Electrical and Mechanical Characterisation of Poly(ethylene)oxide-Polysulfone Blend for Composite Structural Lithium Batteries
Abstract
1. Introduction
2. Materials and Methods
2.1. Materials
2.2. Sample Characterisation
3. Results and Discussion
3.1. X-ray Diffraction Analysis
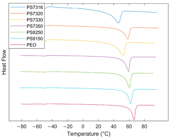
3.2. Differential Scanning Calorimetry Analysis
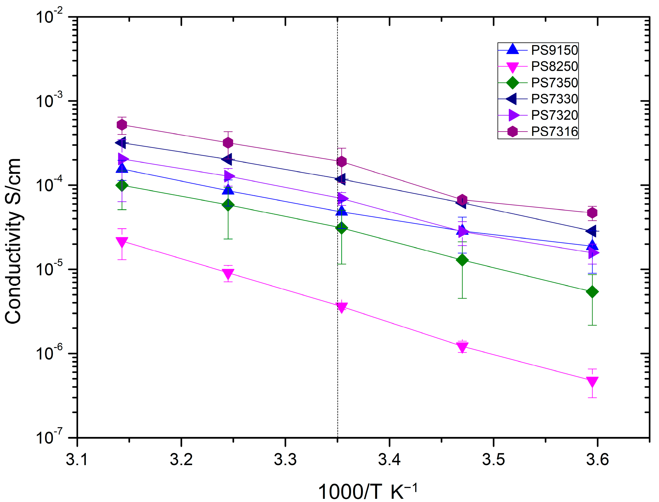
3.3. Electrochemical Impedance Spectroscopy Analysis
3.4. Fourier-Transform Infrared Spectroscopy Analysis
3.5. Micro-Tensile Testing
3.6. Contact Angle
4. Conclusions
- The addition of PSf and LiTFSI improves the mechanical and electrical properties of PEO and makes it more hydrophilic;
- DSC suggests the presence of multiple phases, based on deductions from additional characterisation results;
- The best combinations are: PS9150, with 4.83 × 10−5 S/cm at room temperature, a maximum stress of 19.2 MPa and a Young’s modulus of 1410 MPa, and PS7330, with 1.18 × 10−4 S/cm at room temperature, a maximum stress of 10.02 MPa, and a Young’s modulus of 820 MPa;
- There is a threshold in the amount of LiTFSI that can be added to still have good mechanical properties as suggested by the PS7316 composition, which showed a brittle failure and significantly lower modulus and maximum stress compared to all other compositions.
Author Contributions
Funding
Institutional Review Board Statement
Data Availability Statement
Conflicts of Interest
References
- Yuan, H.; Ding, X.; Liu, T.; Nai, J.; Wang, Y.; Liu, Y.; Liu, C.; Tao, X. A review of concepts and contributions in lithium metal anode development. Mater. Today 2022, 53, 173–196. [Google Scholar] [CrossRef]
- Liu, Q.; Hu, Y.; Yu, X.; Qin, Y.; Meng, T.; Hu, X. The pursuit of commercial silicon-based microparticle anodes for advanced lithium-ion batteries: A review. Nano Res. Energy 2022, 1, e9120037. [Google Scholar] [CrossRef]
- Zhao, Q.; Stalin, S.; Zhao, C.-Z.; Archer, L.A. Designing solid-state electrolytes for safe, energy-dense batteries. Nat. Rev. Mater. 2020, 5, 229–252. [Google Scholar] [CrossRef]
- Famprikis, T.; Canepa, P.; Dawson, J.A.; Islam, M.S.; Masquelier, C. Fundamentals of inorganic solid-state electrolytes for batteries. Nat. Mater. 2019, 18, 1278–1291. [Google Scholar] [CrossRef] [PubMed]
- Xiang, J.; Wei, Y.; Zhong, Y.; Yang, Y.; Cheng, H.; Yuan, L.; Xu, H.; Huang, Y. Building Practical High-Voltage Cathode Materials for Lithium-Ion Batteries. Adv. Mater. 2022, 34, 2200912. [Google Scholar] [CrossRef] [PubMed]
- Peng, J.; Zhang, W.; Liu, Q.; Wang, J.; Chou, S.; Liu, H.; Dou, S. Prussian Blue Analogues for Sodium-Ion Batteries: Past, Present, and Future. Adv. Mater. 2022, 34, 2108384. [Google Scholar] [CrossRef]
- Feng, X.; Fang, H.; Wu, N.; Liu, P.; Jena, P.; Nanda, J.; Mitlin, D. Review of modification strategies in emerging inorganic solid-state electrolytes for lithium, sodium, and potassium batteries. Joule 2022, 6, 543–587. [Google Scholar] [CrossRef]
