Effect of Polydispersity on the Structural and Magnetic Properties of a Magnetopolymer Composite
Abstract
1. Introduction
2. Bidisperse Model
3. Bidisperse Theory: Structural and Magnetic Properties
4. Computer Simulation
5. Discussion
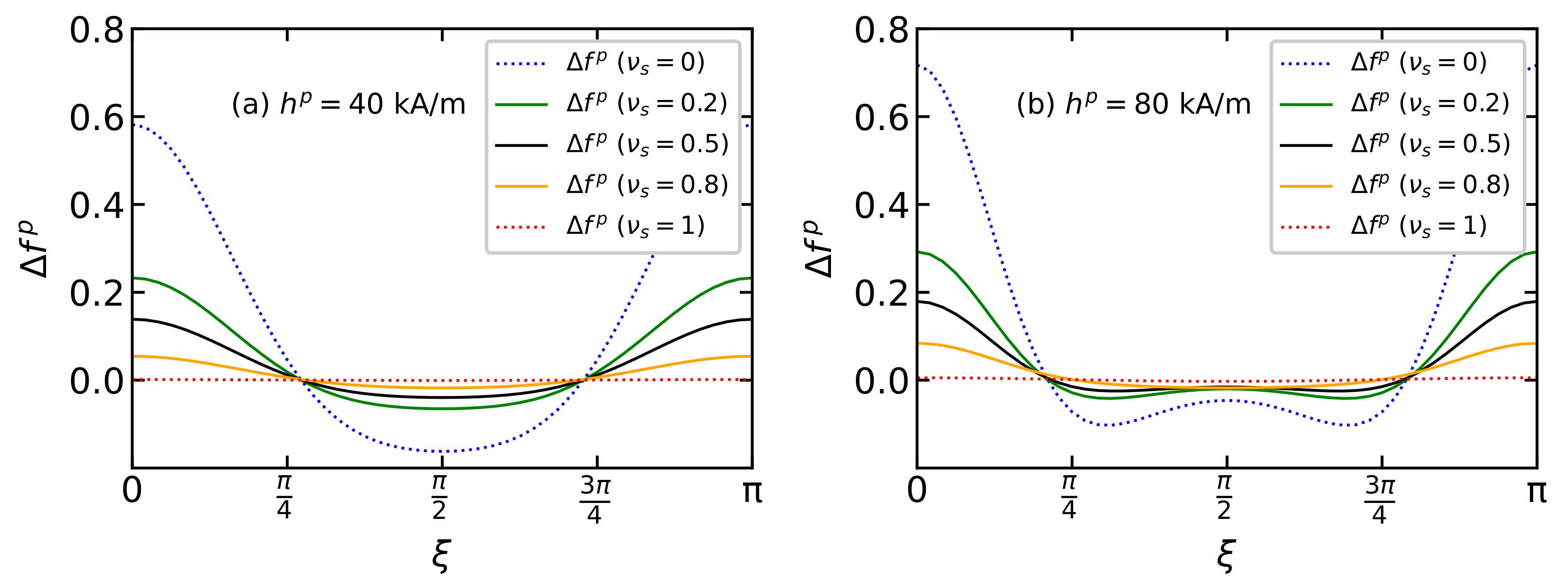
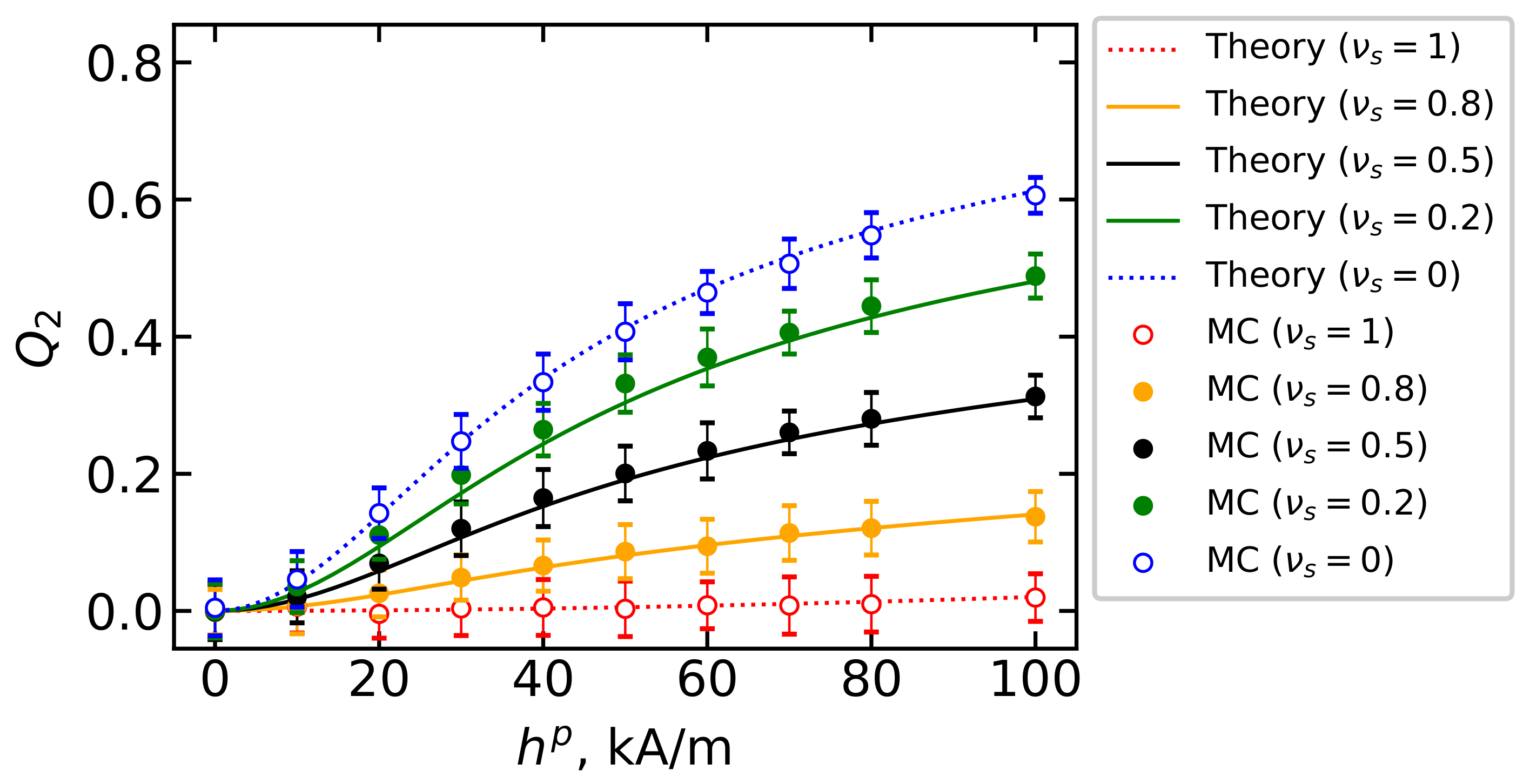
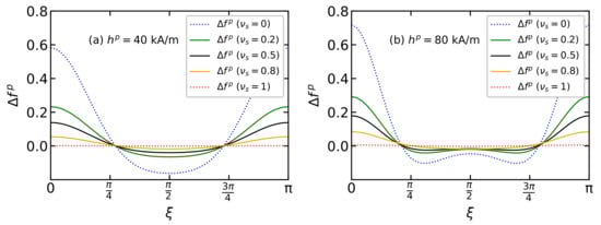
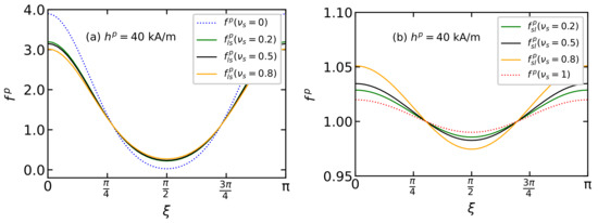
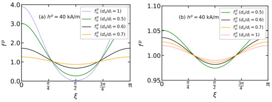
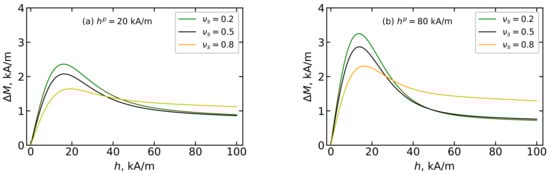
5.1. Structural Properties
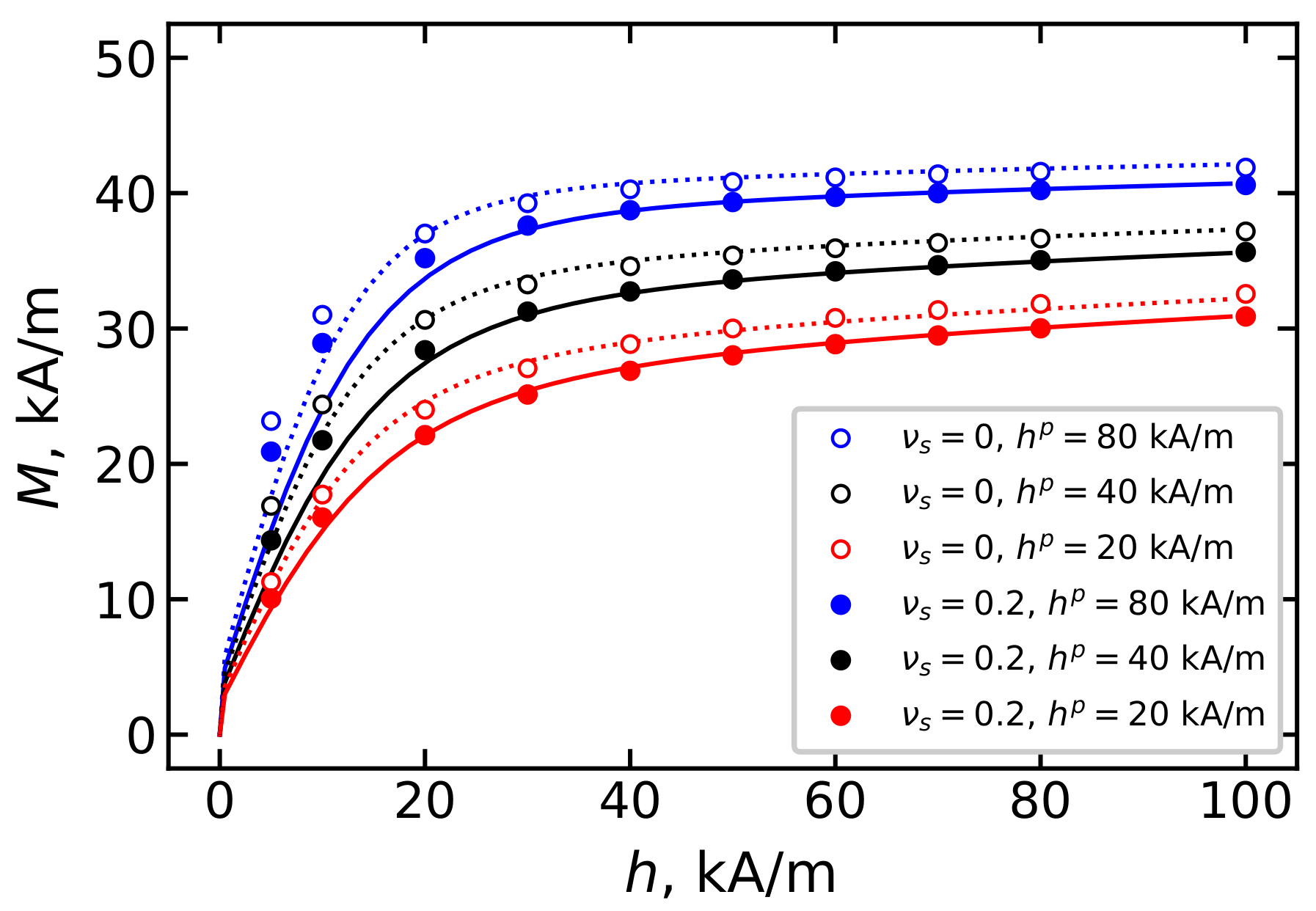
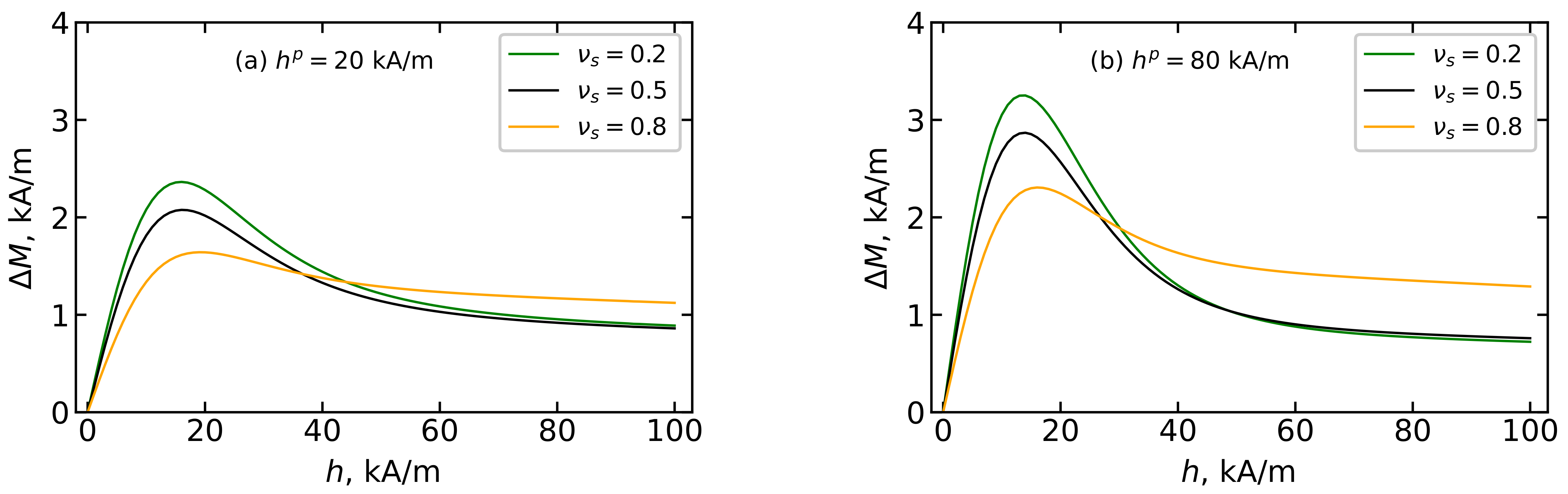
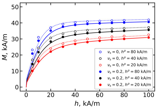
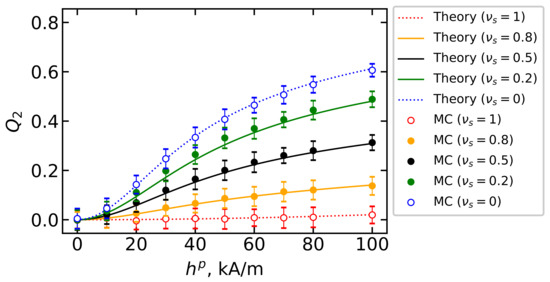
5.2. Magnetic Properties
6. Conclusions and Outlook
Author Contributions
Funding
Institutional Review Board Statement
Data Availability Statement
Conflicts of Interest
Abbreviations
| MPC | Magnetopolymer composite |
| MC | Monte Carlo |
| BD | Bidisperse |
References
- Lu, Q.; Choi, K.; Nam, J.D.; Choi, H.J. Magnetic polymer composite particles: Design and magnetorheology. Polymers 2021, 13, 512. [Google Scholar] [CrossRef] [PubMed]
- Hafeez, M.A.; Usman, M.; Umer, M.A.; Hanif, A. Recent progress in isotropic magnetorheological elastomers and their properties: A review. Polymers 2020, 12, 3023. [Google Scholar] [CrossRef] [PubMed]
- Merazzo, K.J.; Lima, A.C.; Rincón-Iglesias, M.; Fernandes, L.C.; Pereira, N.; Lanceros-Mendez, S.; Martins, P. Magnetic materials: A journey from finding north to an exciting printed future. Mater. Horizons 2021, 8, 2654–2684. [Google Scholar] [CrossRef] [PubMed]
- Behrens, S. Preparation of functional magnetic nanocomposites and hybrid materials: Recent progress and future directions. Nanoscale 2011, 3, 877–892. [Google Scholar] [CrossRef]
