Multi-Layered Composites of Natural Rubber (NR) and Bismuth Oxide (Bi2O3) with Enhanced X-ray Shielding and Mechanical Properties
Abstract
1. Introduction
2. Experimental
2.1. Materials and Chemicals
2.2. Determination of Bi2O3 Contents in Each Layer of Multi-Layered Bi2O3/NR Composites
2.3. Preparation of Bi2O3/NR Compounds
2.4. Cure Characteristics
2.5. Preparation of Multi-Layered Bi2O3/NR Composites
2.6. Thermal Aging on Multi-Layered Bi2O3/NR Composites
2.7. Characterization of Multi-Layered Bi2O3/NR Composites
2.7.1. Density, Morphology, Surface Roughness, and Swelling Tests
2.7.2. X-Ray Shielding Properties
2.7.3. Mechanical Properties
3. Results and Discussion
3.1. Cure and Torque Characteristics
3.2. Density, Morphology, and Surface Roughness
3.3. Swelling Behavior
3.4. X-Ray Shielding Properties
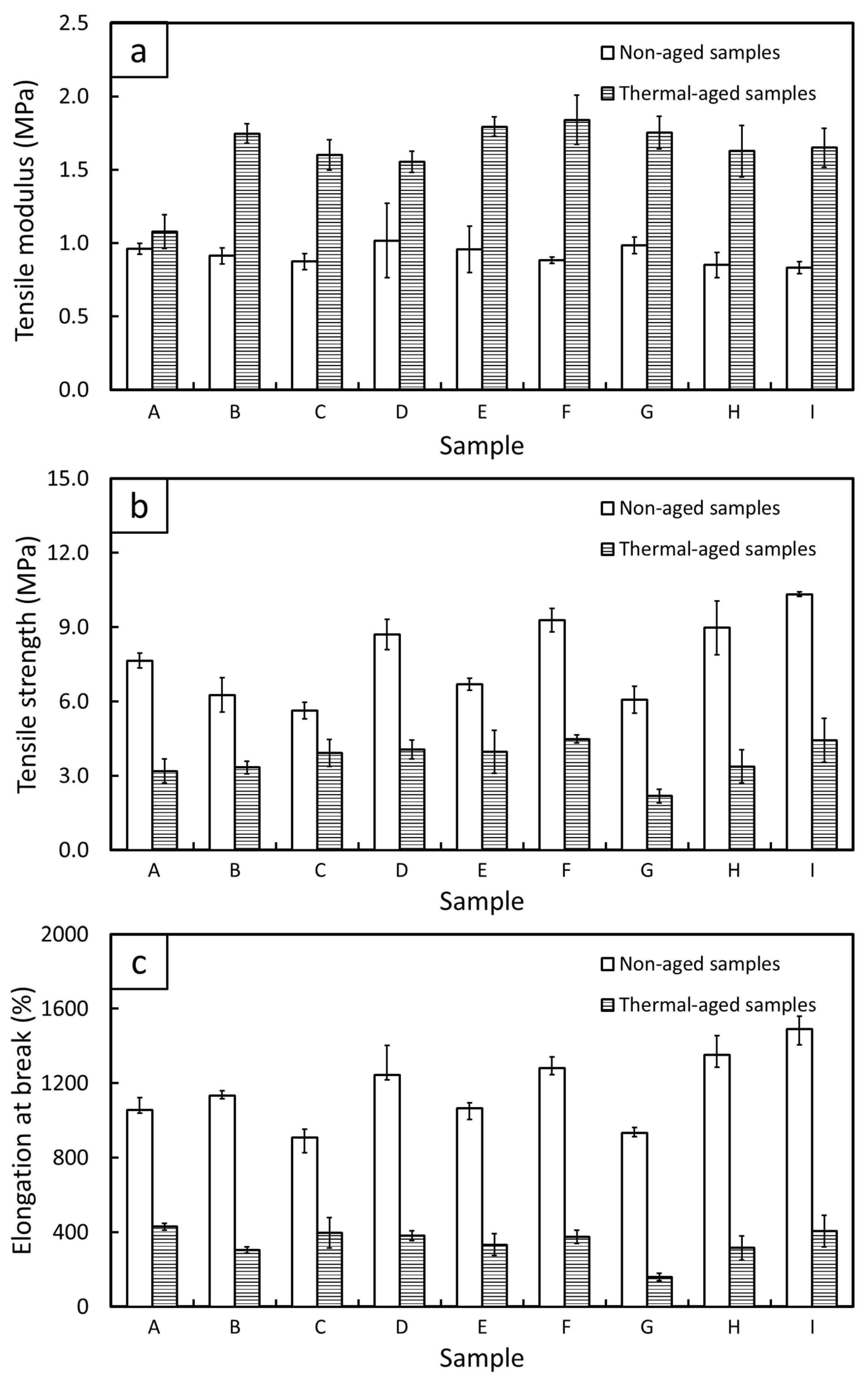
3.5. Mechanical Properties
3.6. Correlations of Mechanical and X-Ray Shielding Properties
4. Conclusions
Author Contributions
Funding
Institutional Review Board Statement
Data Availability Statement
Acknowledgments
Conflicts of Interest
References
- Candemir, S.; Antani, S. A review on lung boundary detection in chest X-rays. Int. J. Comput. Assist. Radiol. Surg. 2019, 14, 563–576. [Google Scholar] [CrossRef] [PubMed]
- Frahm, E.; Doonan, R.C.P. The technological versus methodological revolution of portable XRF in archaeology. J. Archaeol. Sci. 2013, 40, 1425–1434. [Google Scholar] [CrossRef]
- Paltridge, N.G.; Palmer, L.J.; Milham, P.J.; Guild, G.E.; Stangoulis, J.C.R. Energy-dispersive X-ray fluorescence analysis of zinc and iron concentration in rice and pearl millet grain. Plant Soil 2012, 361, 251–260. [Google Scholar] [CrossRef]
- Wilczynski, S.; Koprowski, R.; Stolecka-Warzecha, A.; Duda, P.; Deda, A.; Ivanova, D.; Kiselova-Kaneva, Y.; Blonska-Fajfrowska, B. The use of microtomographic imaging in the identification of counterfeit medicines. Talanta 2019, 195, 870–875. [Google Scholar] [CrossRef] [PubMed]
- Wang, B.; Wang, Z.; Mao, P.; Wang, Y. A multi-color persistent luminescent phosphor β-NaYF4:RE3+ (RE = Sm, Tb, Dy, Pr) for dynamic anti-counterfeiting. RSC Adv. 2022, 12, 11534–11542. [Google Scholar] [CrossRef]
- Kamiya, K.; Ozasa, K.; Akiba, S.; Niwa, O.; Kodama, K.; Takamura, N.; Zaharieva, E.K.; Kimura, Y.; Wakeford, R. Long-term effects of radiation exposure on health. Lancet 2015, 386, 469–478. [Google Scholar] [CrossRef]
- Kaplan, D.J.; Patel, J.N.; Liporace, F.A.; Yoon, R.S. Intraoperative radiation safety in orthopaedics: A review of the ALARA (As low as reasonably achievable) principle. Patient Saf. Surg. 2016, 10, 27. [Google Scholar] [CrossRef] [PubMed]
