Application of Ionic Liquid Crosslinked Hydrogel for Removing Heavy Metal Ions from Water: Different Concentration Ranges with Different Adsorption Mechanisms
Abstract
1. Introduction
2. Experimental Methods
2.1. Materials
2.2. Synthesis of [Vim]Br2
2.3. Preparation of PAM/AA/[Vim]Br2 Hydrogel
2.4. Hydrogel Swelling
2.5. Adsorption Experiments
2.6. Design of Response Surface Experiment
2.7. Characterization
3. Results and Discussion
3.1. FTIR Analysis
3.2. SEM Analysis of PAM/AA/[Vim]Br2 Hydrogel
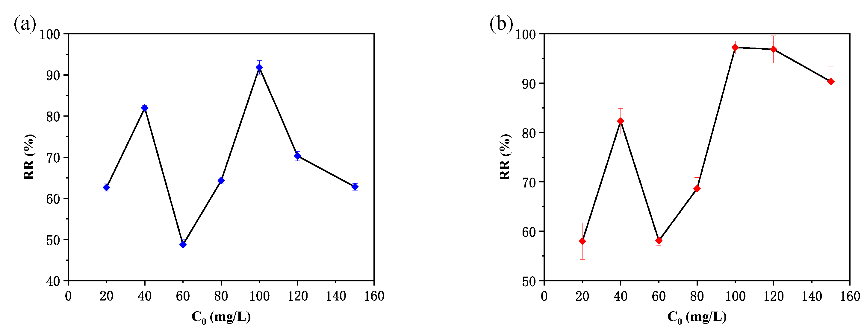
3.3. Effect of Initial Concentration of NiII, CuII, ZnII, CrIII on RR (%)
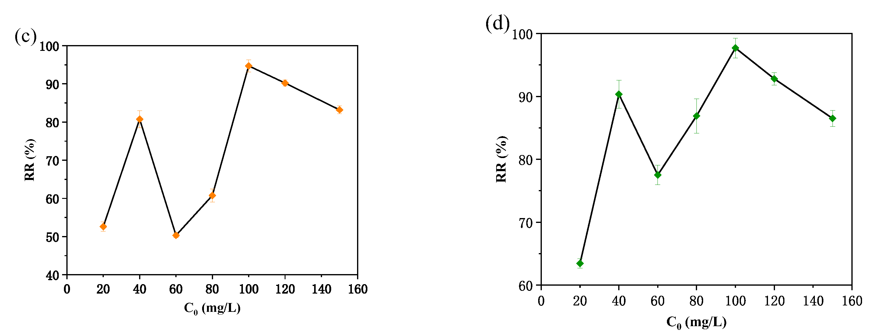
3.4. Effect of Hydrogel Dosage on RR (%)
3.5. Effect of Temperature on RR (%)
3.6. Effect of pH on RR (%)
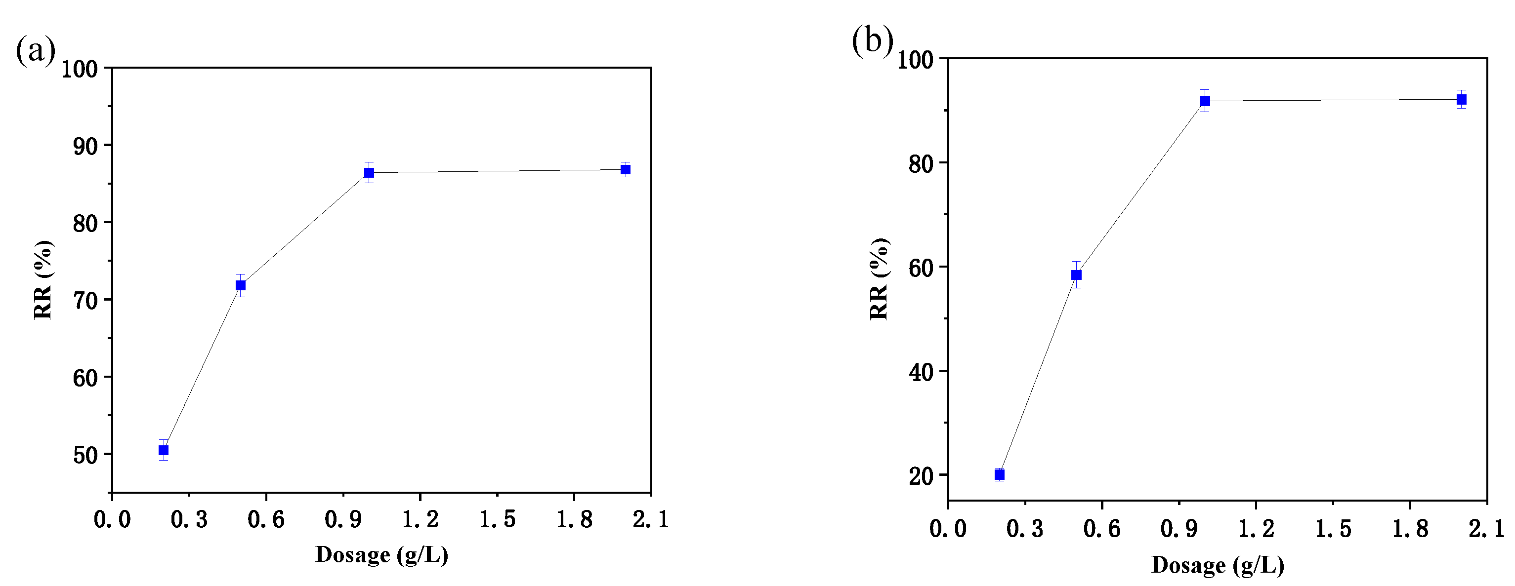
3.7. Adsorption Kinetics of Heavy Metal Ions by PAM/AA/[Vim]Br2 Hydrogel
3.8. Adsorption Isotherms of PAM/AA/[Vim]Br2 Hydrogels for Heavy Metal Ions
3.9. XPS Analysis of PAM/AA/[Vim]Br2 Hydrogel
4. Conclusions
Author Contributions
Funding
Institutional Review Board Statement
Data Availability Statement
Acknowledgments
Conflicts of Interest
References
- Liu, S.; Lou, S.; Kuang, C.; Huang, W.; Chen, W.; Zhang, J.; Zhong, G. Water quality assessment by pollution-index method in the coastal waters of Hebei Province in western Bohai Sea, China. Mar. Pollut. Bull. 2011, 62, 2220–2229. [Google Scholar] [CrossRef] [PubMed]
- Foy, R.H.; Lennox, S.D.; Smith, R.V. Assessing the effectiveness of a three-stage on-farm biobed in treating pesticide contaminated wastewater. Water Res. 2011, 181, 874–882. [Google Scholar] [CrossRef]
- Looi, L.J.; Aris, A.Z.; Johari, W.L.W.; Yusoff, F.M.; Hashim, Z. Baseline metals pollution profile of tropical estuaries and coastal waters of the Straits of Malacca. Mar. Pollut. Bull. 2013, 74, 471–476. [Google Scholar] [CrossRef] [PubMed]
- Oudeika, M.S.; Altinoglu, F.F.; Akbay, F.; Aydin, A.B. The use of magnetic susceptibility and chemical analysis data for characterizing heavy metal contamination of topsoil in Denizli city, Turkey. Appl. Geophys. 2020, 183, 104208. [Google Scholar] [CrossRef]
- Li, G.; Zhao, Z.; Liu, J.; Jiang, G.; Haza, J. Effective heavy metal removal from aqueous systems by thiol functionalized magnetic mesoporous silica. J. Hazard. Mater. 2011, 198, 277–283. [Google Scholar] [CrossRef] [PubMed]
- Järup, L. Hazards of heavy metal contamination, British Medical Bulletin. Br. Med. Bull. 2003, 68, 167–182. [Google Scholar] [CrossRef] [PubMed]