- Elder, B.; Neupane, R.; Tokita, E.; Ghosh, U.; Hales, S.; Kong, Y. Nanomaterial Patterning in 3D Printing. Adv. Mater. 2020, 32, 1907142. [Google Scholar] [CrossRef]
- Stepanov, G.; Borin, D.; Bakhtiiarov, A.; Storozhenko, P. Hybrid magnetic elastomers prepared on the basis of a SIEL-grade resin and their magnetic and rheological properties. Phys. Sci. Rev. 2020, 7, 1141–1168. [Google Scholar] [CrossRef]
- Baron, R.; Biliuta, G.; Socoliuc, V.; Coseri, S. Affordable magnetic hydrogels prepared from biocompatible and biodegradable sources. Polymers 2021, 13, 1693. [Google Scholar] [CrossRef]
- Sobolev, K.; Kolesnikova, V.; Omelyanchik, A.; Alekhina, Y.; Antipova, V.; Makarova, L.; Peddis, D.; Raikher, Y.L.; Levada, K.; Amirov, A.; et al. Effect of Piezoelectric BaTiO3 Filler on Mechanical and Magnetoelectric Properties of Zn0.25Co0.75Fe2O4/PVDF-TrFE Composites. Polymers 2022, 14, 4807. [Google Scholar] [CrossRef]
- Kostrov, S.A.; Gorodov, V.V.; Muzafarov, A.M.; Kramarenko, E.Y. Comparative Analysis of Magnetorheological Effect in Soft Isotropic and Anisotropic Magnetoactive Elastomers. Polym. Sci. Ser. B 2022, 64, 888–896. [Google Scholar] [CrossRef]
- Rekošová, J.; Dosoudil, R.; Ušáková, M.; Ušák, E.; Hudec, I. Magnetopolymer composites with soft magnetic ferrite filler. IEEE Trans. Magn. 2013, 49, 38–41. [Google Scholar] [CrossRef]
- Filipcsei, G.; Csetneki, I.; Szilágyi, A.; Zrínyi, M. Magnetic field-responsive smart polymer composites. Adv. Polym. Sci. 2007, 206, 137–189. [Google Scholar] [CrossRef]
- Abramchuk, S.; Kramarenko, E.; Stepanov, G.; Nikitin, L.; Filipcsei, G.; Khokhlov, A.; Zrínyi, M. Novel highly elastic magnetic materials for dampers and seals: Part I. Preparation and characterization of the elastic materials. Polym. Adv. Technol. 2007, 18, 883–890. [Google Scholar] [CrossRef]