- Abdolahzadeh, T.; Morshedian, J.; Ahmadi, S. Preparation and characterization of nano WO3/Bi2O3/GO and BaSO4/GO dispersed HDPE composites for X-ray shielding application. Polyolefins J. 2022, 9, 73–83. [Google Scholar]
- Poltabtim, W.; Wimolmala, E.; Markpin, T.; Sombatsompop, N.; Rosarpitak, V.; Saenboonruang, K. X-ray shielding, mechanical, physical, and water absorption properties of wood/PVC composites containing bismuth oxide. Polymers 2021, 13, 2212. [Google Scholar] [CrossRef]
- Gholamzadeh, L.; Sharghi, H.; Aminian, M.K. Synthesis of barium-doped PVC/Bi2WO6 composites for X-ray radiation shielding. Nucl. Eng. Technol. 2022, 54, 318–325. [Google Scholar] [CrossRef]
- Kaewjaeng, S.; Kothan, S.; Chaiphaksa, W.; Chantima, N.; Rajaramakrishna, R.; Kim, H.J.; Kaewkhao, J. High transparency La2O3-CaO-B2O3-SiO2 glass for diagnosis x-rays shielding material application. Radiat. Phys. Chem. 2019, 160, 41–47. [Google Scholar] [CrossRef]
- Obaid, S.S.; Gaikwad, D.K.; Pawar, P.P. Determination of gamma ray shielding parameters of rocks and concrete. Radiat. Phys. Chem. 2018, 144, 356–360. [Google Scholar] [CrossRef]
- Poltabtim, W.; Toyen, D.; Saenboonruang, K. Theoretical determination of high-energy photon attenuation and recommended protective filler contents for flexible and enhanced dimensionally stable wood/NR and NR composites. Polymers 2021, 13, 869. [Google Scholar] [CrossRef]
- Yonphan, S.; Chaiphaksa, W.; Kalkornsurapranee, E.; Tuljittraporn, A.; Kothan, S.; Kaewjaeng, S.; Intachai, N.; Wongdamnern, N.; Kedkaew, C.; Kim, H.J.; et al. Development of flexible radiation shielding materials from natural Rubber/Sb2O3 composites. Radiat. Phys. Chem. 2022, 200, 110379. [Google Scholar] [CrossRef]
- Chai, H.; Tang, X.; Ni, M.; Chen, F.; Zhang, Y.; Chen, D.; Qiu, Y. Preparation and properties of novel, flexible, lead-free X-ray-shielding materials containing tungsten and bismuth(III) oxide. J. Appl. Polym. Sci. 2016, 133, 43012. [Google Scholar] [CrossRef]
- Gamal, R.; Salama, E.; Elshimy, H.; El-Nashar, D.E.; Bakry, A.; Ehab, M. Gamma attenuation and mechanical characteristics of a lead/NBR/SBR rubber composite with black nanocarbon reinforcement. Sustainability 2023, 15, 2165. [Google Scholar] [CrossRef]
- Ninyong, K.; Wimolmala, E.; Sombatsompop, N.; Saenboonruang, K. Properties of natural rubber (NR) and wood/NR composites as gamma shielding materials. IOP Conf. Ser. Mater. Sci. Eng. 2019, 526, 012038. [Google Scholar] [CrossRef]
