Studies on Polybenzimidazole and Methanesulfonate Protic-Ionic-Liquids-Based Composite Polymer Electrolyte Membranes
Abstract
1. Introduction
2. Materials and Methods
2.1. Materials
2.2. Methods
2.2.1. Synthesis of Methanesulfonic-Acid-Based Ionic Liquids
2.2.2. Polymer Electrolyte Membrane Fabrication
2.2.3. FTIR Spectroscopy
2.2.4. 1H and 13C NMR Analysis
2.2.5. Differential Scanning Calorimetry (DSC)
2.2.6. Thermogravimetric Analysis (TGA)
2.2.7. Scanning Electron Microscopy (SEM)
2.2.8. Electrochemical Impedance Spectroscopy (EIS)
3. Results and Discussion
3.1. FTIR Spectroscopy
3.2. 1H and 13C NMR Chemical Shifts
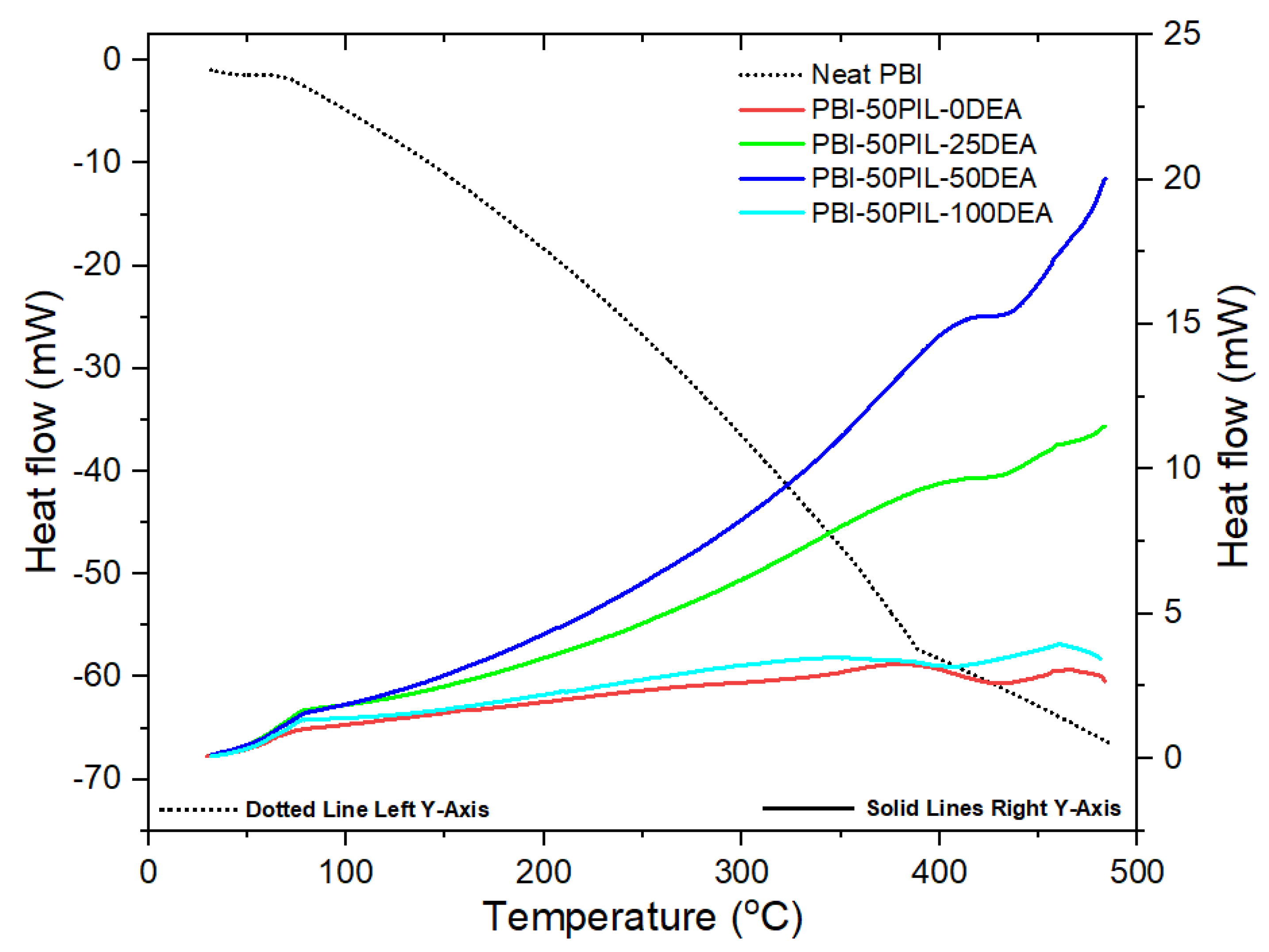
3.3. Thermal Behavior (DSC)
3.4. Thermogravimetric Analysis
3.5. Scanning Electron Microscopy
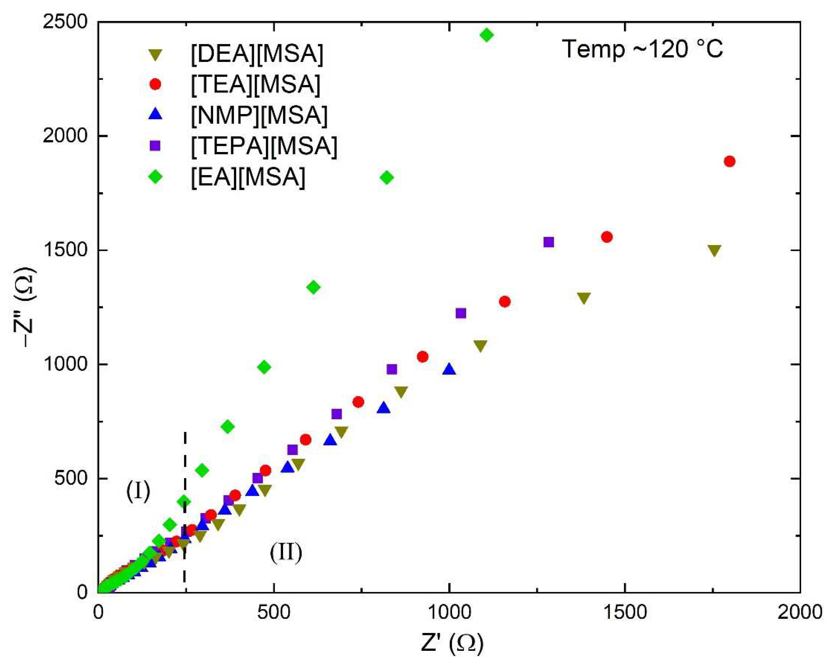
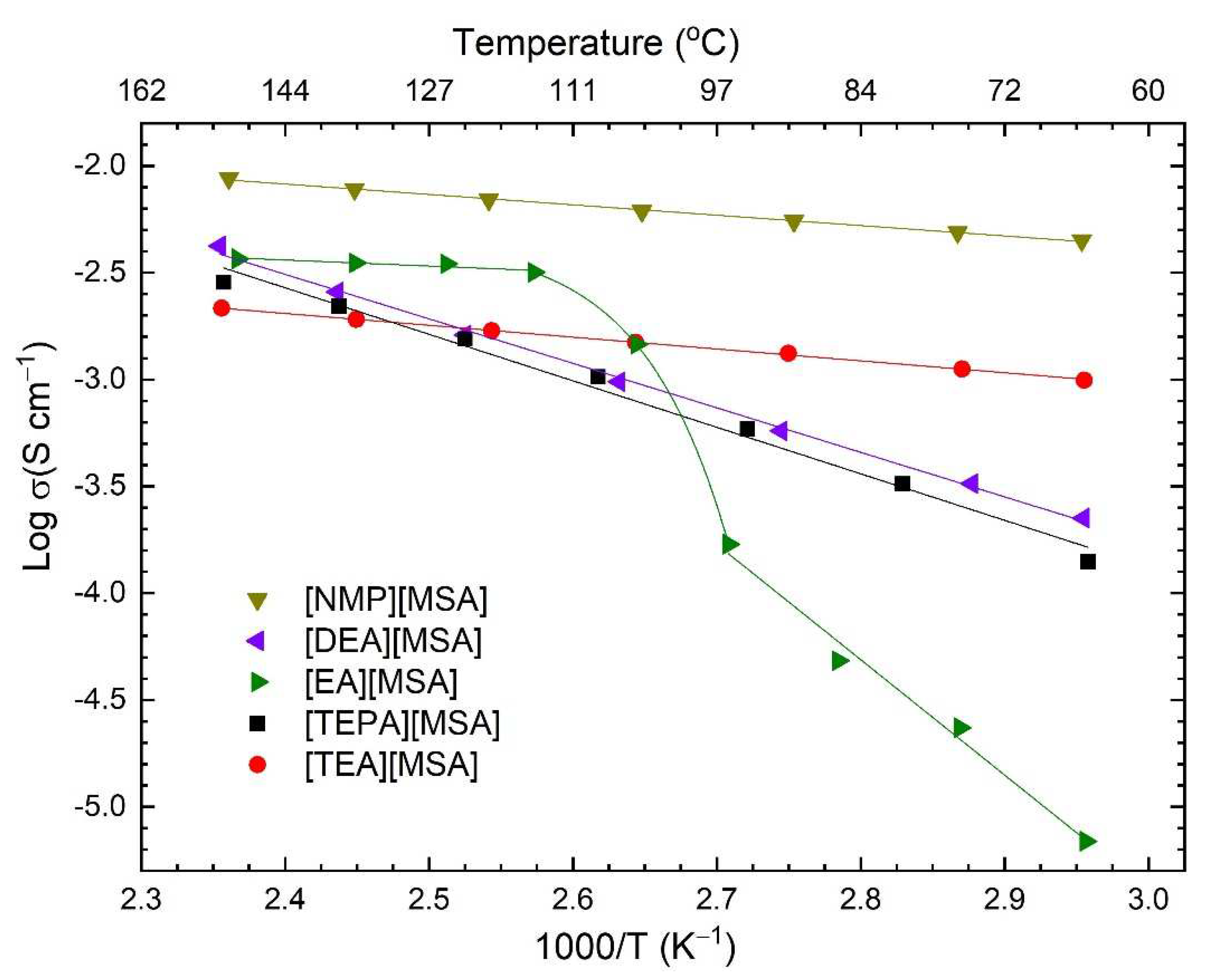
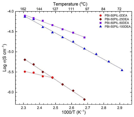
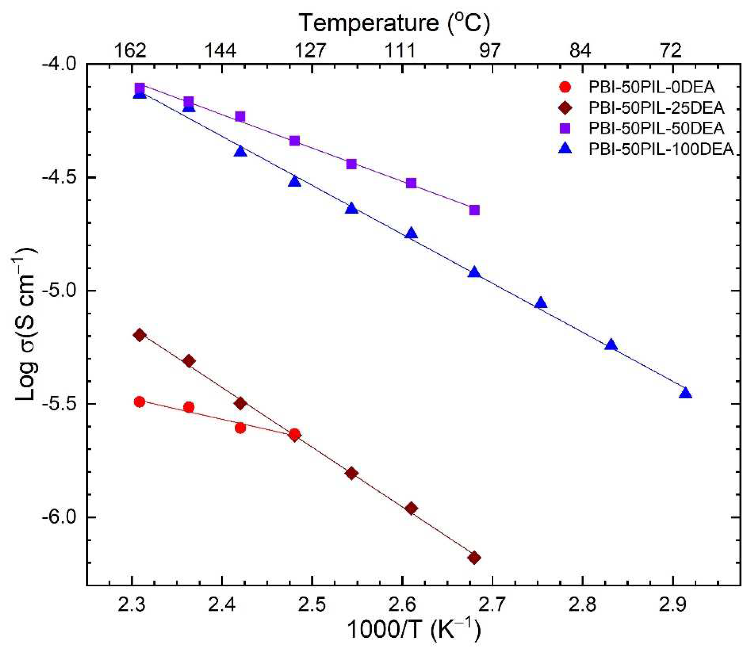
3.6. Electrical Transport Properties
4. Conclusions
Author Contributions
Funding
Institutional Review Board Statement
Informed Consent Statement
Data Availability Statement
Acknowledgments
Conflicts of Interest
References
- Scofield, M.E.; Liu, H.; Wong, S.S. A concise guide to sustainable PEMFCs: Recent advances in improving both oxygen reduction catalysts and proton exchange membranes. Chem. Soc. Rev. 2015, 44, 5836–5860. [Google Scholar] [CrossRef]
- Rath, R.; Kumar, P.; Unnikrishnan, L.; Mohanty, S.; Nayak, S.K. Current scenario of poly (2, 5-benzimidazole) (ABPBI) as prospective PEM for application in HT-PEMFC. Polym. Rev. 2020, 60, 267–317. [Google Scholar] [CrossRef]
- Sun, X.; Simonsen, S.C.; Norby, T.; Chatzitakis, A. Composite Membranes for High Temperature PEM Fuel Cells and Electrolysers: A Critical Review. Membranes 2019, 9, 83. [Google Scholar] [CrossRef]
