Transport of Organic Contaminants in Composite Vertical Cut-Off Wall with Defective HDPE Geomembrane
Abstract
1. Introduction
2. Calculation Model
2.1. Geometric Model
2.2. Basic Assumptions
2.3. Governing Equations and Auxiliary Conditions
3. Model Solving and Verification
3.1. Analytical Solution
3.2. Comparison with Numerical Method
4. Analysis of Parameter
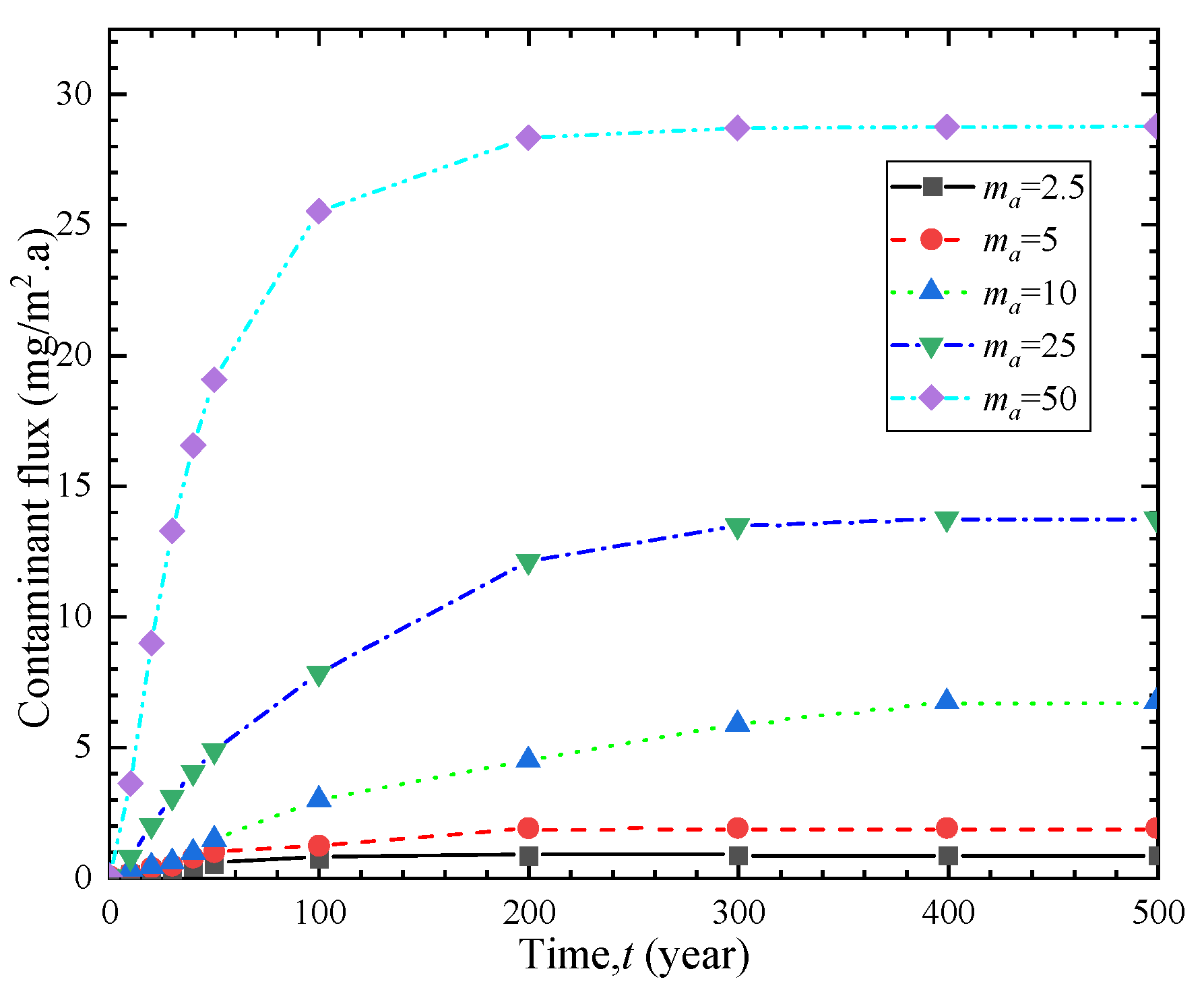
4.1. Influence of Holes
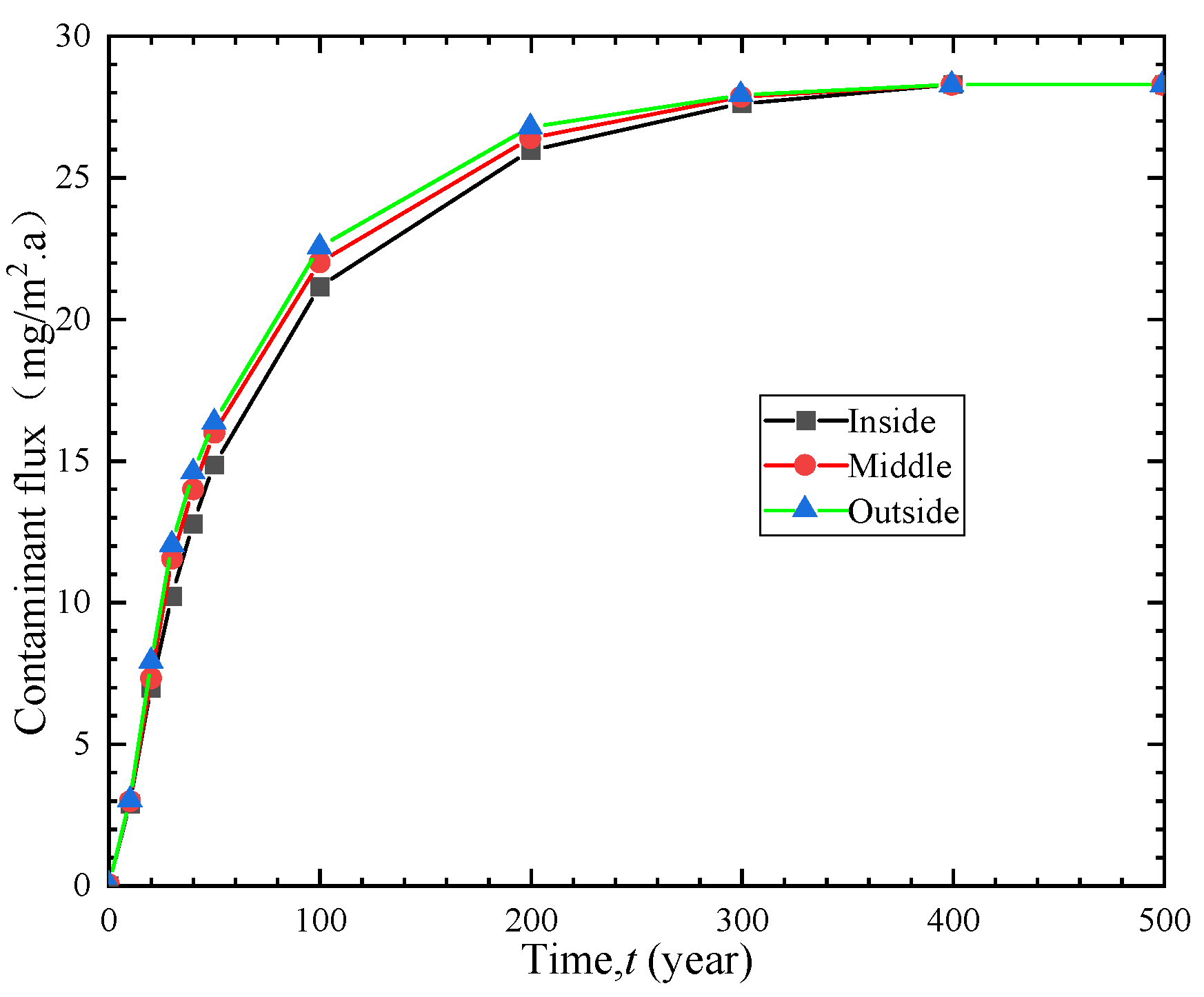
4.2. Influence of Interface Transmissivity
4.3. Influence of GM Location
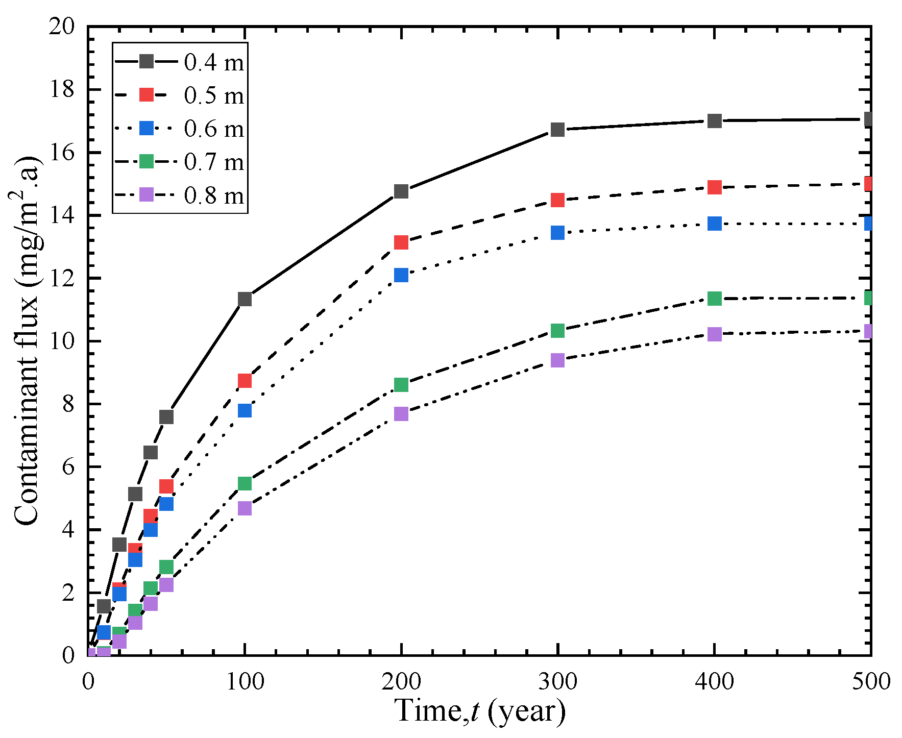
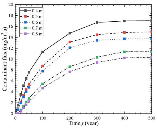
4.4. Influence of Soil-Bentonite Barrier Thickness
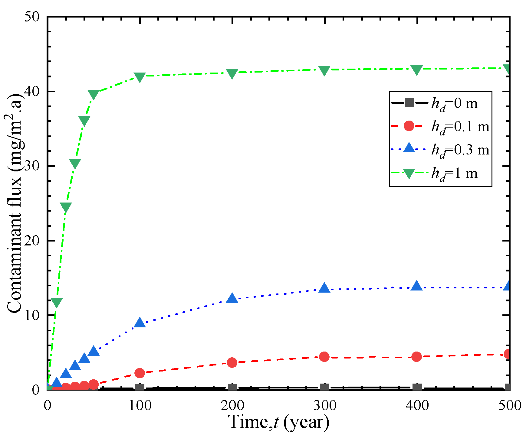
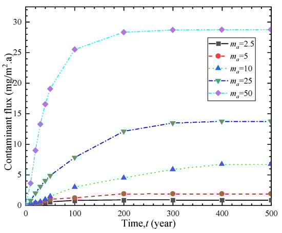
4.5. Influence of Leachate Heads
5. Conclusions
Author Contributions
Funding
Institutional Review Board Statement
Data Availability Statement
Conflicts of Interest
References
- Qiu, J.; He, Y.; Song, D.; Tong, J. Analytical solution for solute transport in a triple liner under non-isothermal conditions. Geosynth. Int. 2022, 1–18. [Google Scholar] [CrossRef]
- Zheng, Z.; Zhu, Y.; Wang, Q.; Xie, H.; Chen, Y. A semi-analytical model for analyzing the transport of organic pollutants through the geomembrane composite cut-off wall and aquifer system. Rock Soil Mech. 2022, 43, 453–465. [Google Scholar]
- Eun, J.; Tinjum, J.M.; Benson, C.H.; Edil, T.B. Comparison of volatile organic compound transport in composite liners with HDPE and ethylene-vinyl alcohol co-extruded geomembranes. J. Geotech. Geoenviron. Eng. 2017, 143, 04017010. [Google Scholar] [CrossRef]
- Thomas, R.W.; Koerner, R.M. Advances in HDPE barrier walls. Geotext. Geomembr. 1996, 14, 393–408. [Google Scholar] [CrossRef]