- Hashemi, S.A.; Mousavi, S.M.; Faghihi, R.; Arjmand, M.M.; Sina, S.; Amani, A.M. Lead oxide-decorated graphene oxide/epoxy composite towards X-Ray radiation shielding. Radiat. Phys. Chem. 2018, 146, 77–85. [Google Scholar] [CrossRef]
- Rezaei-Ochbelagh, D.; Azimkhani, S. Investigation of gamma-ray shielding properties of concrete containing different percentages of lead. Appl. Radiat. Isot. 2012, 70, 2282–2286. [Google Scholar] [CrossRef]
- Kumar, A.; Kumar, A.; Cabral-Pinto, M.M.S.; Chaturvedi, A.; Shabnam, A.A.; Subrahmanyam, G.; Mondal, R.; Gupta, D.K.; Malyan, S.K.; Kumar, S.S.; et al. Lead toxicity: Health hazards, influence on food chain, and sustainable remediation approaches. Int. J. Environ. Res. Public Health 2020, 17, 2179. [Google Scholar] [CrossRef]
- Thumwong, A.; Wimolmala, E.; Markpin, T.; Sombatsompop, N.; Saenboonruang, K. Enhanced X-ray shielding properties of NRL gloves with nano-Bi2O3 and their mechanical properties under aging conditions. Radiat. Phys. Chem. 2021, 186, 109530. [Google Scholar] [CrossRef]
- Hazlan, M.H.; Jamil, M.; Ramli, R.M.; Azman, N.Z.N. X-ray attenuation characterisation of electrospun Bi2O3/PVA and WO3/PVA nanofibre mats as potential X-ray shielding materials. Appl. Phys. A 2018, 124, 497. [Google Scholar] [CrossRef]
- Jiang, X.; Zhu, X.; Chang, C.; Liu, S.; Luo, X. X-ray shielding structural and properties design for the porous transparent BaSO4/cellulose nanocomposite membranes. Int. J. Biol. Macromol. 2019, 139, 793–800. [Google Scholar] [CrossRef]
- Al-Hadeethi, Y.; Sayyed, M.I. Effect of Gd2O3 on the radiation shielding characteristics of Sb2O3–PbO–B2O3–Gd2O3 glass system. Ceram. Int. 2020, 46, 13768–13773. [Google Scholar] [CrossRef]
- Thumwong, A.; Chinnawet, M.; Intarasena, P.; Rattanapongs, C.; Tokonmi, S.; Ishikawa, T.; Saenboonruang, K. A comparative study on X-ray shielding and mechanical properties of natural rubber latex nanocomposites containing Bi2O3 or BaSO4: Experimental and numerical determination. Polymers 2022, 14, 3654. [Google Scholar] [CrossRef]
- Poltabtim, W.; Thumwong, A.; Wimolmala, E.; Rattanapongs, C.; Tokonami, S.; Ishikawa, T.; Saenboonruang, K. Dual X-ray and neutron-shielding properties of Gd2O3/NR composites with autonomous self-healing capabilities. Polymers 2022, 14, 4481. [Google Scholar] [CrossRef]
- ASTM D3578-19; Standard Specification for Rubber Examination Gloves. ASTM: West Conshohocken, PA, USA. Available online: https://www.astm.org/d3578-19.html (accessed on 16 June 2023).