- Zhou, Z.; Zholobko, O.; Wu, X.-F.; Aulich, T.; Thakare, J.; Hurley, J. Polybenzimidazole-Based Polymer Electrolyte Membranes for High-Temperature Fuel Cells: Current Status and Prospects. Energies 2021, 14, 135. [Google Scholar] [CrossRef]
- Escorihuela, J.; Olvera-Mancilla, J.; Alexandrova, L.; del Castillo, L.F.; Compañ, V. Recent Progress in the Development of Composite Membranes Based on Polybenzimidazole for High Temperature Proton Exchange Membrane (PEM) Fuel Cell Applications. Polymers 2020, 12, 1861. [Google Scholar] [CrossRef]
- Vinodh, R.; Atchudan, R.; Kim, H.-J.; Yi, M. Recent Advancements in Polysulfone Based Membranes for Fuel Cell (PEMFCs, DMFCs and AMFCs) Applications: A Critical Review. Polymers 2022, 14, 300. [Google Scholar] [CrossRef]
- Alashkar, A.; Al-Othman, A.; Tawalbeh, M.; Qasim, M. A Critical Review on the Use of Ionic Liquids in Proton Exchange Membrane Fuel Cells. Membranes 2022, 12, 178. [Google Scholar] [CrossRef]
- Ebrahimi, M.; Kujawski, W.; Fatyeyeva, K.; Kujawa, J. A Review on Ionic Liquids-Based Membranes for Middle and High Temperature Polymer Electrolyte Membrane Fuel Cells (PEM FCs). Int. J. Mol. Sci. 2021, 22, 5430. [Google Scholar] [CrossRef]
- Covington, A.K.; Thompson, R. Ionization of moderately strong acids in aqueous solution. Part III. Methane-, ethane-, and propanesulfonic acids at 25 °C. J. Solut. Chem. 1974, 3, 603–617. [Google Scholar] [CrossRef]
- Gernon, M. Environmental benefits of methanesulfonic acid. Comparative properties and advantages. Green Chem. 1999, 1, 127–140. [Google Scholar] [CrossRef]
- Nakamoto, H.; Watanabe, M. Brønsted acid–base ionic liquids for fuel cell electrolytes. Chem. Commun. 2007, 24, 2539–2541. [Google Scholar] [CrossRef]
