stresses on the Energy Release Rate and Mode Mixity of Interfacial Cracks in Beams with Bending–Extension Coupling. In Fracture Analysis of Layered Beams with an Elastically Coupled Behavior and Hygrothermal Stresses: Application to Metal-to-Composite Adhesive Joints; Springer: Berlin/Heidelberg, Germany, 2023; pp. 17–63. [Google Scholar]
- Somaiah Chowdary, M.; Raghavendra, G.; Niranjan Kumar, M.; Ojha, S.; Anupama Ammulu, M.; Prasanthi, P.P. Evaluation of mechanical and tribological properties of nano clay reinforced Kevlar/Sisal polyester composites. Polym. Compos. 2022, 43, 8860–8868. [Google Scholar] [CrossRef]
- Ilieva, A.; Kiryakova, D. Determination of Physico-mechanical and rheological properties of silane-treated wood flour polypropylene composites. J. Chem. Technol. Metall. 2023, 58, 291–301. [Google Scholar]
- Parambil, N.K.; Chen, B.R.; Deitzel, J.M.; Gillespie, J.W., Jr. Predicting Crystallization-Dependent Residual Stress Development in Thermoplastic Composites. Available online: https://speautomotive.com/wp-content/uploads/2022/10/Predicting-Crystallization-Dependent-Residual-Stress-Development-in-Thermoplastic-Composites_PARAMBIL.pdf (accessed on 19 July 2023).
- Mydin, M.A.O.; Nawi, M.N.M.; Omar, R.; Dulaimi, A.; Najm, H.M.; Mahmood, S.; Sabri, M.M.S. Mechanical, durability and thermal properties of foamed concrete reinforced with synthetic twisted bundle macro-fibers. Front. Mater. 2023, 10, 92. [Google Scholar]
- Sydow, Z.; Bula, K.; Gapiński, B. Friction and wear of polypropylene-based composites reinforced with cherry seed powder. Tribol. Int. 2023, 179, 108177. [Google Scholar]
- Singh, P.P.; Nath, G. Laser processing of composite materials for acoustic applications. Laser Phys. 2022, 33, 016003. [Google Scholar] [CrossRef]
- Yue, L. A Numerical Predictive Tool for Long-Term Properties of Thermoplastics under Complex Operating Conditions. Ph.D. Thesis, Polytechnique Montréal, Montreal, QC, Canada, 2022. Available online: https://publications.polymtl.ca/10258/ (accessed on 19 July 2023).
- Hussain, A.; Abbas, M.M. Role of experimental damage mechanics for the circular economy implementation in cotton industries. J. Mod. Nanotechnol. 2021. [Google Scholar] [CrossRef]
- Hussain, A.; Podgursky, V.; Goliandin, D.; Antonov, M.; Kumar, R.; Kamboj, N.; Ahranjani, R.R.; Viljus, M.; Ahmad, T.; Farid, M.M. Tribological and circular economy aspects of polypropylene/cotton fibre hybrid composite. Proc. Est. Acad. Sci. 2022, 71, 186. [Google Scholar] [CrossRef]
- ASTM D3039/D3039M-08; Standard Test Method for Tensile Properties of Polymer Matrix Composite Materials. ASTM International: West Conshohocken, PA, USA, 2014.
- ASTM D5467/D5467M-97(2017); Standard Test Method for Compressive Properties of Unidirectional Polymer Matrix Composite Materials Using a Sandwich Beam. ASTM International: West Conshohocken, PA, USA, 2017.