- Mungpayaban, H.; Rindhatayathon, P.; Ninlaphruk, S.; Ruenngoen, A.; Ekgasit, S.; Pengprecha, S. X-ray protective materials from barium sulfate/amorphous cellulose/natural rubber composites. Radiat. Phys. Chem. 2022, 194, 110011. [Google Scholar] [CrossRef]
- Jacob, M.; Thomas, S.; Varughese, K.T. Mechanical properties of sisal/oil palm hybrid fiber reinforced natural rubber composites. Compos. Sci. Technol. 2004, 64, 955–965. [Google Scholar] [CrossRef]
- Hariwongsanupab, N.; Thanawan, S.; Amornsakchai, T.; Vallet, M.F.; Mougin, K. Improving the mechanical properties of short pineapple leaf fiber reinforced natural rubber by blending with acrylonitrile butadiene rubber. Polym. Test. 2017, 57, 94–100. [Google Scholar] [CrossRef]
- Wan Busu, W.N.; Anuar, H.; Ahmad, S.H.; Rasid, R.; Jamal, N.A. The mechanical and physical properties of thermoplastic natural rubber hybrid composites reinforced with Hibiscus cannabinus, L and short glass fiber. Polym. Plast. Technol. Eng. 2010, 49, 1315–1322. [Google Scholar] [CrossRef]
- Gungor, A.; Akbay, I.K.; Yasar, D.; Ozdemir, T. Flexible X/gamma ray shielding composite material of EPDM rubber with bismuth trioxide: Mechanical, thermal investigations and attenuation tests. Prog. Nucl. Energy 2018, 106, 262–269. [Google Scholar] [CrossRef]
- Thomas, G.O.; Bambrey, R.J.; Oakley, G.L. A study of flame acceleration and the possibility of detonation with silane mixtures. Process Saf. Environ. Prot. 2018, 117, 278–285. [Google Scholar] [CrossRef]
- Petry, T.; Bosch, A.; Koraichi-Emeriau, F.; Eigler, D.; Germain, P.; Seidel, S. Assessment of the skin sensitisation hazard of functional polysiloxanes and silanes in the SENS-IS assay. Regul. Toxicol. Pharmacol. 2018, 98, 209–214. [Google Scholar] [CrossRef]
- Intom, S.; Kalkornsurapranee, E.; Johns, J.; Kaewjaeng, S.; Kothan, S.; Hongtong, W.; Chaiphaksa, W. Mechanical and radiation shielding properties of flexible material based on natural rubber/ Bi2O3 composites. Radiat. Phys. Chem. 2020, 172, 108772. [Google Scholar] [CrossRef]
- Lapkovskis, V.; Mironovs, V.; Jevmenov, I.; Kasperovich, A.; Myadelets, V. Multilayer material for electromagnetic field shielding and EMI pollution prevention. Agron. Res. 2017, 15, 1067–1071. [Google Scholar]
- Li, H.; Ru, X.; Song, Y.; Wang, H.; Yang, C.; Zheng, S.; Gong, L.; Zhang, X.; Duan, H.; Liu, Z.; et al. Flexible sandwich-structured silicone rubber/MXene/Fe3O4 composites for tunable electromagnetic interference shielding. Ind. Eng. Chem. Res. 2022, 61, 11766–11776. [Google Scholar] [CrossRef]
- Thumwong, A.; Darachai, J.; Saenboonruang, K. Comparative X-ray shielding properties of single-layered and multi-layered Bi2O3/NR composites: Simulation and numerical studies. Polymers 2022, 14, 1788. [Google Scholar] [CrossRef]
- Liu, J.; Li, X.; Xu, L.; Zhang, P. Investigation of aging behavior and mechanism of nitrile-butadiene rubber (NBR) in the accelerated thermal aging environment. Polym. Test. 2016, 54, 59–66. [Google Scholar] [CrossRef]
- Toyen, D.; Rittirong, A.; Poltabtim, W.; Saenboonruang, K. Flexible, lead-free, gamma-shielding materials based on natural rubber/metal oxide composites. Iranian Polym. J. 2018, 27, 33–41. [Google Scholar] [CrossRef]
- Nor, N.A.M.; Othman, N. Effect of filler loading on curing characteristic and tensile properties of palygorskite natural rubber nanocomposites. Procedia Chem. 2016, 19, 351–358. [Google Scholar] [CrossRef]
- ASTM D2081-19a; Standard Test Method for Rubber Property—Vulcanization Using Oscillating Disk Cure Meter. ASTM: West Conshohocken, PA, USA. Available online: https://www.astm.org/d2084-19a.html (accessed on 16 June 2023).