- Yasuda, T.; Ogawa, A.; Kanno, M.; Mori, K.; Sakakibara, K.; Watanabe, M. Hydrophobic protic ionic liquid for nonhumidified intermediate-temperature fuel cells. Chem. Lett. 2009, 38, 692–693. [Google Scholar] [CrossRef]
- Kreuer, K.; Fuchs, A.; Ise, M.; Spaeth, M.; Maier, J. Imidazole and pyrazole-based proton conducting polymers and liquids. Electrochim. Acta 1998, 43, 1281–1288. [Google Scholar] [CrossRef]
- Anis, A.; Alam, M.; Alhamidi, A.; Alam, M.A.; Gupta, R.K.; Tariq, M.; Shaikh, H.; Poulose, A.M.; Al-Zahrani, S.M. Characterization of Thermal, Ionic Conductivity and Electrochemical Properties of Some p-Tosylate Anions-Based Protic Ionic Compounds. Crystals 2022, 12, 507. [Google Scholar] [CrossRef]
- Chen, B.-K.; Wong, J.-M.; Wu, T.-Y.; Chen, L.-C.; Shih, I.-C. Improving the conductivity of sulfonated polyimides as proton exchange membranes by doping of a protic ionic liquid. Polymers 2014, 6, 2720–2736. [Google Scholar] [CrossRef]
- Zhong, L.; Parker, S.F. Structure and vibrational spectroscopy of methanesulfonic acid. R. Soc. Open Sci. 2018, 5, 181363. [Google Scholar] [CrossRef]
- Lee, J.-K.; Lee, J.-S.; Ahn, Y.-S.; Kang, G.-H. Restoring the reactivity of organic acid solution used for silver recovery from solar cells by fractional distillation. Sustainability 2019, 11, 3659. [Google Scholar] [CrossRef]
- Nandiyanto, A.B.D.; Oktiani, R.; Ragadhita, R. How to Read and Interpret FTIR Spectroscope of Organic Material. Indones. J. Sci. Technol. 2019, 4, 97–118. [Google Scholar] [CrossRef]
- Asensio, J.A.; Borrós, S.; Gómez-Romero, P. Proton-conducting polymers based on benzimidazoles and sulfonated benzimidazoles. J. Polym. Sci. Part A Polym. Chem. 2002, 40, 3703–3710. [Google Scholar] [CrossRef]