- Deuflhard, M.; Eberbeck, D.; Hietschold, P.; Wilharm, N.; Mühlberger, M.; Friedrich, R.; Alexiou, C.; Mayr, S. Magnetically responsive composites: Electron beam assisted magnetic nanoparticle arrest in gelatin hydrogels for bioactuation. Phys. Chem. Chem. Phys. 2019, 21, 14654–14662. [Google Scholar] [CrossRef]
- Ikhaddalene, S.; Zibouche, F.; Ponton, A.; Irekti, A.; Carn, F. Synthesis and rheological properties of magnetic chitosan hydrogel. Period. Polytech. Chem. Eng. 2021, 65, 378–388. [Google Scholar] [CrossRef]
- Stepanov, G.V.; Borin, D.Y.; Kramarenko, E.Y.; Bogdanov, V.V.; Semerenko, D.A.; Storozhenko, P.A. Magnetoactive elastomer based on magnetically hard filler: Synthesis and study of viscoelastic and damping properties. Polym. Sci. Ser. A 2014, 56, 603–613. [Google Scholar] [CrossRef]
- Kuznetsova, I.E.; Kolesov, V.V.; Zaitsev, B.D.; Fionov, A.S.; Shihabudinov, A.M.; Stepanov, G.V.; Kramarenko, E.Y. Electrophysical and acoustic properties of magnetic elastomers structured by an external magnetic field. Bull. Russ. Acad. Sci. Phys. 2017, 81, 945–949. [Google Scholar] [CrossRef]
- Lee, J.; Song, H.W.; Nguyen, K.T.; Kim, S.; Nan, M.; Park, J.O.; Go, G.; Choi, E. Magnetically Actuated Microscaffold with Controllable Magnetization and Morphology for Regeneration of Osteochondral Tissue. Micromachines 2023, 14, 434. [Google Scholar] [CrossRef]
- Borin, D.Y.; Odenbach, S. Initial magnetic susceptibility of the diluted magnetopolymer elastic composites. J. Magn. Magn. Mater. 2017, 431, 115–119. [Google Scholar] [CrossRef]
