Investigating the Mechanical Properties of Annealed 3D-Printed PLA–Date Pits Composite
Abstract
1. Introduction
2. Experimental Work Description
2.1. Composite Specimens Preparation
2.2. Characterization and Testing
2.3. Finite Element Analysis (FEA)
2.4. Adaptive Neuro-Fuzzy Inference System (ANFIS)
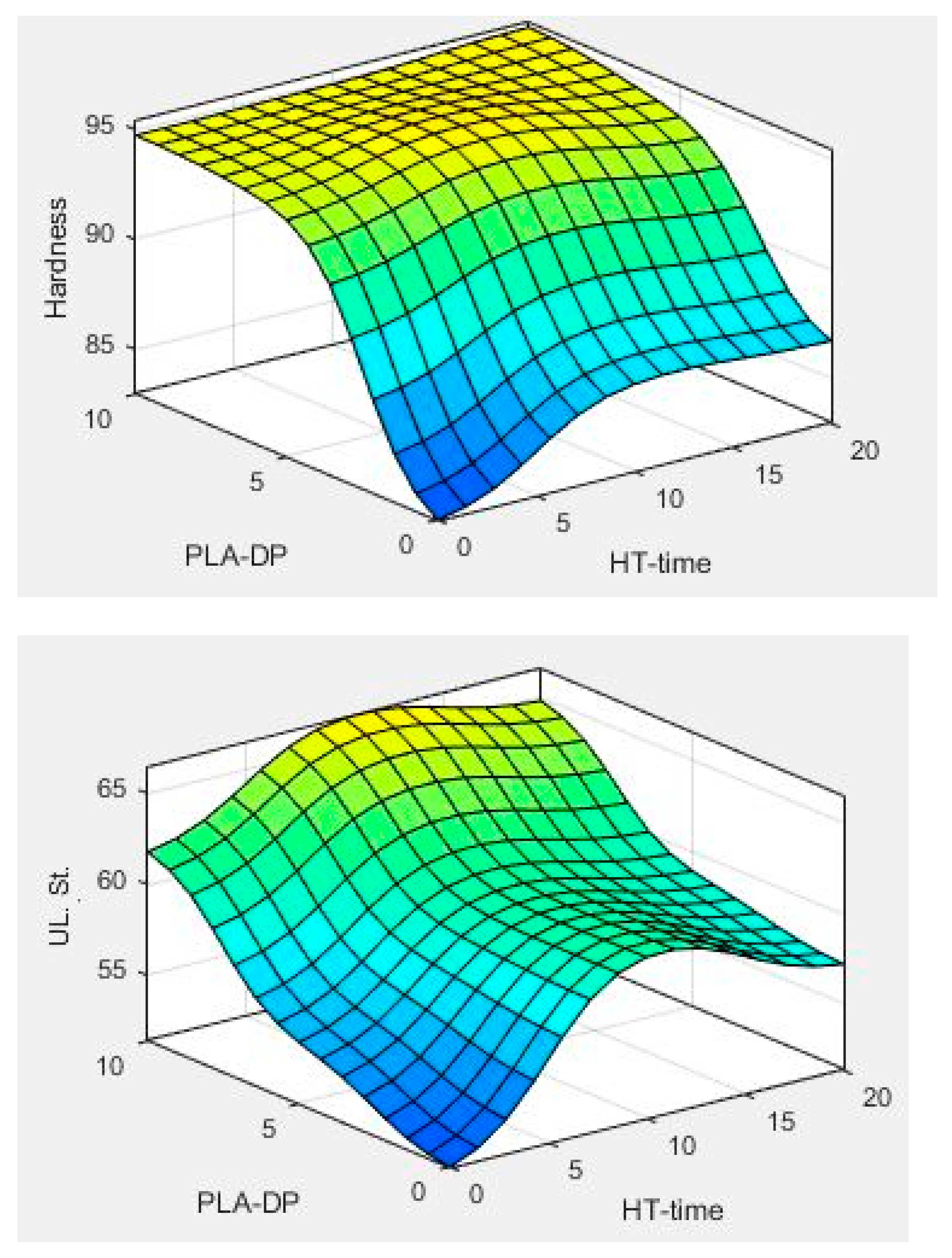
3. Results and Discussion
4. Conclusions
Author Contributions
Funding
Institutional Review Board Statement
Data Availability Statement
Acknowledgments
Conflicts of Interest
References
- Atia, M.G.; Salah, O. Fuzzy logic with load compensation for upper limb exoskeleton control based on IMU data fusion. In Proceedings of the 2018 IEEE International Conference on Robotics and Biomimetics (ROBIO), Kuala Lumpur, Malaysia, 12–15 December 2018; pp. 2147–2152. [Google Scholar]
- Chew, K.T.L.; Lew, H.L.; Date, E.; Fredericson, M. Current Evidence and Clinical Applications of Therapeutic Knee Braces. Am. J. Phys. Med. Rehabil. 2007, 86, 678. [Google Scholar] [CrossRef] [PubMed]
- Dutta, A.S. Applications of Polymeric Green Composites in the Biomedical Field: A Review. In Advances in Diverse Applications of Polymer Composites: Synthesis, Application, and Characterization; CRC Press: Boca Raton, FL, USA, 2023; pp. 1–28. [Google Scholar]
- Fouly, A.; Nasr, M.N.; Fath El Bab, A.M.; Abouelsoud, A.A. Design and modeling of micro tactile sensor with three contact tips for self-compensation of contact error in soft tissue elasticity measurement. IEEJ Trans. Electr. Electron. Eng. 2015, 10, S144–S150. [Google Scholar] [CrossRef]
- Khalil, H.A.; Yahya, E.B.; Jummaat, F.; Adnan, A.S.; Olaiya, N.G.; Rizal, S.; Abdullah, C.K.; Pasquini, D.; Thomas, S. Biopolymers based aerogels: A review on revolutionary solutions for smart therapeutics delivery. Prog. Mater. Sci. 2022, 131, 101014. [Google Scholar] [CrossRef]
- Premkumar, J.; SonicaSree, K.; Sudhakar, T. Polymers in Biomedical Use. In Handbook of Polymer and Ceramic Nanotechnology; Springer: Berlin/Heidelberg, Germany, 2021; pp. 1329–1355. [Google Scholar]
- Farré-Guasch, E.; Wolff, J.; Helder, M.N.; Schulten, E.A.; Forouzanfar, T.; Klein-Nulend, J. Application of additive manufacturing in oral and maxillofacial surgery. J. Oral Maxillofac. Surg. 2015, 73, 2408–2418. [Google Scholar] [CrossRef]
- Radenkovic, D.; Solouk, A.; Seifalian, A. Personalized development of human organs using 3D printing technology. Med. Hypotheses 2016, 87, 30–33. [Google Scholar] [CrossRef]
- Mannoor, M.S.; Jiang, Z.; James, T.; Kong, Y.L.; Malatesta, K.A.; Soboyejo, W.O.; Verma, N.; Gracias, D.H.; McAlpine, M.C. 3D printed bionic ears. Nano Lett. 2013, 13, 2634–2639. [Google Scholar] [CrossRef] [PubMed]