- Joseph, P.; Joseph, K.; Thomas, S.; Pillai, C.; Prasad, V.; Groeninckx, G.; Sarkissova, M. The thermal and crystallisation studies of short sisal fibre reinforced polypropylene composites. Compos. Part A Appl. Sci. Manuf. 2003, 34, 253–266. [Google Scholar] [CrossRef]
- Araújo, R.S.; Rezende, C.C.; Marques, M.F.V.; Ferreira, L.C.; Russo, P.; Emanuela Errico, M.; Avolio, R.; Avella, M.; Gentile, G. Polypropylene-based composites reinforced with textile wastes. J. Appl. Polym. Sci. 2017, 134, 45060. [Google Scholar] [CrossRef]
- Huang, J.; Rodrigue, D. The effect of carbon nanotube orientation and content on the mechanical properties of polypropylene based composites. Mater. Des. 2014, 55, 653–663. [Google Scholar] [CrossRef]
- Yallew, T.B.; Kumar, P.; Singh, I. Sliding wear properties of jute fabric reinforced polypropylene composites. Procedia Eng. 2014, 97, 402–411. [Google Scholar] [CrossRef]
- Al-Maharma, A.Y.; Al-Huniti, N. Critical review of the parameters affecting the effectiveness of moisture absorption treatments used for natural composites. J. Compos. Sci. 2019, 3, 27. [Google Scholar] [CrossRef]
- Nurazzi, N.; Asyraf, M.; Rayung, M.; Norrrahim, M.; Shazleen, S.; Rani, M.; Shafi, A.; Aisyah, H.; Radzi, M.; Sabaruddin, F. Thermogravimetric analysis properties of cellulosic natural fiber polymer composites: A review on influence of chemical treatments. Polymers 2021, 13, 2710. [Google Scholar] [CrossRef]
- AlMaadeed, M.A.; Kahraman, R.; Khanam, P.N.; Madi, N. Date palm wood flour/glass fibre reinforced hybrid composites of recycled polypropylene: Mechanical and thermal properties. Mater. Des. 2012, 42, 289–294. [Google Scholar] [CrossRef]
- Das, A.; Satapathy, B.K. Structural, thermal, mechanical and dynamic mechanical properties of cenosphere filled polypropylene composites. Mater. Des. 2011, 32, 1477–1484. [Google Scholar] [CrossRef]
- Khanam, P.N.; AlMaadeed, M.A.A. Processing and characterization of polyethylene-based composites. Adv. Manuf. Polym. Compos. Sci. 2015, 1, 63–79. [Google Scholar] [CrossRef]
- Brigandi, P.J.; Cogen, J.M.; Wolf, C.A.; Reffner, J.R.; Pearson, R.A. Kinetic and thermodynamic control in conductive PP/PMMA/EAA carbon black composites. J. Appl. Polym. Sci. 2015, 132, 42134. [Google Scholar] [CrossRef]
- Nugraha, A.D.; Nuryanta, M.I.; Sean, L.; Budiman, K.; Kusni, M.; Muratov, D.; Muflikhun, M.A. Recent Progress on Natural Fibers Mixed with CFRP and GFRP: Properties, Characteristics, and Failure Behaviour. Polymers 2022, 14, 5138. [Google Scholar] [CrossRef] [PubMed]