- Zhang, C.; Liu, S.; Wei, F.; Dong, L.; Zhao, D.; Ou, Y. Magnetodielectric Properties of Ordered Microstructured Polydimethylsiloxane-Based Magnetorheological Elastomer with Fe3O4@rGO Nanoparticles. Polymers 2023, 15, 941. [Google Scholar] [CrossRef]
- Ambarov, A.V.; Zverev, V.S.; Elfimova, E.A. Influence of field amplitude and dipolar interactions on the dynamic response of immobilized magnetic nanoparticles: Perpendicular mutual alignment of an alternating magnetic field and the easy axes. Phys. Rev. E 2023, 107, 024601. [Google Scholar] [CrossRef]
- Draack, S.; Viereck, T.; Nording, F.; Janssen, K.J.; Schilling, M.; Ludwig, F. Determination of dominating relaxation mechanisms from temperature-dependent Magnetic Particle Spectroscopy measurements. J. Magn. Magn. Mater. 2019, 474, 570–573. [Google Scholar] [CrossRef]
- Déjardin, P.M. Magnetic relaxation of a system of superparamagnetic particles weakly coupled by dipole-dipole interactions. J. Appl. Phys. 2011, 110, 113921. [Google Scholar] [CrossRef]
- Ambarov, A.V.; Zverev, V.S.; Elfimova, E.A. Dynamic response of interacting superparamagnetic particles with aligned easy magnetization axes. J. Magn. Magn. Mater. 2020, 497, 166010. [Google Scholar] [CrossRef]
- Ambarov, A.V.; Zverev, V.S.; Elfimova, E.A. Numerical modeling of the magnetic response of interacting superparamagnetic particles to an ac field with arbitrary amplitude. Model. Simul. Mater. Sci. Eng. 2020, 28, 085009. [Google Scholar] [CrossRef]
- Elrefai, A.L.; Enpuku, K.; Yoshida, T. Effect of easy axis alignment on dynamic magnetization of immobilized and suspended magnetic nanoparticles. J. Appl. Phys. 2021, 129, 093905. [Google Scholar] [CrossRef]
- Raikher, Y.L.; Stepanov, V.I. Nonlinear dynamic susceptibilities and field-induced birefringence in magnetic particle assemblies. Adv. Chem. Phys. 2004, 129, 419–588. [Google Scholar]