- Murr, L.E.; Gaytan, S.M.; Medina, F.; Lopez, H.; Martinez, E.; Machado, B.I.; Hernandez, D.H.; Martinez, L.; Lopez, M.I.; Wicker, R.B. Next-generation biomedical implants using additive manufacturing of complex, cellular and functional mesh arrays. Philos. Trans. R. Soc. Math. Phys. Eng. Sci. 2010, 368, 1999–2032. [Google Scholar] [CrossRef]
- De França, J.O.C.; da Silva Valadares, D.; Paiva, M.F.; Dias, S.C.L.; Dias, J.A. Polymers Based on PLA from Synthesis Using D, L-Lactic Acid (or Racemic Lactide) and Some Biomedical Applications: A Short Review. Polymers 2022, 14, 2317. [Google Scholar] [CrossRef]
- Grosso, P.; Cejudo, C.; Sánchez-Gomar, I.; Durán-Ruiz, M.C.; Moreno-Luna, R.; Casas, L.; Pereyra, C.; Mantell, C. Supercritical Impregnation of Mango Leaf Extract into PLA 3D-Printed Devices and Evaluation of Their Biocompatibility with Endothelial Cell Cultures. Polymers 2022, 14, 2706. [Google Scholar] [CrossRef]
- Bajpai, P.K.; Singh, I.; Madaan, J. Joining of natural fiber reinforced composites using microwave energy: Experimental and finite element study. Mater. Des. 2012, 35, 596–602. [Google Scholar] [CrossRef]
- Liu, Z.; Lei, Q.; Xing, S. Mechanical characteristics of wood, ceramic, metal and carbon fiber-based PLA composites fabricated by FDM. J. Mater. Res. Technol. 2019, 8, 3741–3751. [Google Scholar] [CrossRef]
- Tisserat, B.; Liu, Z.; Finkenstadt, V.; Lewandowski, B.; Ott, S.; Reifschneider, L. 3D printing biocomposites. J. Plast. Res. Online 2015 Soc. Plast. Eng. 2015, 1–3. [Google Scholar] [CrossRef]
- Kariz, M.; Sernek, M.; Obućina, M.; Kuzman, M.K. Effect of wood content in FDM filament on properties of 3D printed parts. Mater. Today Commun. 2018, 14, 135–140. [Google Scholar] [CrossRef]
- Liu, L.; Lin, M.; Xu, Z.; Lin, M. Polylactic acid-based wood-plastic 3D printing composite and its properties. BioResources 2019, 14, 8484–8498. [Google Scholar] [CrossRef]
- Fouly, A.; Alnaser, I.A.; Assaifan, A.K.; Abdo, H.S. Evaluating the Performance of 3D-Printed PLA Reinforced with Date Pit Particles for Its Suitability as an Acetabular Liner in Artificial Hip Joints. Polymers 2022, 14, 3321. [Google Scholar] [CrossRef]
- Leite, M.; Varanda, A.; Ribeiro, A.R.; Silva, A.; Vaz, M.F. Mechanical properties and water absorption of surface modified ABS 3D printed by fused deposition modelling. Rapid Prototyp. J. 2018, 24, 195–203. [Google Scholar] [CrossRef]
- Bellehumeur, C.; Li, L.; Sun, Q.; Gu, P. Modeling of bond formation between polymer filaments in the fused deposition modeling process. J. Manuf. Process. 2004, 6, 170–178. [Google Scholar] [CrossRef]