- Choi, J.Y.; Jeong, H.; Choi, K.-Y.; Hong, G.H.; Yang, D.B.; Kim, K.; Ra, K. Source identification and implications of heavy metals in urban roads for the coastal pollution in a beach town, Busan, Korea. Mar. Pollut. Bull. 2020, 161, 111724. [Google Scholar] [CrossRef]
- Abri, M.; Dakheel, A.; Tizaoui, C.; Hilal, N. Combined humic substance and heavy metals coagulation, and membrane filtration under saline conditions. Desalination 2010, 253, 46–50. [Google Scholar] [CrossRef]
- Sun, B.; Li, X.; Zhao, R.; Yin, M.; Wang, Z.; Jiang, Z.; Wang, C. Hierarchical aminated PAN/γ–AlOOH electrospun composite nanofibers and their heavy metal ion adsorption performance. J. Taiwan Inst. Chem. Eng. 2016, 62, 219–227. [Google Scholar] [CrossRef]
- Huang, L.L.; Liu, J.F.; Sun, B.; Zhang, N.; Tang, Y.Q.; Feng, Y.J. Experimental Study on Papermaking Wastewater by Advanced Electrochemical Oxidation Method. Adv. Mater. Res. 2013, 726, 1699–1703. [Google Scholar] [CrossRef]
- Lee, Y.-J.; Son, C.-Y.; Lee, C.-G.; Jeong, Y.J.; Cho, I.S.; Park, S.-J.; Lee, J. Enhancement of photocatalytic Cr(VI) reduction using man-darin peel extract as natural sacrificing agent. Alex. Eng. J. 2023, 75, 151–163. [Google Scholar] [CrossRef]
- Kurniawan, T.A.; Chan, G.Y.; Lo, W.-H.; Babel, S. Physico–chemical treatment techniques for wastewater laden with heavy metals. Chem. Eng. J. 2006, 118, 83–98. [Google Scholar] [CrossRef]
- Tan, X.Y.; Zhao, F.; Wen, R.Z.; Dai, Y. Adsorption of Pb(ll) on Activated Carbon Treated by Nitric Acid. Adv. Mater. Res. 2012, 550, 2190–2193. [Google Scholar] [CrossRef]
- Hadi, P.; Xu, M.; Ning, C.; Lin, C.S.K.; McKay, G. Valorization of an Electronic Waste-Derived Aluminosilicate: Surface Functionalization and Porous Structure Tuning. Chem. Eng. J. 2015, 4, 2980–2989. [Google Scholar] [CrossRef]
- Zohuriaan-Mehr, M.J.; Motazedi, Z.; Kabiri, K.; Ershad-Langroudi, A.; Allahdadi, I. Gum arabic–acrylic superabsorbing hydrogel hybrids: Studies on swelling rate and environmental responsiveness. J. Appl. Polym. Sci. 2006, 102, 5667–5674. [Google Scholar] [CrossRef]
- Cha, G.D.; Lee, W.H.; Lim, C.; Choi, M.K.; Kim, D.-H. Materials engineering; processing, and device application of hydrogel nanocomposites. Nanoscale 2020, 12, 10456–10473. [Google Scholar] [CrossRef] [PubMed]