- Elfimova, E.A.; Ivanov, A.O.; Camp, P.J. Static magnetization of immobilized, weakly interacting, superparamagnetic nanoparticles. Nanoscale 2019, 11, 21834–21846. [Google Scholar] [CrossRef]
- Ivanov, A.O.; Elfimova, E.A. Static magnetic properties of an ensemble of immobilized superparamagnetic particles with aligned easy magnetization axes. Magnetohydrodynamics 2019, 55, 59–64. [Google Scholar] [CrossRef]
- Elfimova, E.A.; Iskakova, L.Y.; Solovyova, A.Y.; Zubarev, A.Y. Theory of static magnetization of magnetopolymer composites: The second virial approximation. Phys. Rev. E 2021, 104, 054616. [Google Scholar] [CrossRef]
- Enpuku, K.; Yoshida, T. Expression for hysteresis loss of immobilized magnetic nanoparticles in a wide range of particle parameters and excitation conditions: Parameter optimization for hyperthermia application. AIP Adv. 2021, 11, 125123. [Google Scholar] [CrossRef]
- Zubarev, A. Magnetic hyperthermia in a system of ferromagnetic particles, frozen in a carrier medium: Effect of interparticle interactions. Phys. Rev. E 2018, 98, 032610. [Google Scholar] [CrossRef]
- Raikher, Y. The magnetization cirve of a textured ferrofluid. JMMM 1983, 39, 11–13. [Google Scholar] [CrossRef]
- Radushnov, D.; Solovyova, A.Y.; Elfimova, E.A. Structure and magnetization of a magnetoactive ferrocomposite. Nanoscale 2022, 14, 10493–10505. [Google Scholar] [CrossRef] [PubMed]
- Solovyova, A.Y.; Elfimova, E.A.; Ivanov, A.O. Magnetic properties of textured ferrocomposite consisting of immobilized superparamagnetic nanoparticles. Phys. Rev. E 2021, 104, 064616. [Google Scholar] [CrossRef]
- Zubarev, A. Magnetodeformation of ferrogels and ferroelastomers. Effect of microstructure of the particles’ spatial disposition. Phys. Stat. Mech. Its Appl. 2013, 392, 4824–4836. [Google Scholar] [CrossRef]