- Srithep, Y.; Nealey, P.; Turng, L.-S. Effects of annealing time and temperature on the crystallinity and heat resistance behavior of injection-molded poly (lactic acid). Polym. Eng. Sci. 2013, 53, 580–588. [Google Scholar] [CrossRef]
- Bhandari, S.; Lopez-Anido, R.A.; Gardner, D.J. Enhancing the interlayer tensile strength of 3D printed short carbon fiber reinforced PETG and PLA composites via annealing. Addit. Manuf. 2019, 30, 100922. [Google Scholar] [CrossRef]
- Jayanth, N.; Jaswanthraj, K.; Sandeep, S.; Mallaya, N.H.; Siddharth, S.R. Effect of heat treatment on mechanical properties of 3D printed PLA. J. Mech. Behav. Biomed. Mater. 2021, 123, 104764. [Google Scholar] [CrossRef]
- Rajpurohit, S.R.; Dave, H.K. Prediction and optimization of tensile strength in FDM based 3D printing using ANFIS. In Optimization of Manufacturing Processes; Springer: Berlin/Heidelberg, Germany, 2020; pp. 111–128. [Google Scholar]
- Vijayakumar, S.; Karunamoorthy, L. Modelling wear behaviour of Al–SiC metal matrix composites: Soft computing technique. Tribol.-Mater. Surf. Interfaces 2012, 6, 25–30. [Google Scholar] [CrossRef]
- Asker, A.; Salah, O.; El-Bab, A.M.F.; Ramadan, A.A.; Assal, S.M.; Sessa, S.; Abo-Ismail, A. Anfis based jacobian for a parallel manipulator mobility assistive device. In Proceedings of the 2014 UKACC International Conference On Control (CONTROL), Loughborough, UK, 9–11 July 2014; pp. 395–400. [Google Scholar]
- Savkovic, B.; Kovac, P.; Dudic, B.; Rodic, D.; Taric, M.; Gregus, M. Application of an adaptive “neuro-fuzzy” inference system in modeling cutting temperature during hard turning. Appl. Sci. 2019, 9, 3739. [Google Scholar] [CrossRef]
- Ibrahim, M.A.; Şahin, Y.; Ibrahim, A.; Gidado, A.Y.; Yahya, M.N. Specific Wear Rate Modeling of Polytetraflouroethylene Composites Via Artificial Neural Network (ANN) and Adaptive Neuro Fuzzy Inference System (ANFIS) Tools. In Virtual Assistant; IntechOpen: Rijeka, Croatia, 2021. [Google Scholar]
- Ahmad, A.; Imtiaz, H. Chemical composition of date pits: Potential to extract and characterize the lipid fraction. In Sustainable Agriculture Reviews 34; Springer: Berlin/Heidelberg, Germany, 2019; pp. 55–77. [Google Scholar]
- Zhao, H.; Allanson, D.; Ren, X.J. Use of shore hardness tests for in-process properties estimation/monitoring of silicone rubbers. J. Mater. Sci. Chem. Eng. 2015, 3, 142–147. [Google Scholar] [CrossRef]
- ISO/DIS 14126; Fibre-Reinforced Plastic Composites—Determination of Compressive Properties in the In-Plane Direction. ISO: Geneva, Switzerland, 2023. Available online: https://www.iso.org/standard/80371.html (accessed on 14 January 2023).