- Bahlouli, N.; Pessey, D.; Raveyre, C.; Guillet, J.; Ahzi, S.; Dahoun, A.; Hiver, J.M. Recycling effects on the rheological and thermomechanical properties of polypropylene-based composites. Mater. Des. 2012, 33, 451–458. [Google Scholar] [CrossRef]
- El-Shekeil, Y.; Sapuan, S.; Algrafi, M. Effect of fiber loading on mechanical and morphological properties of cocoa pod husk fibers reinforced thermoplastic polyurethane composites. Mater. Des. 2014, 64, 330–333. [Google Scholar] [CrossRef]
- Varghese, S.; Kuriakose, B.; Thomas, S.; Koshy, A.T. Mechanical and viscoelastic properties of short fiber reinforced natural rubber composites: Effects of interfacial adhesion, fiber loading, and orientation. J. Adhes. Sci. Technol. 1994, 8, 235–248. [Google Scholar] [CrossRef]
- Naser, M.; Hawileh, R.; Abdalla, J. Fiber-reinforced polymer composites in strengthening reinforced concrete structures: A critical review. Eng. Struct. 2019, 198, 109542. [Google Scholar] [CrossRef]
- Ismail, S.O.; Dhakal, H.N.; Popov, I.; Beaugrand, J. Comprehensive study on machinability of sustainable and conventional fibre reinforced polymer composites. Eng. Sci. Technol. Int. J. 2016, 19, 2043–2052. [Google Scholar] [CrossRef]
- Fidelis, M.E.A.; Pereira, T.V.C.; da Fonseca Martins Gomes, O.; de Andrade Silva, F.; Toledo Filho, R.D. The effect of fiber morphology on the tensile strength of natural fibers. J. Mater. Res. Technol. 2013, 2, 149–157. [Google Scholar] [CrossRef]
- Lokesh, P.; Kumari, T.S.; Gopi, R.; Loganathan, G.B. A study on mechanical properties of bamboo fiber reinforced polymer composite. Mater. Today Proc. 2020, 22, 897–903. [Google Scholar] [CrossRef]
- Amuthakkannan, P.; Manikandan, V.; Jappes, J.W.; Uthayakumar, M. Effect of fibre length and fibre content on mechanical properties of short basalt fibre reinforced polymer matrix composites. Mater. Phys. Mech. 2013, 16, 107–117. [Google Scholar]
- Bledzki, A.; Gassan, J. Composites reinforced with cellulose based fibres. Prog. Polym. Sci. 1999, 24, 221–274. [Google Scholar] [CrossRef]
- Croft, K.; Lessard, L.; Pasini, D.; Hojjati, M.; Chen, J.; Yousefpour, A. Experimental study of the effect of automated fiber placement induced defects on performance of composite laminates. Compos. Part A Appl. Sci. Manuf. 2011, 42, 484–491. [Google Scholar] [CrossRef]
- Hussain, A.; Podgursky, V.; Viljus, M.; Awan, M.R. The role of paradigms and technical strategies for implementation of the circular economy in the polymer and composite recycling industries. Adv. Ind. Eng. Polym. Res. 2023, 6, 1–12. [Google Scholar] [CrossRef]