- ASTM D573-04 (2019); Standard Test Method for Rubber—Deterioration in an Air Oven. ASTM: West Conshohocken, PA, USA. Available online: https://www.astm.org/d0573-04r19.html (accessed on 16 June 2023).
- ASTM D412-16 (2021); Standard Test Methods for Vulcanized Rubber and Thermoplastic Elastomers—Tension. ASTM: West Conshohocken, PA, USA. Available online: https://www.astm.org/d0412-16r21.html (accessed on 16 June 2023).
- Mohamad, N.; Muchtar, A.; Ghazali, M.J.; Mohd, D.H.; Azhari, C.H. The effect of filler on epoxidised natural rubber-alumina nanoparticles composites. Eur. J. Sci. Res. 2008, 24, 538–547. [Google Scholar]
- Surya, I.; Hayeemasae, N.; Ginting, M. Cure characteristics, crosslink density and degree of filler dispersion of kaolin-filled natural rubber compounds in the presence of alkanolamide. IOP Conf. Ser. Mater. Sci. Eng. 2018, 343, 012009. [Google Scholar] [CrossRef]
- Fisli, A.; Yulianti, E.; Hanurajie, B.; Sukaryo, S.G.; Mashadi, M.; Rivai, A.K.; Prastanto, H.; Fathurrohman, M.I. Some metal oxide-natural rubber composites for gamma- and low-energy X-ray radiation shielding. At. Indones. 2023, 49, 45–52. [Google Scholar] [CrossRef]
- Pal, K.; Satpathi, H.; Bhandary, T.; Samui, B.K.; Bhattacharyya, S.; Naskar, K.; Mukhopadhyay, R. Understanding the influence of anti-reversion agent and metal oxide dose on natural rubber–carbon black system. Polym. Eng. Sci. 2021, 61, 2616–2629. [Google Scholar] [CrossRef]
- Salaeh, S.; Muensit, N.; Bomlai, P.; Nakason, C. Ceramic/natural rubber composites: Influence types of rubber and ceramic materials on curing, mechanical, morphological, and dielectric properties. J. Mater. Sci. 2011, 46, 1723–1731. [Google Scholar] [CrossRef]
- Bajpai, A.; Wetzel, B.; Klingler, A.; Friedrich, K. Mechanical properties and fracture behavior of high-performance epoxy nanocomposites modified with block polymer and core–shell rubber particles. J. Appl. Polym. Sci. 2019, 137, 48471. [Google Scholar] [CrossRef]
- Lim, C.H.; Siricomboon, P. Near infrared spectroscopy as an alternative method for rapid evaluation of toluene swell of natural rubber latex and its products. J. Near Infrared Spectrosc. 2018, 26, 159–168. [Google Scholar] [CrossRef]
- Ahmed, K.; Nizami, S.S.; Raza, N.Z.; Shirin, K. Cure characteristics, mechanical and swelling properties of marble sludge filled EPDM modified chloroprene rubber blends. Adv. Mater. Phys. Chem. 2012, 2, 19981. [Google Scholar] [CrossRef]
- Sharaf, J.M.; Saleh, H. Gamma-ray energy buildup factor calculations and shielding effects of some Jordanian building structures. Radiat. Phys. Chem. 2015, 110, 87–95. [Google Scholar] [CrossRef]
- Akyildirim, H.; Waheed, F.; Gunoglu, K.; Akkurt, I. Investigation of buildup factor in gamma-ray measurement. Acta Phys. Pol. A 2017, 132, 1203–1206. [Google Scholar] [CrossRef]
- Berger, M.J.; Hubbell, J.H.; Seltzer, S.M.; Chang, J.; Coursey, J.S.; Sukumar, R.; Zucker, D.S.; Olsen, K. XCOM: Photon Cross Section Database (Version 1.5); National Institute of Standards and Technology: Gaithersburg, MD, USA, 2010. Available online: http://physics.nist.gov/xcom (accessed on 11 May 2023).