- Ivanov, A.O.; Ludwig, F. Static magnetic response of multicore particles. Phys. Rev. E 2020, 102, 32603. [Google Scholar] [CrossRef] [PubMed]
- Solovyova, A.; Sokolsky, S.; Elfimova, E.; Ivanov, A. The thermodynamic properties of soft magnetic materials containing superparamagnetic nanoparticles frozen in the nodes of the regular cubic lattice. J. Nanoparticle Res. 2021, 23, 139. [Google Scholar] [CrossRef]
- Solovyova, A.; Sokolsky, S.; Elfimova, E.; Solovyova, A.; Sokolsky, S.; Elfimova, E. The ensemble of immobilized superparamagnetic nanoparticles: The role of the spatial distribution in the sample spatial distribution in the sample. Soft Mater. 2021, 20, S1–S9. [Google Scholar] [CrossRef]
- Solovyova, A.Y.; Kuznetsov, A.A.; Elfimova, E.A. Interparticle Correlations in the Simple Cubic Lattice of Ferroparticles: Theory and Computer Simulations. Phys. A 2020, 558, 124923. [Google Scholar] [CrossRef]
- Ivanov, A.O.; Elfimova, E.A. Low-temperature magnetic susceptibility of concentrated ferrofluids: The influence of polydispersity. J. Magn. Magn. Mater. 2015, 374, 327–332. [Google Scholar] [CrossRef]
- Sorokin, V.V.; Stepanov, G.V.; Shamonin, M.; Monkman, G.J.; Khokhlov, A.R.; Kramarenko, E.Y. Hysteresis of the viscoelastic properties and the normal force in magnetically and mechanically soft magnetoactive elastomers: Effects of filler composition, strain amplitude and magnetic field. Polymer 2015, 76, 191–202. [Google Scholar] [CrossRef]
- Wang, A.; Li, J.; Gao, R. The structural force arising from magnetic interactions in polydisperse ferrofluids. Appl. Phys. Lett. 2009, 94, 212501. [Google Scholar] [CrossRef]