- Hendry, M.J.; Barbour, S.L.; Boldt-Leppin, B.E.J.; Reifferscheid, L.J.; Wassenaar, L.I. A comparision of laboratory and field based determinations of molecular diffusion coefficients in a low permeability geologic medium. Environ. Sci. Technol. 2009, 43, 6730–6736. [Google Scholar] [CrossRef]
- Pu, H.F.; Qiu, J.W.; Zhang, R.J.; Zheng, J.J. Analytical solutions for organic contaminant diffusion in triple-layer composite liner system considering the effect of degradation. Acta Geotech. 2020, 15, 907–921. [Google Scholar] [CrossRef]
- Wu, X.; Shi, J.; He, J. Analytical solutions for diffusion of organic contaminant through GCL triple-layer composite liner considering degradation in liner. Environ. Earth Ences 2016, 75, 1371. [Google Scholar] [CrossRef]
- Xie, H.; Lou, Z.; Chen, Y.; Jin, A.; Zhan, T.L.; Tang, X. An analytical solution to organic contaminant diffusion through composite liners considering the effect of degradation. Geotext. Geomembr. 2013, 36, 10–18. [Google Scholar] [CrossRef]
- Xie, H.; Thomas, H.R.; Chen, Y.; Sedighi, M.; Zhan, T.L.; Tang, X. Diffusion of organic contaminants in triple-layer composite liners: An analytical modeling approach. Acta Geotech. 2015, 10, 255–262. [Google Scholar] [CrossRef]
- Peng, M.Q.; Feng, S.J.; Chen, H.X.; Chen, Z.L. An analytical solution for organic pollutant diffusion in a triple-layer composite liner considering the coupling influence of thermal diffusion. Comput. Geotech. 2021, 137, 104283. [Google Scholar] [CrossRef]
- Cao, B.Y.; Souza, L.; Wang, F.; Xu, J.; Litina, C.; Al-Tabbaa, A. The first microcapsule-based self-healing cement-bentonite cut-off wall materials. Geotechnique 2023, 73, 105–114. [Google Scholar] [CrossRef]
- Neville, C.J.; Andrews, C.B. Containment criterion for contaminant isolation by cutoff walls. Ground Water 2006, 44, 682–686. [Google Scholar] [CrossRef]
- Li, Y.C.; Chen, G.N.; Chen, Y.M.; Cleall, P.J. Design charts for contaminant transport through slurry trench cutoff walls. J. Environ. Eng. 2017, 143, 06017005. [Google Scholar] [CrossRef]