- Si-Mohamed, S.; Cormode, D.P.; Bar-Ness, D.; Sigovan, M.; Naha, P.C.; Langlois, J.B.; Chalabreysse, L.; Coulon, P.; Blevis, I.; Roessl, E.; et al. Evaluation of spectral photon counting computed tomography K-edge imaging for determination of gold nanoparticle biodistribution in vivo. Nanoscale 2017, 46, 18246–18257. [Google Scholar] [CrossRef]
- Lopez, D.M.B.; Ahmad, R. Tensile mechanical behaviour of multi-polymer sandwich structures via fused deposition modelling. Polymers 2020, 12, 651. [Google Scholar] [CrossRef]
- Grasland, F.; Chazeau, L.; Chenal, J.M.; Schach, R. About thermo-oxidative ageing at moderate temperature of conventionally vulcanized natural rubber. Polym. Degrad. Stab. 2019, 161, 74–84. [Google Scholar] [CrossRef]
- Kommling, A.; Jaunich, M.; Wolff, D. Revealing effects of chain scission during ageing of EPDM rubber using relaxation and recovery experiment. Polym. Test. 2016, 56, 261–268. [Google Scholar] [CrossRef]
- Basu, P.; Sarangapano, R.; Venkatraman, B. Gamma ray buildup factors for conventional shielding materials and buildup factors computed for tungsten with a thickness beyond 40 mean free paths. Appl. Radiat. Isot. 2019, 154, 108864. [Google Scholar] [CrossRef] [PubMed]
- Suteau, C.; Chiron, M. An iterative method for calculating gamma-ray build-up factors in multi-layer shields. Radiat. Prot. Dosim. 2005, 116, 489–492. [Google Scholar] [CrossRef] [PubMed]








| Chemical Name | Content (phr) | Role |
|---|---|---|
| Natural rubber (STR 20) | 100 parts by weight | Main matrix |
| Zinc Oxide (ZnO) Stearic Acid | 5 2 | Activator Activator |
| Mercaptobenzothiazole (MBT) | 2 | Accelerator |
| Diphenylguanidine (DPG) | 1 | Accelerator |
| Paraffinic wax | 40 | Plasticizer |
| Bismuth oxide (Bi2O3) | 0, 200, 333, 385, 504, 727, 1034 * | Radiation protective filler |
| Sample | Number of Layers | Thickness of Each Layer (mm) | Bi2O3 Content in Layer (phr) | ||||
|---|---|---|---|---|---|---|---|
| 1 | 2 | 3 | 4 | 5 | |||
| A | 1 | 10.0 | 200 | - | - | - | - |
| B | 2 | 5.0 | 0 | 504 | - | - | - |
| C | 3 | 3.3 | 333 | 0 | 333 | - | - |
| D | 3 | 3.3 | 0 | 1034 | 0 | - | - |
| E | 4 | 2.5 | 0 | 504 | 0 | 504 | - |
| F | 4 | 2.5 | 0 | 504 | 504 | 0 | - |
| G | 4 | 2.5 | 504 | 0 | 0 | 504 | - |
| H | 5 | 2.0 | 385 | 0 | 385 | 0 | 385 |
| I | 5 | 2.0 | 0 | 727 | 0 | 727 | 0 |
| Bi2O3 Content (phr) | Torque (N·m) | ||
|---|---|---|---|
| ML | MH | MH − ML | |
| 0 | 0.07 | 0.73 | 0.66 |
| 200 | 0.11 | 0.96 | 0.85 |
| 333 | 0.14 | 1.32 | 1.18 |
| 385 | 0.12 | 1.33 | 1.21 |
| 504 | 0.13 | 1.58 | 1.45 |
| 727 | 0.20 | 1.97 | 1.77 |
| 1034 | 0.25 | 2.85 | 2.60 |
| Bi2O3 Content (phr) | Scorch Time and Cure Time (min) | ||||
|---|---|---|---|---|---|
| ts2 | tc10 | tc50 | tc90 | tc95 | |