- Kuminek, T.; Aniołek, K.; Młyńczak, J. A numerical analysis of the contact stress distribution and physical modelling of abrasive wear in the tram wheel-frog system. Wear 2015, 328, 177–185. [Google Scholar] [CrossRef]
- Hendricks, A.; Nevin, S.; Wikoff, C.; Dougherty, M.; Orlita, J.; Noorani, R. The low-cost design and 3D printing of structural knee orthotics for athletic knee injury patients. Int. J. Biomed. Biol. Eng. 2018, 12, 445–451. [Google Scholar]
- Rajkumar, K.; Sirisha, P.; Sankar, M.R. Tribomechanical and surface topographical investigations of poly methyl methacrylate-seashell particle based biocomposite. Procedia Mater. Sci. 2014, 5, 1248–1257. [Google Scholar] [CrossRef]
- Yang, K.; Ritchie, R.O.; Gu, Y.; Wu, S.J.; Guan, J. High volume-fraction silk fabric reinforcements can improve the key mechanical properties of epoxy resin composites. Mater. Des. 2016, 108, 470–478. [Google Scholar] [CrossRef]
- Simmons, H.; Tiwary, P.; Colwell, J.E.; Kontopoulou, M. Improvements in the crystallinity and mechanical properties of PLA by nucleation and annealing. Polym. Degrad. Stab. 2019, 166, 248–257. [Google Scholar] [CrossRef]
- Shbanah, M.; Jordanov, M.; Nyikes, Z.; Tóth, L.; Kovács, T.A. The Effect of Heat Treatment on a 3D-Printed PLA Polymer’s Mechanical Properties. Polymers 2023, 15, 1587. [Google Scholar] [CrossRef]














| Sample Denotation | Heat Treatment Duration Time (Hours) | ||||
|---|---|---|---|---|---|
| PLA-DP-0 | PLA-DP-2.5 | PLA-DP-5 | PLA-DP-10 | PLA-DP-20 | |
| PLA-DP0 | 0 wt.% | 0 wt.% | 0 wt.% | 0 wt.% | 0 wt.% |
| 0 h | 2.5 h | 5 h | 10 h | 20 h | |
| PLA-DP2 | 2 wt.% | 2 wt.% | 2 wt.% | 2 wt.% | 2 wt.% |
| 0 h | 2.5 h | 5 h | 10 h | 20 h | |
| PLA-DP4 | 4 wt.% | 4 wt.% | 4 wt.% | 4 wt.% | 4 wt.% |
| 0 h | 2.5 h | 5 h | 10 h | 20 h | |
| PLA-DP6 | 6 wt.% | 6 wt.% | 6 wt.% | 6 wt.% | 6 wt.% |
| 0 h | 2.5 h | 5 h | 10 h | 20 h | |
| PLA-DP8 | 8 wt.% | 8 wt.% | 8 wt.% | 8 wt.% | 8 wt.% |
| 0 h | 2.5 h | 5 h | 10 h | 20 h | |
| PLA-DP10 | 10 wt.% | 10 wt.% | 10 wt.% | 10 wt.% | 10 wt.% |
| 0 h | 2.5 h | 5 h | 10 h | 20 h | |
Disclaimer/Publisher’s Note: The statements, opinions and data contained in all publications are solely those of the individual author(s) and contributor(s) and not of MDPI and/or the editor(s). MDPI and/or the editor(s) disclaim responsibility for any injury to people or property resulting from any ideas, methods, instructions or products referred to in the content. |
© 2023 by the authors. Licensee MDPI, Basel, Switzerland. This article is an open access article distributed under the terms and conditions of the Creative Commons Attribution (CC BY) license (https://creativecommons.org/licenses/by/4.0/).
Share and Cite
Fouly, A.; Albahkali, T.; Abdo, H.S.; Salah, O. Investigating the Mechanical Properties of Annealed 3D-Printed PLA–Date Pits Composite. Polymers 2023, 15, 3395. https://doi.org/10.3390/polym15163395
Fouly A, Albahkali T, Abdo HS, Salah O. Investigating the Mechanical Properties of Annealed 3D-Printed PLA–Date Pits Composite. Polymers. 2023; 15(16):3395. https://doi.org/10.3390/polym15163395
Chicago/Turabian StyleFouly, Ahmed, Thamer Albahkali, Hany S. Abdo, and Omar Salah. 2023. "Investigating the Mechanical Properties of Annealed 3D-Printed PLA–Date Pits Composite" Polymers 15, no. 16: 3395. https://doi.org/10.3390/polym15163395
APA StyleFouly, A., Albahkali, T., Abdo, H. S., & Salah, O. (2023). Investigating the Mechanical Properties of Annealed 3D-Printed PLA–Date Pits Composite. Polymers, 15(16), 3395. https://doi.org/10.3390/polym15163395