- Xue, B.; Kozlovskaya, V.; Kharlampieva, E. Shaped stimuli-responsive hydrogel particles: Syntheses, properties and biological responses. J. Mater. Chem. B 2017, 5, 9–35. [Google Scholar] [CrossRef] [PubMed]
- Seidi, F.; Zhao, W.; Xiao, H.; Jin, Y.; Saeb, M.R.; Zhao, C. Radical polymerization as a versatile tool for surface grafting of thin hydrogel films. Polym. Chem. 2020, 11, 4355–4381. [Google Scholar] [CrossRef]
- Javed, R.; Shah, L.A.; Sayed, M.; Khan, M.S. Uptake of heavy metal ions from aqueous media by hydrogels and their conversion to nanoparticles for generation of a catalyst system: Two-fold application study. RSC Adv. 2018, 8, 14787–14797. [Google Scholar] [CrossRef] [PubMed]
- Lv, Q.; Hu, X.; Shen, Y.; Sun, G. Polymer hydrogel cross-linked by inorganic nanoparticles for removing trace metal ions. J. Appl. Polym. Sci. 2020, 137, 49004. [Google Scholar] [CrossRef]
- Sinha, V.; Chakma, S. Advances in the preparation of hydrogel for wastewater treatment: A concise review. Environ. Chem. Eng. 2019, 7, 103295. [Google Scholar] [CrossRef]
- Pakdel, P.M.; Peighambardoust, S.J. A review on acrylic based hydrogels and their applications in wastewater treatment. Environ. Manag. 2018, 217, 123–143. [Google Scholar] [CrossRef]
- Halah, A.; Machado, D.; González, N.; Contreras, J.; Carrasquero, F. Use of super absorbent hydrogels derivative from acrylamide with itaconic acid and itaconates to remove metal ions from aqueous solutions. J. Appl. Polym. Sci. 2019, 136, 46999. [Google Scholar] [CrossRef]
- Pour, Z.S.; Ghaemy, M. Removal of dyes and heavy metal ions from water by magnetic hydrogel beads based on poly(vinyl alcohol)/carboxymethyl starch-g-poly(vinyl imidazole). RSC Adv. 2015, 5, 64106–64118. [Google Scholar] [CrossRef]
- Shah, L.A.; Khan, M.; Javed, R.; Sayed, M.; Khan, M.S.; Khan, A.; Ullah, M. Superabsorbent polymer hydrogels with good thermal and mechanical properties for removal of selected heavy metal ions. J. Clean. Prod. 2018, 201, 78–87. [Google Scholar] [CrossRef]
- Chen, Z.; Wang, Y.-F.; Zeng, J.; Zhang, Y.; Zhang, Z.-B.; Ma, S.; Tang, C.-M.; Xu, J.-Q. Chitosan/polyethyleneimine magnetic hydrogels for adsorption of heavy metal ions. Iran Polym. J. 2022, 31, 1273–1282. [Google Scholar] [CrossRef]
- Chen, J.; Zhao, K.; Liu, L.; Gao, Y.; Zheng, L.; Liu, M. Modified kaolin hydrogel for Cu2+ adsorption. e-Polymers 2022, 22, 986–996. [Google Scholar] [CrossRef]
- Chen, S.; Zhang, S.; Liu, X.; Wang, J.; Wang, J.; Dong, K.; Sun, J.; Xu, B. Ionic liquid clusters: Structure; formation mechanism, and effect on the behavior of ionic liquids. Phys. Chem. Chem. Phys. 2014, 16, 5893–5906. [Google Scholar] [CrossRef]