- Jin, T.; Singer, G.; Liang, K.; Yang, Y. Structural batteries: Advances, challenges and perspectives. Mater. Today 2022, 62, 151–167. [Google Scholar] [CrossRef]
- Shi, C.; Yu, M. Flexible solid-state lithium-sulfur batteries based on structural designs. Energy Storage Mater. 2023, 57, 429–459. [Google Scholar] [CrossRef]
- Homann, G.; Stolz, L.; Nair, J.; Laskovic, I.C.; Winter, M.; Kasnatscheew, J. Poly(Ethylene Oxide)-based Electrolyte for Solid-State-Lithium-Batteries with High Voltage Positive Electrodes: Evaluating the Role of Electrolyte Oxidation in Rapid Cell Failure. Sci. Rep. 2020, 10, 4390. [Google Scholar] [CrossRef]
- Moreno, M.; Quijada, R.; Ana, M.A.S.; Benavente, E.; Gomez-Romero, P.; González, G. Electrical and mechanical properties of poly(ethylene oxide)/intercalated clay polymer electrolyte. Electrochim. Acta 2011, 58, 112–118. [Google Scholar] [CrossRef]
- Li, J.; Zhu, K.; Yao, Z.; Qian, G.; Zhang, J.; Yan, K.; Wang, J. A promising composite solid electrolyte incorporating LLZO into PEO/PVDF matrix for all-solid-state lithium-ion batteries. Ionics 2020, 26, 1101–1108. [Google Scholar] [CrossRef]
- Lee, J.; Rottmayer, M.; Huang, H. Impacts of Lithium Salts on the Thermal and Mechanical Characteristics in the Lithiated PEO/LAGP Composite Electrolytes. J. Compos. Sci. 2022, 6, 12. [Google Scholar] [CrossRef]
- Ji, K.-S.; Moon, H.-S.; Kim, J.-W.; Park, J.-W. Role of functional nano-sized inorganic fillers in poly(ethylene) oxide-based polymer electrolytes. J. Power Sources 2003, 117, 124–130. [Google Scholar] [CrossRef]
- Tambelli, C.; Bloise, A.; Rosário, A.; Pereira, E.; Magon, C.; Donoso, J. Characterisation of PEO–Al2O3 composite polymer electrolytes. Electrochim. Acta 2002, 47, 1677–1682. [Google Scholar] [CrossRef]
- Wen, J.; Zhao, Q.; Jiang, X.; Ji, G.; Wang, R.; Lu, G.; Long, J.; Hu, N.; Xu, C. Graphene Oxide Enabled Flexible PEO-Based Solid Polymer Electrolyte for All-Solid-State Lithium Metal Battery. ACS Appl. Energy Mater. 2021, 4, 3660–3669. [Google Scholar] [CrossRef]
- Zhao, Y.; Wu, C.; Peng, G.; Chen, X.; Yao, X.; Bai, Y.; Wu, F.; Chen, S.; Xu, X. A new solid polymer electrolyte incorporating Li10GeP2S12 into a polyethylene oxide matrix for all-solid-state lithium batteries. J. Power Sources 2016, 301, 47–53. [Google Scholar] [CrossRef]
- Zhao, Y.; Huang, Z.; Chen, S.; Chen, B.; Yang, J.; Zhang, Q.; Ding, F.; Chen, Y.; Xu, X. A promising PEO/LAGP hybrid electrolyte prepared by a simple method for all-solid-state lithium batteries. Solid State Ion. 2016, 295, 65–71. [Google Scholar] [CrossRef]
- Li, Y.; Sun, Z.; Liu, D.; Gao, Y.; Wang, Y.; Bu, H.; Li, M.; Zhang, Y.; Gao, G.; Ding, S. A composite solid polymer electrolyte incorporating MnO2 nanosheets with reinforced mechanical properties and electrochemical stability for lithium metal batteries. J. Mater. Chem. A 2020, 8, 2021–2032. [Google Scholar] [CrossRef]