- Acar, Y.B.; Haider, L. Transport of low-concentration contaminants in saturated earthen barriers. J. Geotech. Eng.-Asce 1990, 116, 1031–1052. [Google Scholar] [CrossRef]
- Peng, C.H.; Feng, S.J.; Zheng, Q.T.; Ding, X.H.; Chen, Z.L.; Chen, H.X. A two-dimensional analytical solution for organic contaminant diffusion through a composite geomembrane cut-off wall and an aquifer. Comput. Geotech. 2020, 119, 103361. [Google Scholar] [CrossRef]
- Xie, H.J.; Wang, S.Y.; Chen, Y.; Jiang, J.Q.; Qiu, Z.H. An analytical model for contaminant transport in cut-off wall and aquifer system. Environ. Geotech. 2020, 7, 457–466. [Google Scholar] [CrossRef]
- Lee, T.; Benson, C.H. Flow past bench-scale vertical ground-water cutoff walls. J. Geotech. Geoenviron. Eng. 2000, 126, 511–520. [Google Scholar] [CrossRef]
- Barroso, M.; Touze-Foltz, N.; von Maubeuge, K.; Pierson, P. Laboratory investigation of flow rate through composite liners consisting of a geomembrane, a GCL and a soil liner. Geotext. Geomembr. 2006, 24, 139–155. [Google Scholar] [CrossRef]
- Philip, L.K. An investigation into contaminant transport processes through single-phase cement-bentonite slurry walls. Eng. Geol. 2001, 60, 209–221. [Google Scholar] [CrossRef]
- Zhang, W.J.; Qiu, Q.W. Analysis on contaminant migration through vertical barrier walls in a landfill in China. Environ. Earth Sci. 2010, 61, 847–852. [Google Scholar] [CrossRef]
- Shackelford, C.D.; Moore, S.M. Fickian diffusion of radionuclides for engineered containment barriers: Diffusion coefficients, porosities, and complicating issues. Eng. Geol. 2013, 152, 133–147. [Google Scholar] [CrossRef]
- Gillham, R.W.; Robin, M.J.L.; Dytynyshyn, D.J.; Johnston, H.M. Diffusion of nonreactive and reactive solutes through fine-grained barrier materials. Can. Geotech. J. 1984, 21, 541–550. [Google Scholar] [CrossRef]