- Dong, K.; Liu, X.; Dong, H.; Zhang, X.; Zhang, S. Multiscale Studies on Ionic Liquids. Chem. Rev. 2017, 117, 6636–6695. [Google Scholar] [CrossRef]
- Zhang, S.; Zhou, G.; Liu, X. Structure, interaction and property of amino-functionalized imidazolium ILs by molecular dynamics simulation and Ab initio calculation. AICHE J. 2010, 53, 3210–3221. [Google Scholar] [CrossRef]
- Yang, S.; Liu, X.; Yao, H.; Xin, J.; Xu, J.; Kang, Y.; Yang, Y.; Cai, G.; Zhang, S. Efficient hydrodeoxygenation of lignin-derived phenols and dimeric ethers with synergistic [Bmim]PF6-Ru/SBA-15 catalysis under acid free conditions. Green Chem. 2019, 21, 597–605. [Google Scholar] [CrossRef]
- Smiglak, M.; Pringle, J.M.; Lu, X.; Han, L.; Zhang, S.; Gao, H.; MacFarlane, D.R.; Rogers, R.D. Ionic liquids for energy, materials, and medicine. Chem. Commun. 2014, 50, 9228–9250. [Google Scholar] [CrossRef] [PubMed]
- Zhang, S.; Zhu, Y.; Lu, X.; Li, S. A promising method for electrodeposition of aluminium on stainless steel in ionic liquid. Aiche. J. 2010, 55, 783–796. [Google Scholar] [CrossRef]
- Wang, H.; Yan, R.; Li, Z.; Zhang, X.; Zhang, S. Fe-containing magnetic ionic liquid as an effective catalyst for the glycolysis of poly(ethylene terephthalate). Catal. Commun. 2010, 11, 763–767. [Google Scholar] [CrossRef]
- Dai, F.; Li, Z.; Chen, X.; He, B.; Liu, R.; Zhang, S. Synthesis of vanadium phosphorus oxide catalysts promoted by iron-based ionic liquids and their catalytic performance in selective oxidation of n-butane. Catal. Sci. Technol. 2018, 8, 4515–4525. [Google Scholar] [CrossRef]
- Sosa, M.; Contreras, A.; Durán, C.; García, R.; Palestino, G. Tuning the pH-responsiveness capability of poly(acrylic acid-co-itaconic acid)/NaOH hydrogel: Design, swelling, and rust removal evaluation. J. Appl. Polym. Sci. 2020, 137, 48403. [Google Scholar] [CrossRef]
- Jiang, C.; Wang, X.; Hou, B.; Hao, C.; Li, X.; Wu, J. Construction of a Lignosulfonate–Lysine Hydrogel for the Adsorption of Heavy Metal Ions. J. Agric. Food Chem. 2020, 68, 3050–3060. [Google Scholar] [CrossRef] [PubMed]
- Tally, M.; Atassi, Y. Synthesis and characterization of pH-sensitive superabsorbent hydrogels based on sodium alginate-g-poly(acrylic acid-co-acrylamide) obtained via an anionic surfactant micelle templating under microwave irradiation. Polym. Bull. 2016, 73, 3183–3208. [Google Scholar] [CrossRef]