- More, C.V.; Alsayed, Z.; Badawi, M.S.; Thabet, A.A.; Pawar, P.P. Polymeric composite materials for radiation shielding: A review. Environ. Chem. Lett. 2021, 19, 2057–2090. [Google Scholar] [CrossRef]
- Bilici, İ.; Aygün, B.; Deniz, C.U.; Öz, B.; Sayyed, M.I.; Karabulut, A. Fabrication of novel neutron shielding materials: Polypropylene composites containing colemanite, tincal and ulexite. Prog. Nucl. Energy 2021, 141, 103954. [Google Scholar] [CrossRef]
- Rajak, D.K.; Pagar, D.D.; Kumar, R.; Pruncu, C.I. Recent progress of reinforcement materials: A comprehensive overview of composite materials. J. Mater. Res. Technol. 2019, 8, 6354–6374. [Google Scholar] [CrossRef]
- Zheng, Y.; Gu, F.; Ren, Y.; Hall, P.; Miles, N.J. mproving mechanical properties of recycled polypropylene-based composites using Taguchi and ANOVA techniques. Procedia CIRP 2017, 61, 287–292. [Google Scholar] [CrossRef]
- Teixeira, R.S.; Santos, S.F.D.; Christoforo, A.L.; Payá, J.; Savastano, H., Jr.; Lahr, F.R. Impact of content and length of curauá fibers on mechanical behavior of extruded cementitious composites: Analysis of variance. Cem. Concr. Compos. 2019, 102, 134–144. [Google Scholar] [CrossRef]
- Shubhra, Q.T.; Alam, A.M.; Quaiyyum, M.A. Mechanical properties of polypropylene composites: A review. J. Thermoplast. Compos. Mater. 2013, 26, 362–391. [Google Scholar] [CrossRef]















| Post-Consumer Reinforced Fiber | Length (mm) | Diameter (µm) | Area (µm2) |
|---|---|---|---|
| PCCF | 3.000 ± 0.001 | 18.000 ± 0.002 | 250.000 ± 0.004 |
| PCPESF | 3.500 ± 0.001 | 17.000 ± 0.002 | 245.000 ± 0.004 |
| PCPETF | 0.310 ± 0.0002 | 0.010 ± 0.002 | 0.190 ± 0.0004 |
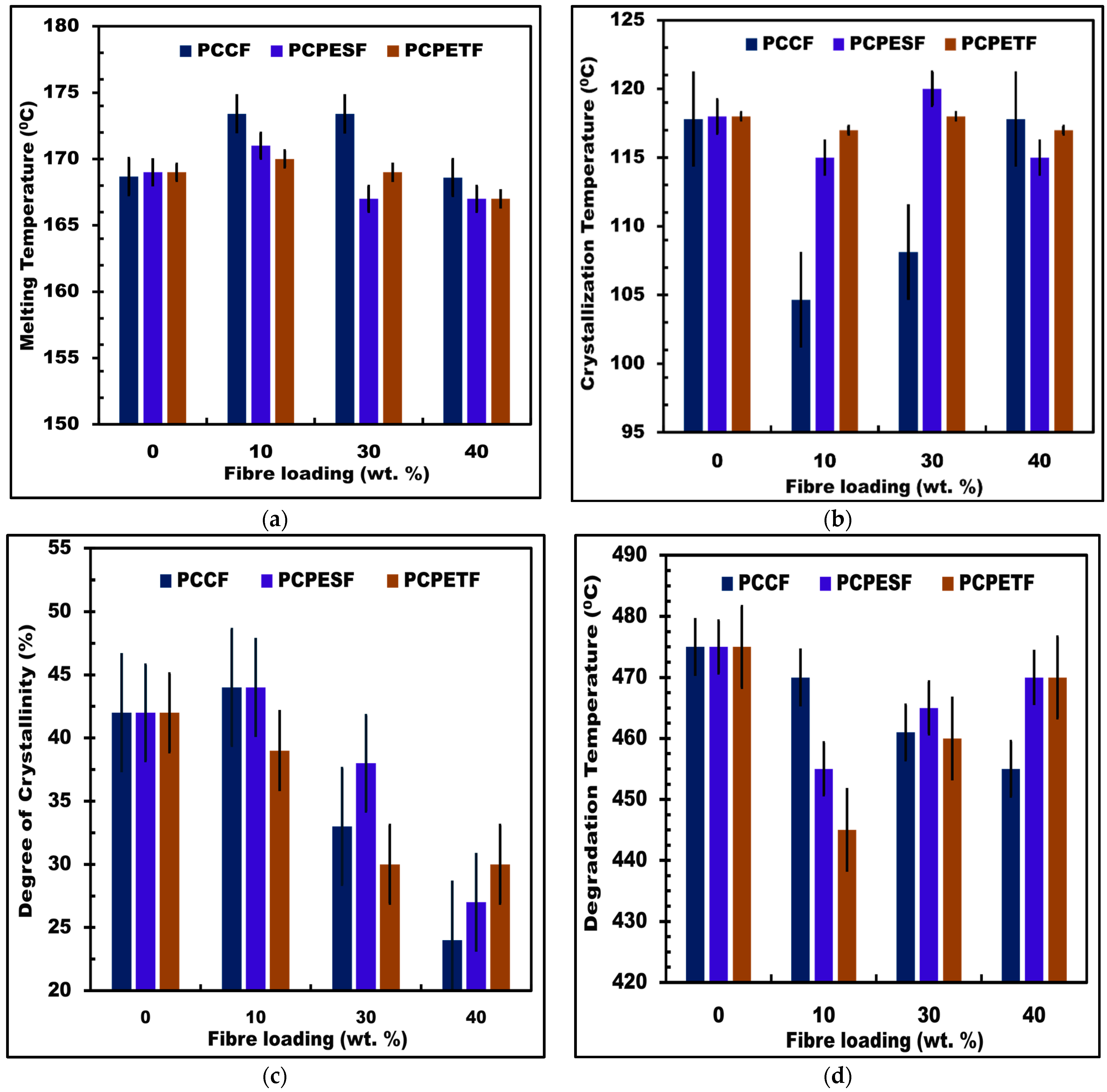
| Composite Family | Melting Temperature (°C) | Crystallization Temperature (°C) | Degradation Temperature (°C) | Degree of Crystallinity (%) |
|---|---|---|---|---|
| Pure PP | 169 ± 2 | 118 ± 4 | 475 ± 5 | 42 ± 5 |
| PP-PCCF 10% wt. | 173 ± 2 | 105 ± 4 | 470 ± 5 | 44 ± 5 |
| PP-PCCF 30% wt. | 173 ± 2 | 108 ± 5 | 461 ± 6 | 33 ± 4 |
| PP-PCCF 40% wt. | 169 ± 1 | 118 ± 5 | 455 ± 7 | 24 ± 5 |
| PP-PCPESF 10% wt. | 171 ± 2 | 115 ± 3 | 455 ± 5 | 44 ± 3 |
| PP-PCPESF 30% wt. | 167 ± 2 | 120 ± 2 | 465 ± 4 | 38 ± 4 |
| PP-PCPESF 40% wt. | 167 ± 2 | 115 ± 3 | 470 ± 4 | 27 ± 4 |
| PP-PCPETF 10% wt. | 170 ± 1 | 117 ± 1 | 445 ± 7 | 39 ± 4 |
| PP-PCPETF 30% wt. | 169 ± 1 | 118 ± 1 | 460 ± 8 | 30 ± 3 |
| PP-PCPETF 40% wt. | 167 ± 1 | 117 ± 1 | 470 ± 8 | 30 ± 4 |
| Composite | Tensile Testing | Bend Test | Impact Test | ||||
|---|---|---|---|---|---|---|---|