- Zhan, L.T.; Zeng, X.; Li, Y.C.; Chen, Y.M. Analytical solution for one-dimensional diffusion of organic pollutants in a geomembrane-bentonite composite barrier and parametric analyses. J. Environ. Eng. 2014, 140, 57–68. [Google Scholar] [CrossRef]
- Wu, X.; Shi, J.; He, J. An analysis of organic contaminant diffusion through clay liner under the condition of transient temperature. Hydrogeol. Eng. Geol. 2014, 41, 120–124. [Google Scholar]
- Rowe, R.K. Short- and long-term leakage through composite liners. The 7th arthur casagrande lecture. Can. Geotech. J. 2012, 49, 141–169. [Google Scholar] [CrossRef]
- Rowe, R.K.; Chappel, M.J.; Brachman, R.W.I.; Take, W.A. Field study of wrinkles in a geomembrane at a composite liner test site. Can. Geotech. J. 2012, 49, 1196–1211. [Google Scholar] [CrossRef]
- Rowe, R.K.; Brachman, R.W.I. Assessment of equivalence of composite liners. Geosynth. Int. 2004, 11, 273–286. [Google Scholar] [CrossRef]
- Xie, H.J.; Zhang, C.H.; Feng, S.J.; Wang, Q.; Yan, H.X. Analytical model for degradable organic contaminant transport through a GMB/GCL/AL system. J. Environ. Eng. 2018, 144, 14. [Google Scholar] [CrossRef]
- Chappel, M.J.; Rowe, R.K.; Brachman, R.W.I.; Take, W.A. A comparison of geomembrane wrinkles for nine field cases. Geosynth. Int. 2012, 19, 453–469. [Google Scholar] [CrossRef]
- Visudmedanukul, P.; Kamon, M.; Katsumi, T. Chloride transport through cement-bentonite barriers. J. Geotech. Geoenviron. Eng. 2007, 133, 175–185. [Google Scholar] [CrossRef]
- Forget, B.; Rollin, A.L.; Jacquelin, T. Lessons learned from 10 years ofleak detection surveys on geomembranes. In Proceedings of the 10th International Waste Management and Landfill Symposium, Cagliari, Italy, 3–7 October 2005. [Google Scholar]