- Jheng, L.-C.; Cheng, C.-W.; Ho, K.-S.; Hsu, S.L.-C.; Hsu, C.-Y.; Lin, B.-Y.; Ho, T.-H. Dimethylimidazolium-Functionalized Polybenzimidazole and Its Organic–Inorganic Hybrid Membranes for Anion Exchange Membrane Fuel Cells. Polymers 2021, 13, 2864. [Google Scholar] [CrossRef]
- Musto, P.; Karasz, F.E.; MacKnight, W.J. Fourier transform infra-red spectroscopy on the thermo-oxidative degradation of polybenzimidazole and of a polybenzimidazole/polyetherimide blend. Polymer 1993, 34, 2934–2945. [Google Scholar] [CrossRef]
- Esperança, J.M.; Tariq, M.; Pereiro, A.B.; Araújo, J.M.; Seddon, K.R.; Rebelo, L.P.N. Anomalous and Not-So-Common Behaviour in Common Ionic Liquids an sion coefficient (α), Viscosity, Surface Tension, odd-even effects, Reversed Charge ILs, LCST. Front. Chem. 2019, 7, 450. [Google Scholar] [CrossRef]
- Paulechka, Y.; Blokhin, A.; Kabo, G.; Strechan, A. Thermodynamic properties and polymorphism of 1-alkyl-3-methylimidazolium bis (triflamides). J. Chem. Thermodyn. 2007, 39, 866–877. [Google Scholar] [CrossRef]
- Binnemans, K. Ionic Liquid Crystals. Chem. Rev. 2005, 105, 4148–4204. [Google Scholar] [CrossRef]
- Valderrama, J.O.; Campusano, R.A.; Rojas, R.E. Glass transition temperature of ionic liquids using molecular descriptors and artificial neural networks. Comptes Rendus Chim. 2017, 20, 573–584. [Google Scholar] [CrossRef]
- Tao, R.; Gurung, E.; Cetin, M.M.; Mayer, M.F.; Quitevis, E.L.; Simon, S.L. Fragility of ionic liquids measured by Flash differential scanning calorimetry. Thermochim. Acta 2017, 654, 121–129. [Google Scholar] [CrossRef]
- Belieres, J.-P.; Angell, C.A. Protic ionic liquids: Preparation, characterization, and proton free energy level representation. J. Phys. Chem. B 2007, 111, 4926–4937. [Google Scholar] [CrossRef]