| PCCF Content (% wt.) | Tensile Strength σ(MPa) | Tensile Strain (%) | Modulus of Elasticity E(MPa) | Flexural Strength σ(MPa) | Flexural Strain (%) | Flexural Constant E(MPa) | Impact Energy (kJ/m2) |
| PP | 31 ± 2 | 10 ± 1.75 | 1226 ± 325 | 42 ± 6 | 14 ± 2 | 1172 ± 475 | 4.9 ± 0.30 |
| PP-PCCF 10% wt. | 26 ± 2 | 8 ± 1.50 | 1476 ± 400 | 51 ± 6 | 12 ± 2 | 2069 ± 475 | 4.8 ± 0.30 |
| PP-PCCF 30% wt. | 24 ± 2 | 4 ± 1.75 | 2521 ± 425 | 35 ± 6 | 10 ± 2 | 2130 ± 475 | 4.4 ± 0.30 |
| PP-PCCF 40% wt. | 22 ± 2 | 4 ± 1.75 | 2751 ± 430 | 57 ± 6 | 5 ± 2 | 3780 ± 475 | 5.5 ± 0.30 |
| PP-PCPESF 10% wt. | 29 ± 2 | 10 ± 2 | 1401 ± 125 | 41 ± 1 | 13 ± 1.25 | 1820 ± 325 | 2.80 ± 0.60 |
| PP-PCPESF 30% wt. | 25 ± 2 | 5 ± 2 | 1526 ± 125 | 43 ± 1 | 12 ± 1.25 | 2119 ± 325 | 2.81 ± 0.60 |
| PP-PCPESF 40% wt. | 23 ± 2 | 4 ± 2 | 1591 ± 125 | 41 ± 1 | 9 ± 1.25 | 2205 ± 325 | 3 ± 0.60 |
| PP-PCPETF 10% wt. | 25 ± 2 | 5 ± 2 | 1167 ± 85 | 40 ± 2 | 12 ± 1.50 | 1909 ± 275 | 2.60 ± 0.60 |
| PP-PCPETF 30% wt. | 22 ± 2 | 4 ± 2 | 1117 ± 85 | 40 ± 2 | 10 ± 1.50 | 2150 ± 275 | 3 ± 0.60 |
| PP-PCPETF 40% wt. | 22 ± 2 | 3 ± 2 | 790 ± 85 | 39 ± 2 | 9 ± 1.50 | 2140 ± 275 | 3.4 ± 0.60 |
| Composite Family | Abrasive Wear (mm3/Nm) | Erosive Wear (mm3/kg) | COF |
|---|---|---|---|
| Pure PP | 3.09 × 10−6 ± 0.10 × 10−6 | 9 ± 6 | 0.70 ± 0.15 |
| PP-PCCF 10% wt. | 3.54 × 10−6 ± 0.10 × 10−6 | 19 ± 7 | 1.11 ± 0.20 |
| PP-PCCF 30% wt. | 6.25 × 10−6 ± 0.10 × 10−6 | 15 ± 7 | 1.23 ± 0.20 |
| PP-PCCF 40% wt. | 6.39 × 10−6 ± 0.10 × 10−6 | 35 ± 7 | 1.51 ± 0.20 |
| PP-PCPESF 10% wt. | 4.03 × 10−6 ± 0.05 × 10−6 | 2 ± 2 | 1.05 ± 0.10 |
| PP-PCPESF 30% wt. | 3.54 × 10−6 ± 0.05 × 10−6 | 7 ± 2 | 1.05 ± 0.10 |
| PP-PCPESF 40% wt. | 4.13 × 10−6 ± 0.05 × 10−6 | 8 ± 2 | 1.17 ± 0.10 |
| PP-PCPETF 10% wt. | 6.21 × 10−6 ± 0.10 × 10−6 | 3 ± 2.5 | 1,12 ± 0.15 |
| PP-PCPETF 30% wt. | 6.40 × 10−6 ± 0.10 × 10−6 | 3 ± 2.5 | 1.25 ± 0.15 |
| PP-PCPETF 40% wt. | 6.21 × 10−6 ± 0.10 × 10−6 | 2 ± 2.5 | 1.14 ± 0.15 |
| Source of Variance | Composite Material’s Behavior | Sum of Square (SS) | Degree of Freedom (df) | F Value | p-Value |
|---|---|---|---|---|---|
| Between groups | Melting point | 170.79 | 9 | 0.004 | 1 |
| Between groups | Crystallization temperature | 986.67 | 9 | 0.060 | 0.999 |
| Between groups | Degree of crystallinity | 205.37 | 9 | 1.298 | 0.262 |
| Between groups | Degradation temperature | 3057.08 | 9 | 0.01 | 1 |
| Between groups | Arithmetic average surface roughness value | 34.70 | 9 | 0.770 | 0.644 |
| Between groups | Tensile strength | 330.15 | 9 | 0.50 | 0.869 |