| 0 | 0.66 | 0.42 | 1.01 | 2.94 | 4.28 |
| 200 | 0.72 | 0.52 | 1.23 | 4.79 | 9.93 |
| 333 | 0.60 | 0.48 | 1.40 | 8.92 | 15.22 |
| 385 | 0.60 | 0.48 | 1.46 | 8.83 | 15.30 |
| 504 | 0.53 | 0.45 | 1.50 | 9.25 | 15.98 |
| 727 | 0.48 | 0.45 | 1.57 | 9.62 | 15.90 |
| 1034 | 0.38 | 0.43 | 1.58 | 10.73 | 19.56 |
| Sample | Density (g/cm3) |
|---|---|
| A | 1.96 ± 0.01 |
| B | 1.98 ± 0.01 |
| C | 2.00 ± 0.01 |
| D | 2.03 ± 0.01 |
| E | 2.00 ± 0.01 |
| F | 1.97 ± 0.01 |
| G | 2.04 ± 0.01 |
| H | 1.97 ± 0.01 |
| I | 1.96 ± 0.01 |
| Sample | Layer | Roughness (µm) |
|---|---|---|
| A | 200-phr Bi2O3/NR | 19.2 ± 6.1 |
| B | Neat NR | 3.7 ± 1.2 |
| 504-phr Bi2O3/NR | 17.7 ± 3.0 | |
| C | Neat NR | 17.5 ± 6.2 |
| 333-phr Bi2O3/NR | 29.2 ± 5.2 | |
| D | Neat NR | 1.2 ± 0.2 |
| 1034-phr Bi2O3/NR | 12.5 ± 0.7 | |
| E | Neat NR | 2.1 ± 1.1 |
| 504-phr Bi2O3/NR | 26.2 ± 5.8 | |
| F | Neat NR | 5.4 ± 1.7 |
| 504-phr Bi2O3/NR | 10.5 ± 3.6 | |
| G | Neat NR | 12.2 ± 1.6 |
| 504-phr Bi2O3/NR | 20.0 ± 0.5 | |
| H | Neat NR | 12.4 ± 2.6 |
| 385-phr Bi2O3/NR | 20.2 ± 2.1 | |
| I | Neat NR | 2.0 ± 0.5 |
| 727-phr Bi2O3/NR | 4.6 ± 1.5 |
Disclaimer/Publisher’s Note: The statements, opinions and data contained in all publications are solely those of the individual author(s) and contributor(s) and not of MDPI and/or the editor(s). MDPI and/or the editor(s) disclaim responsibility for any injury to people or property resulting from any ideas, methods, instructions or products referred to in the content. |
© 2023 by the authors. Licensee MDPI, Basel, Switzerland. This article is an open access article distributed under the terms and conditions of the Creative Commons Attribution (CC BY) license (https://creativecommons.org/licenses/by/4.0/).
Share and Cite
Toyen, D.; Wimolmala, E.; Saenboonruang, K. Multi-Layered Composites of Natural Rubber (NR) and Bismuth Oxide (Bi2O3) with Enhanced X-ray Shielding and Mechanical Properties. Polymers 2023, 15, 2717. https://doi.org/10.3390/polym15122717
Toyen D, Wimolmala E, Saenboonruang K. Multi-Layered Composites of Natural Rubber (NR) and Bismuth Oxide (Bi2O3) with Enhanced X-ray Shielding and Mechanical Properties. Polymers. 2023; 15(12):2717. https://doi.org/10.3390/polym15122717
Chicago/Turabian StyleToyen, Donruedee, Ekachai Wimolmala, and Kiadtisak Saenboonruang. 2023. "Multi-Layered Composites of Natural Rubber (NR) and Bismuth Oxide (Bi2O3) with Enhanced X-ray Shielding and Mechanical Properties" Polymers 15, no. 12: 2717. https://doi.org/10.3390/polym15122717
APA StyleToyen, D., Wimolmala, E., & Saenboonruang, K. (2023). Multi-Layered Composites of Natural Rubber (NR) and Bismuth Oxide (Bi2O3) with Enhanced X-ray Shielding and Mechanical Properties. Polymers, 15(12), 2717. https://doi.org/10.3390/polym15122717