- Burrell, G.L.; Burgar, I.M.; Separovic, F.; Dunlop, N.F. Preparation of protic ionic liquids with minimal water content and 15N NMR study of proton transfer. Phys. Chem. Chem. Phys. 2010, 12, 1571–1577. [Google Scholar] [CrossRef]
- Iojoiu, C.; Martinez, M.; Hanna, M.; Molmeret, Y.; Cointeaux, L.; Leprêtre, J.C.; Kissi, N.E.; Guindet, J.; Judeinstein, P.; Sanchez, J.Y. PILs-based Nafion membranes: A route to high-temperature PEFMCs dedicated to electric and hybrid vehicles. Polym. Adv. Technol. 2008, 19, 1406–1414. [Google Scholar] [CrossRef]
- Shmukler, L.; Gruzdev, M.; Kudryakova, N.; Fadeeva, Y.A.; Kolker, A.; Safonova, L. Triethylammonium-based protic ionic liquids with sulfonic acids: Phase behavior and electrochemistry. J. Mol. Liq. 2018, 266, 139–146. [Google Scholar] [CrossRef]
- Martinez, M.; Molmeret, Y.; Cointeaux, L.; Iojoiu, C.; Leprêtre, J.-C.; El Kissi, N.; Judeinstein, P.; Sanchez, J.-Y. Proton-conducting ionic liquid-based Proton Exchange Membrane Fuel Cell membranes: The key role of ionomer–ionic liquid interaction. J. Power Sources 2010, 195, 5829–5839. [Google Scholar] [CrossRef]
- Lebga-Nebane, J.L.; Rock, S.E.; Franclemont, J.; Roy, D.; Krishnan, S. Thermophysical properties and proton transport mechanisms of trialkylammonium and 1-alkyl-1 H-imidazol-3-ium protic ionic liquids. Ind. Eng. Chem. Res. 2012, 51, 14084–14098. [Google Scholar] [CrossRef]
- Golding, J.; Forsyth, S.; Macfarlane, D.R.; Forsyth, M.; Deacon, G. Methanesulfonate and p-toluenesulfonate salts of the N-methyl-N-alkylpyrrolidinium and quaternary ammonium cations: Novel low cost ionic liquids. Green Chem. 2002, 4, 223–229. [Google Scholar] [CrossRef]