- Lee, J.; Howell, T.; Rottmayer, M.; Boeckl, J.; Huang, H. Free-Standing PEO/LiTFSI/LAGP Composite Electrolyte Membranes for Applications to Flexible Solid-State Lithium-Based Batteries. J. Electrochem. Soc. 2019, 166, A416–A422. [Google Scholar] [CrossRef]
- Xue, Z.; He, D.; Xie, X. Poly(ethylene oxide)-based electrolytes for lithium-ion batteries. J. Mater. Chem. A 2015, 3, 19218–19253. [Google Scholar] [CrossRef]
- Tao, C.; Gao, M.-H.; Yin, B.-H.; Li, B.; Huang, Y.-P.; Xu, G.; Bao, J.-J. A promising TPU/PEO blend polymer electrolyte for all-solid-state lithium ion batteries. Electrochim. Acta 2017, 257, 31–39. [Google Scholar] [CrossRef]
- Xu, Y.; Li, J.; Li, W. Evolution in electrochemical performance of the solid blend polymer electrolyte (PEO/PVDF) with the content of ZnO nanofiller. Colloids Surf. A Physicochem. Eng. Asp. 2022, 632, 127773. [Google Scholar] [CrossRef]
- Zhang, X.; Sun, Y.; Ma, C.; Guo, N.; Fan, H.; Liu, J.; Xie, H. Li6.4La3Zr1.4Ta0.6O12 Reinforced Polystyrene-Poly(ethylene oxide)-Poly(propylene oxide)-Poly(ethylene oxide)-Polystyrene pentablock copolymer-based composite solid electrolytes for solid-state lithium metal batteries. J. Power Sources 2022, 542, 231797. [Google Scholar] [CrossRef]
- Schneider, L.M.; Ihrner, N.; Zenkert, D.; Johansson, M. Bicontinuous Electrolytes via Thermally Initiated Polymerization for Structural Lithium Ion Batteries. ACS Appl. Energy Mater. 2019, 2, 4362–4369. [Google Scholar] [CrossRef]
- Lu, Q.; Fang, J.; Yang, J.; Yan, G.; Liu, S.; Wang, J. A novel solid composite polymer electrolyte based on poly(ethylene oxide) segmented polysulfone copolymers for rechargeable lithium batteries. J. Membr. Sci. 2013, 425–426, 105–112. [Google Scholar] [CrossRef]
- Xu, L.; Wei, K.; Cao, Y.; Ma, S.; Li, J.; Zhao, Y.; Cui, Y.; Cui, Y. The synergistic effect of the PEO–PVA–PESf composite polymer electrolyte for all-solid-state lithium-ion batteries. RSC Adv. 2020, 10, 5462–5467. [Google Scholar] [CrossRef]
- Gucci, F.; Grasso, M.; Shaw, C.; Leighton, G.; Rodriguez, V.M.; Brighton, J. PEO-based polymer blend electrolyte for composite structural battery. Polym. Technol. Mater. 2023, 62, 1019–1028. [Google Scholar] [CrossRef]
- Martuscelli, E.; Silvestre, C.; Addonizio, M.L.; Amelino, L. Phase structure and compatibility studies in poly(ethylene oxide)/poly(methyl methacrylate) blends. Die Makromol. Chem. 1986, 187, 1557–1571. [Google Scholar] [CrossRef]
- Vrandečić, N.S.; Erceg, M.; Jakić, M.; Klarić, I. Kinetic analysis of thermal degradation of poly(ethylene glycol) and poly(ethylene oxide)s of different molecular weight. Thermochim. Acta 2010, 498, 71–80. [Google Scholar] [CrossRef]
- ASTM Standard D882-18; Standard Test Method for Tensile Properties of Thin Plastic Sheeting. ASTM International: West Conshohocken, PA, USA, 2018.