| Parameter | GM | Soil-Bentonite Barrier |
|---|---|---|
| Thickness, L (m) | 0.0015 | 0.6 |
| Porosity, n | / | 0.5 |
| Effective diffusion coefficient, D (m2/s) | 3.5 × 10−13 | 9.23 × 10−10 |
| Partition coefficient, Kg | 30 | / |
| Distribution coefficient, Kd (mL/g) | / | 1 |
| Hydraulic conductivity, k (m/s) | 1 × 10−12 | 1 × 10−10 |
| retardation factor Rd | / | 2.4 |
Disclaimer/Publisher’s Note: The statements, opinions and data contained in all publications are solely those of the individual author(s) and contributor(s) and not of MDPI and/or the editor(s). MDPI and/or the editor(s) disclaim responsibility for any injury to people or property resulting from any ideas, methods, instructions or products referred to in the content. |
© 2023 by the authors. Licensee MDPI, Basel, Switzerland. This article is an open access article distributed under the terms and conditions of the Creative Commons Attribution (CC BY) license (https://creativecommons.org/licenses/by/4.0/).
Share and Cite
Lin, H.; Huang, W.; Wang, L.; Liu, Z. Transport of Organic Contaminants in Composite Vertical Cut-Off Wall with Defective HDPE Geomembrane. Polymers 2023, 15, 3031. https://doi.org/10.3390/polym15143031
Lin H, Huang W, Wang L, Liu Z. Transport of Organic Contaminants in Composite Vertical Cut-Off Wall with Defective HDPE Geomembrane. Polymers. 2023; 15(14):3031. https://doi.org/10.3390/polym15143031
Chicago/Turabian StyleLin, Hai, Wenzhou Huang, Liangni Wang, and Zhanlei Liu. 2023. "Transport of Organic Contaminants in Composite Vertical Cut-Off Wall with Defective HDPE Geomembrane" Polymers 15, no. 14: 3031. https://doi.org/10.3390/polym15143031
APA StyleLin, H., Huang, W., Wang, L., & Liu, Z. (2023). Transport of Organic Contaminants in Composite Vertical Cut-Off Wall with Defective HDPE Geomembrane. Polymers, 15(14), 3031. https://doi.org/10.3390/polym15143031