- Rewar, A.S.; Chaudhari, H.D.; Illathvalappil, R.; Sreekumar, K.; Kharul, U.K. New approach of blending polymeric ionic liquid with polybenzimidazole (PBI) for enhancing physical and electrochemical properties. J. Mater. Chem. A 2014, 2, 14449–14458. [Google Scholar] [CrossRef]
- Pu, H. Studies on polybenzimidazole/poly (4-vinylpyridine) blends and their proton conductivity after doping with acid. Polym. Int. 2003, 52, 1540–1545. [Google Scholar] [CrossRef]
- Escorihuela, J.; García-Bernabé, A.; Montero, Á.; Sahuquillo, Ó.; Giménez, E.; Compañ, V. Ionic Liquid Composite Polybenzimidazol Membranes for High Temperature PEMFC Applications. Polymers 2019, 11, 732. [Google Scholar] [CrossRef]
- Ganapatibhotla, L.V.; Wu, L.; Zheng, J.; Jia, X.; Roy, D.; McLaughlin, J.B.; Krishnan, S. Ionic liquids with fluorinated block-oligomer tails: Influence of self-assembly on transport properties. J. Mater. Chem. 2011, 21, 19275–19285. [Google Scholar] [CrossRef]
- Agrawal, R.; Gupta, R. Superionic solid: Composite electrolyte phase—An overview. J. Mater. Sci. 1999, 34, 1131–1162. [Google Scholar] [CrossRef]














| Ionic Liquid | Tm (°C) | Tg (°C) | Tdec | H2O Content |
|---|---|---|---|---|
| Ethylammonium methanesulfonate [EA][MSA] | 114.85 112.5 [27] | na na | 264.0 288.6 [27] | ~0 wt% <1 ppm [27] |
| Diethanolammonium methanesulfonate [DEA][MSA] | 21.79 | na | 291.8 | 0.5 wt% |
| Triethylammonium methanesulfonate [TEA][MSA] | 31.1 21.6 [12] 33.1 [13] 33.0 [14] 25.0 [15] 24.3 [16] 33.0 [17] 17.4 [19] | na −96.5 [27] na [28] na [29] na [30] −78.9 [31] −75.0 [32] −62.1 [11] | 247.5 269.7 [27] 203.0 [28] 305.0 [29] 218.0 [30] 290.0 [32] 225.0 [11] | 1.50 wt% <1 ppm [27] 0.81 wt% [28] 50 ppm [29] 2 mol% [30] 100 ppm [31] |
| Tetraethylpentammonium methanesulfonate [TEPA][MSA] | na | −35.32 | 163.5 | 1.50 wt% |
| N-methylpyrrolidinium methanesulfonate [NMP][MSA] | −10.15 | na | 285.0 | 0.75 wt% |