- Tien, N.-D.; Nishikawa, Y.; Hashimoto, M.; Tosaka, M.; Sasaki, S.; Sakurai, S. Three-dimensional analyses of spherulite morphology in poly(oxyethylene) and its blends with amorphous poly(d,l-lactic acid) using X-ray computerized tomography. Polym. J. 2015, 47, 37–44. [Google Scholar] [CrossRef]
- Vadhva, P.; Hu, J.; Johnson, M.J.; Stocker, R.; Braglia, M.; Brett, D.J.L.; Rettie, A.J.E. Electrochemical Impedance Spectroscopy for All-Solid-State Batteries: Theory, Methods and Future Outlook. ChemElectroChem 2021, 8, 1930–1947. [Google Scholar] [CrossRef]
- Qian, X.; Gu, N.; Cheng, Z.; Yang, X.; Wang, E.; Dong, S. Impedance study of (PEO)10LiClO4–Al2O3 composite polymer electrolyte with blocking electrodes. Electrochim. Acta 2001, 46, 1829–1836. [Google Scholar] [CrossRef]
- Bandeira, M.C.E.; Franco, C.V.; Martini, E. Electrochemical impedance spectroscopy of poly{pyrrole-trans-[(RuCl2(pmp)4]} copolymer films deposited on platinum electrodes. J. Solid State Electrochem. 1999, 3, 210–214. [Google Scholar] [CrossRef]
- Marzantowicz, M.; Dygas, J.; Krok, F.; Łasińska, A.; Florjańczyk, Z.; Zygadło-Monikowska, E.; Affek, A. Crystallization and melting of PEO:LiTFSI polymer electrolytes investigated simultaneously by impedance spectroscopy and polarizing microscopy. Electrochim. Acta 2005, 50, 3969–3977. [Google Scholar] [CrossRef]
- Marzantowicz, M.; Dygas, J.; Krok, F.; Florjańczyk, Z.; Zygadło-Monikowska, E. Influence of crystalline complexes on electrical properties of PEO:LiTFSI electrolyte. Electrochim. Acta 2007, 53, 1518–1526. [Google Scholar] [CrossRef]
- Dhatarwal, P.; Sengwa, R.J. Polymer Compositional Ratio-Dependent Morphology, Crystallinity, Dielectric Dispersion, Structural Dynamics, and Electrical Conductivity of PVDF/PEO Blend Films. Macromol. Res. 2019, 27, 1009–1023. [Google Scholar] [CrossRef]
- Faisal, K.S.; Clulow, A.J.; MacWilliams, S.V.; Gillam, T.A.; Austin, A.; Krasowska, M.; Blencowe, A. Microstructure—Thermal Property Relationships of Poly (Ethylene Glycol-b-Caprolactone) Copolymers and Their Micelles. Polymers 2022, 14, 4365. [Google Scholar] [CrossRef]
- Croce, F.; Appetecchi, G.B.; Persi, L.; Scrosati, B. Nanocomposite polymer electrolytes for lithium batteries. Nature 1998, 394, 456–458. [Google Scholar] [CrossRef]
- Wang, H.; Cui, X.; Zhang, C.; Gao, H.; Du, W.; Chen, Y. Promotion of Ionic Conductivity of PEO-Based Solid. Polymers 2020, 12, 1889. [Google Scholar] [CrossRef]
- Andrews, W.T.; Liebig, A.; Cook, J.; Marsh, P.; Ciocanel, C.; Lindberg, G.E.; Browder, C.C. Development of a PEO-based lithium ion conductive epoxy resin polymer electrolyte. Solid State Ion. 2018, 326, 150–158. [Google Scholar] [CrossRef]
- Rey, I.; Lassègues, J.; Grondin, J.; Servant, L. Infrared and Raman study of the PEO-LiTFSI polymer electrolyte. Electrochim. Acta 1998, 43, 1505–1510. [Google Scholar] [CrossRef]
- Waly, A.; Abdelghany, A.; Tarabiah, A. Study the structure of selenium modified polyethylene oxide/polyvinyl alcohol (PEO/PVA) polymer blend. J. Mater. Res. Technol. 2021, 14, 2962–2969. [Google Scholar] [CrossRef]
- Kim, K.; Kuhn, L.; Alabugin, I.V.; Hallinan, D.T.J. Lithium Salt Dissociation in Diblock Copolymer Electrolyte Using Fourier Transform Infrared Spectroscopy. Front. Energy Res. 2020, 8, 569442. [Google Scholar] [CrossRef]
- Wen, S.; Richardson, T.; Ghantous, D.; Striebel, K.; Ross, P.; Cairns, E. FTIR characterization of PEO+LiN(CF3SO2)2 electrolytes. J. Electroanal. Chem. 1996, 408, 113–118. [Google Scholar] [CrossRef]