- Siebert, E.; Dupuis, V.; Neveu, S.; Odenbach, S. Rheological investigations on the theoretical predicted “poisoning” effect in bidisperse ferrofluids. J. Magn. Magn. Mater. 2015, 374, 44–49. [Google Scholar] [CrossRef]
- Elfimova, E.; Ivanov, A.; Popescu, L.; Socoliuc, V. Transverse magneto-optical anisotropy in bidisperse ferrofluids with long range particle correlations. J. Magn. Magn. Mater. 2017, 431, 54–58. [Google Scholar] [CrossRef]
- Elfimova, E.A.; Ivanov, A.O.; Lakhtina, E.V.; Pshenichnikov, A.F.; Camp, P.J. Sedimentation equilibria in polydisperse ferrofluids: Critical comparisons between experiment, theory, and computer simulation. Soft Matter 2016, 12, 4103–4112. [Google Scholar] [CrossRef] [PubMed]
- Odenbach, S. Magnetic fluids. In Magnetoviscous Effects in Ferrofluids; Springer: Berlin/Heidelberg, Germany, 2002; pp. 7–32. [Google Scholar] [CrossRef]
- Allen, M.; Tildesley, D. Computer Simulation of Liquids; Oxford Science Publishing: Oxford, UK; Clarendon Press: Oxford, UK, 1989. [Google Scholar]
- Frenkel, D.; Smit, B. Understanding Molecular Simulation: From Algorithms to Applications; Academic Press: Cambridge, MA, USA, 2001. [Google Scholar]













| Fraction | , nm | (20 kA/m) | (40 kA/m) | (80 kA/m) | ||
|---|---|---|---|---|---|---|
| Small | 5 | 3.236 | 0.1355 | 0.1627 | 0.3253 | 0.6506 |
| Large | 10 | 25.887 | 1.0843 | 1.3012 | 2.6024 | 5.2048 |
| Parameter | ||||||
|---|---|---|---|---|---|---|
| 512 | 410 | 256 | 102 | 0 | ||
| 0 | 102 | 256 | 410 | 512 | ||
| 0.125 | 0.0418 | 0.0139 | 0.0038 | 0.000 | ||
| 0.000 | 0.0832 | 0.1111 | 0.1212 | 0.125 | ||
| 0.1355 | 0.0452 | 0.0151 | 0.0041 | 0.000 | ||
| 0.000 | 0.7229 | 0.9639 | 1.0515 | 1.08 | ||
| L | 12.896 | 17.253 | 21.291 | 24.197 | 25.792 | |