Disclaimer/Publisher’s Note: The statements, opinions and data contained in all publications are solely those of the individual author(s) and contributor(s) and not of MDPI and/or the editor(s). MDPI and/or the editor(s) disclaim responsibility for any injury to people or property resulting from any ideas, methods, instructions or products referred to in the content. |
© 2023 by the authors. Licensee MDPI, Basel, Switzerland. This article is an open access article distributed under the terms and conditions of the Creative Commons Attribution (CC BY) license (https://creativecommons.org/licenses/by/4.0/).
Share and Cite
Anis, A.; Alam, M.; Alhamidi, A.; Gupta, R.K.; Tariq, M.; Al-Zahrani, S.M. Studies on Polybenzimidazole and Methanesulfonate Protic-Ionic-Liquids-Based Composite Polymer Electrolyte Membranes. Polymers 2023, 15, 2821. https://doi.org/10.3390/polym15132821
Anis A, Alam M, Alhamidi A, Gupta RK, Tariq M, Al-Zahrani SM. Studies on Polybenzimidazole and Methanesulfonate Protic-Ionic-Liquids-Based Composite Polymer Electrolyte Membranes. Polymers. 2023; 15(13):2821. https://doi.org/10.3390/polym15132821
Chicago/Turabian StyleAnis, Arfat, Manawwer Alam, Abdullah Alhamidi, Ravindra Kumar Gupta, Mohammad Tariq, and Saeed M. Al-Zahrani. 2023. "Studies on Polybenzimidazole and Methanesulfonate Protic-Ionic-Liquids-Based Composite Polymer Electrolyte Membranes" Polymers 15, no. 13: 2821. https://doi.org/10.3390/polym15132821
APA StyleAnis, A., Alam, M., Alhamidi, A., Gupta, R. K., Tariq, M., & Al-Zahrani, S. M. (2023). Studies on Polybenzimidazole and Methanesulfonate Protic-Ionic-Liquids-Based Composite Polymer Electrolyte Membranes. Polymers, 15(13), 2821. https://doi.org/10.3390/polym15132821