- Moradi, O.; Aghaie, M.; Zare, K.; Monajjemi, M.; Aghaie, H. The study of adsorption characteristics Cu2+ and Pb2+ ions onto PHEMA and P(MMA-HEMA) surfaces from aqueous single solution. J. Hazard. Mater. 2009, 170, 673–679. [Google Scholar] [CrossRef]
- Olad, A.; Gharekhani, H.; Mirmohseni, A.; Bybordi, A. Synthesis, characterization, and fertilizer release study of the salt and pH-sensitive NaAlg-g-poly(AA-co-AAm)/RHA superabsorbent nanocomposite. Polym. Bull. 2017, 74, 3353–3377. [Google Scholar] [CrossRef]
- Puspitasari, T.; Pangerteni, D.; Nurfilah, E.; Darwis, D.S. Study of Metal Ions Removal from Aqueous Solution by Using Radiation Crosslinked Chitosan-co-Poly(Acrylamide)-Based Adsorbent. Macromol. Symp. 2015, 353, 168–177. [Google Scholar] [CrossRef]
- Samandari, S.; Samandari, S.; Nezafati, N.; Yahya, K. Efficient removal of lead (II) ions and methylene blue from aqueous solution using chitosan/Fe-hydroxyapatite nanocomposite beads. Environ. Manag. 2014, 146, 484–490. [Google Scholar] [CrossRef]
- Sutirman, Z.A.; Sanagi, M.M.; Karim, K.J.A.; Ibrahim, W.A.W.; Jume, B.H. Equilibrium, kinetic and mechanism studies of Cu(II) and Cd(II) ions adsorption by modified chitosan beads. Int. J. Biol. Macromol. 2018, 116, 255–263. [Google Scholar] [CrossRef]
- Wang, J.; Li, Z. Enhanced selective removal of Cu(II) from aqueous solution by novel polyethylenimine-functionalized ion imprinted hydrogel: Behaviors and mechanisms. J. Hazard. Mater. 2015, 300, 18–28. [Google Scholar] [CrossRef] [PubMed]
- Li, P.; Xing, C.; Qu, S.; Li, B.; Shen, W. Carbon Dioxide Capturing by Nitrogen-Doping Microporous Carbon. Sustain. Chem. Eng. 2015, 3, 1434–1442. [Google Scholar] [CrossRef]
- Li, Y.P.; Shi, L.; Gao, X.P.; Wang, J.Y.; Hu, Y.Y.; Wu, X.W.; Wen, Z.Y. Constructing a charged-state Na-NiCl2 battery with NiCl2/graphene aerogel composite as cathode. Chem. Eng. J. 2020, 421, 127853. [Google Scholar] [CrossRef]
- Ao, X.; Wen, Z.; Hu, Y.; Wu, T.; Wu, X.; He, Q. Enhanced stability performance of nickel nanowire with 3D conducting network for planar sodium-nickel chloride batteries. J. Power Sources 2017, 360, 345–352. [Google Scholar] [CrossRef]
















| Variable | Code | Level | ||
|---|---|---|---|---|
| Monomer ratio | A | 0.7 | 0.8 | 0.9 |
| % Neutralizing | B | 60 | 70 | 80 |
| % Initiator | C | 0.2 | 0.4 | 0.6 |
| % Crosslinking | D | 0.2 | 0.5 | 0.8 |