| 0.300 | 0.1003 | 0.0333 | 0.0090 | 0.000 | ||
| 0.000 | 0.1997 | 0.2667 | 0.2910 | 0.300 | ||
| 0.325 | 0.1087 | 0.036 | 0.0098 | 0.000 | ||
| 0.000 | 1.732 | 2.3132 | 2.524 | 2.602 | ||
| L | 9.632 | 12.886 | 15.902 | 18.072 | 19.264 |
Disclaimer/Publisher’s Note: The statements, opinions and data contained in all publications are solely those of the individual author(s) and contributor(s) and not of MDPI and/or the editor(s). MDPI and/or the editor(s) disclaim responsibility for any injury to people or property resulting from any ideas, methods, instructions or products referred to in the content. |
© 2023 by the authors. Licensee MDPI, Basel, Switzerland. This article is an open access article distributed under the terms and conditions of the Creative Commons Attribution (CC BY) license (https://creativecommons.org/licenses/by/4.0/).
Share and Cite
Radushnov, D.I.; Solovyova, A.Y.; Elfimova, E.A. Effect of Polydispersity on the Structural and Magnetic Properties of a Magnetopolymer Composite. Polymers 2023, 15, 2678. https://doi.org/10.3390/polym15122678
Radushnov DI, Solovyova AY, Elfimova EA. Effect of Polydispersity on the Structural and Magnetic Properties of a Magnetopolymer Composite. Polymers. 2023; 15(12):2678. https://doi.org/10.3390/polym15122678
Chicago/Turabian StyleRadushnov, Dmitry I., Anna Yu. Solovyova, and Ekaterina A. Elfimova. 2023. "Effect of Polydispersity on the Structural and Magnetic Properties of a Magnetopolymer Composite" Polymers 15, no. 12: 2678. https://doi.org/10.3390/polym15122678
APA StyleRadushnov, D. I., Solovyova, A. Y., & Elfimova, E. A. (2023). Effect of Polydispersity on the Structural and Magnetic Properties of a Magnetopolymer Composite. Polymers, 15(12), 2678. https://doi.org/10.3390/polym15122678