| Between groups | Modulus of elasticity | 14,203,574.67 | 9 | 3.410 | 0.002 |
| Between groups | Tensile strain | 276.95 | 9 | 6.51 | 0.000004 |
| Between groups | Flexural strength | 1251.4 | 9 | 0.51 | 0.860 |
| Between groups | Flexural constant | 15,374,265.15 | 9 | 2.035 | 0.054 |
| Between groups | Flexural strain | 226.04 | 9 | 2.891 | 0.008 |
| Between groups | Impact energy | 20.545 | 9 | 0.823 | 0.60 |
| Between groups | Abrasive wear | 13.75 | 9 | 0.238 | 0.987 |
| Between groups | COF | 17.318 | 9 | 0.428 | 0.914 |
| Between groups | Erosive wear | 3733.504 | 9 | 11.80 | 1.07 × 10−9 |
Disclaimer/Publisher’s Note: The statements, opinions and data contained in all publications are solely those of the individual author(s) and contributor(s) and not of MDPI and/or the editor(s). MDPI and/or the editor(s) disclaim responsibility for any injury to people or property resulting from any ideas, methods, instructions or products referred to in the content. |
© 2023 by the authors. Licensee MDPI, Basel, Switzerland. This article is an open access article distributed under the terms and conditions of the Creative Commons Attribution (CC BY) license (https://creativecommons.org/licenses/by/4.0/).
Share and Cite
Hussain, A.; Podgursky, V.; Goljandin, D.; Antonov, M.; Sergejev, F.; Krasnou, I. Circular Production, Designing, and Mechanical Testing of Polypropylene-Based Reinforced Composite Materials: Statistical Analysis for Potential Automotive and Nuclear Applications. Polymers 2023, 15, 3410. https://doi.org/10.3390/polym15163410
Hussain A, Podgursky V, Goljandin D, Antonov M, Sergejev F, Krasnou I. Circular Production, Designing, and Mechanical Testing of Polypropylene-Based Reinforced Composite Materials: Statistical Analysis for Potential Automotive and Nuclear Applications. Polymers. 2023; 15(16):3410. https://doi.org/10.3390/polym15163410
Chicago/Turabian StyleHussain, Abrar, Vitali Podgursky, Dmitri Goljandin, Maksim Antonov, Fjodor Sergejev, and Illia Krasnou. 2023. "Circular Production, Designing, and Mechanical Testing of Polypropylene-Based Reinforced Composite Materials: Statistical Analysis for Potential Automotive and Nuclear Applications" Polymers 15, no. 16: 3410. https://doi.org/10.3390/polym15163410
APA StyleHussain, A., Podgursky, V., Goljandin, D., Antonov, M., Sergejev, F., & Krasnou, I. (2023). Circular Production, Designing, and Mechanical Testing of Polypropylene-Based Reinforced Composite Materials: Statistical Analysis for Potential Automotive and Nuclear Applications. Polymers, 15(16), 3410. https://doi.org/10.3390/polym15163410