| Ion | Concentration | Pseudo-First-Order | Pseudo-Second-Order | ||||
|---|---|---|---|---|---|---|---|
| Qe,1 (mg/g) | K1 | R2 | Qe,2 (mg/g) | K2 | R2 | ||
| Ni2+ | 40 ppm | 32.23 | 0.833 | 0.8156 | 38.28 | 0.01152 | 0.9983 |
| 100 ppm | 89.12 | 0.572 | 0.953 | 98.98 | 0.00418 | 0.9986 | |
| Ion | Concentration | Langmuir | Freundlich | ||||
|---|---|---|---|---|---|---|---|
| KL | Qm | R2 | KF | n | R2 | ||
| Ni2+ | 40 ppm | 0.29 | 49.19 | 0.9859 | 816.58 | 3.33 | 0.9935 |
| 100 ppm | −0.153 | 69.06 | 0.9954 | 86,377 | −6.97 | / | |
Disclaimer/Publisher’s Note: The statements, opinions and data contained in all publications are solely those of the individual author(s) and contributor(s) and not of MDPI and/or the editor(s). MDPI and/or the editor(s) disclaim responsibility for any injury to people or property resulting from any ideas, methods, instructions or products referred to in the content. |
© 2023 by the authors. Licensee MDPI, Basel, Switzerland. This article is an open access article distributed under the terms and conditions of the Creative Commons Attribution (CC BY) license (https://creativecommons.org/licenses/by/4.0/).
Share and Cite
Sun, J.; Jin, Z.; Wang, J.; Wang, H.; Zhang, Q.; Gao, H.; Jin, Z.; Zhang, J.; Wang, Z. Application of Ionic Liquid Crosslinked Hydrogel for Removing Heavy Metal Ions from Water: Different Concentration Ranges with Different Adsorption Mechanisms. Polymers 2023, 15, 2784. https://doi.org/10.3390/polym15132784
Sun J, Jin Z, Wang J, Wang H, Zhang Q, Gao H, Jin Z, Zhang J, Wang Z. Application of Ionic Liquid Crosslinked Hydrogel for Removing Heavy Metal Ions from Water: Different Concentration Ranges with Different Adsorption Mechanisms. Polymers. 2023; 15(13):2784. https://doi.org/10.3390/polym15132784
Chicago/Turabian StyleSun, Jian, Ziqi Jin, Jiyang Wang, Hong Wang, Qian Zhang, Huajing Gao, Zhaohui Jin, Jianlin Zhang, and Zhiwei Wang. 2023. "Application of Ionic Liquid Crosslinked Hydrogel for Removing Heavy Metal Ions from Water: Different Concentration Ranges with Different Adsorption Mechanisms" Polymers 15, no. 13: 2784. https://doi.org/10.3390/polym15132784
APA StyleSun, J., Jin, Z., Wang, J., Wang, H., Zhang, Q., Gao, H., Jin, Z., Zhang, J., & Wang, Z. (2023). Application of Ionic Liquid Crosslinked Hydrogel for Removing Heavy Metal Ions from Water: Different Concentration Ranges with Different Adsorption Mechanisms. Polymers, 15(13), 2784. https://doi.org/10.3390/polym15132784