- Kiefer, J.; Fries, J.; Leipertz, A. Experimental Vibrational Study of Imidazolium-Based Ionic Liquids: Raman and Infrared Spectra of 1-Ethyl-3-methylimidazolium bis(Trifluoromethylsulfonyl)imide and 1-Ethyl-3-methylimidazolium Ethylsulfate. Appl. Spectrosc. 2007, 61, 1306–1311. [Google Scholar] [CrossRef]
- Yu, F.; Prashantha, K.; Soulestin, J.; Lacrampe, M.-F.; Krawczak, P. Plasticized-starch/poly(ethylene oxide) blends prepared by extrusion. Carbohydr. Polym. 2013, 91, 253–261. [Google Scholar] [CrossRef]
- Wang, W.; Bushby, A.J.; Barber, A.H. Nanomechanical thermal analysis of electrospun polymer fibers. Appl. Phys. Lett. 2008, 93, 201907. [Google Scholar] [CrossRef]
- Jee, A.-Y.; Lee, H.; Lee, Y.; Lee, M. Determination of the elastic modulus of poly(ethylene oxide) using a photoisomerizing dye. Chem. Phys. 2013, 422, 246–250. [Google Scholar] [CrossRef]
- Farooqui, U.U.R.; Ahmad, A.L.; Hameed, N.A. Influence of Solvent and Thickness Variation on the Performance of Poly(Vinylidene Fluoride-co-hexafluoropropylene) Polymer Membrane. J. Phys. Sci. 2018, 29, 125–132. [Google Scholar] [CrossRef]
- Willott, J.D.; Lindhoud, S.; de Vos, W.M. Hot-pressing polyelectrolyte complexes into tunable dense saloplastics. Polymer 2022, 242, 124583. [Google Scholar] [CrossRef]
- Li, J.; van Ewijk, G.; van Dijken, D.J.; de Vos, W.M.; van der Gucht, J. A comparison of complexation induced brittleness in PEI/PSS and PEI/NaPSS single-step coatings. Colloids Surf. A Physicochem. Eng. Asp. 2022, 648, 129143. [Google Scholar] [CrossRef]
- Olmos, D.; Prolongo, S.; González-Benito, J. Thermo-mechanical properties of polysulfone based nanocomposites with well dispersed silica nanoparticles. Compos. Part B Eng. 2014, 61, 307–314. [Google Scholar] [CrossRef]
- Monticelli, O.; Bottino, A.; Scandale, I.; Capannelli, G.; Russo, S. Preparation and properties of polysulfone–clay composite membranes. J. Appl. Polym. Sci. 2007, 103, 3637–3644. [Google Scholar] [CrossRef]
- Zhou, J.; Zheng, Y.; Shan, G.; Bao, Y.; Wang, W.-J.; Pan, P. Stretch-induced crystalline structural evolution and cavitation of poly(butylene adipate-ran-butylene terephthalate)/poly(lactic acid) immiscible blends. Polymer 2020, 188, 122121. [Google Scholar] [CrossRef]
- Charfeddine, I.; Majeste, J.; Carrot, C.; Lhost, O. Predicting the Young’s modulus and the impact strength of immiscible polyolefin blends. Polymer 2020, 204, 122795. [Google Scholar] [CrossRef]
- Ramírez, R.; Olayo, M.G.; Palacios, J.C.; Flores, F.G.; Torres, M.G.; Orozco, E.C.; Valdivia, R.; Cruz, G.J. Hydrophilicity of electrospun microfibers of polyethylene oxide with semisoluble polyaniline for biological applications. J. Appl. Polym. Sci. 2021, 138, 50740. [Google Scholar] [CrossRef]
- Wahab, M.S.A.; Rahman, S.A.; Abu Samah, R. Hydrophilic enhancement of Polysulfone membrane via Graphene Oxide embedded thin film nanocomposite for Isopropanol dehydration. Vacuum 2020, 180, 109569. [Google Scholar] [CrossRef]










| Samples Composition | Sample Code Names |
|---|---|
| PEO–PSf 90-10 having EO/Li = 50/1 | PS9150 |
| PEO–PSf 80-20 having EO/Li = 50/1 | PS8250 |
| PEO–PSf 70-30 having EO/Li = 50/1 | PS7350 |
| PEO–PSf 70-30 having EO/Li = 30/1 | PS7330 |
| PEO–PSf 70-30 having EO/Li = 20/1 | PS7320 |
| PEO–PSf 70-30 having EO/Li = 16/1 | PS7316 |
| Sample | , Crystallization Peak Temperature (°C) | , Melting Peak Temperature (°C) | , Glass Transition Temperature (°C) | , Enthalpy of Melting (J/g) | , Crystallinity DSC | , Crystallinity XRD |
|---|---|---|---|---|---|---|
| PEO | 47.73 | 66.56 | −47.70 | 130.6 | 63.71% | 68% |
| PS9150 | 42.12 | 64.03 | −47.76 | 125 | 60.98% | 61.8% |
| PS8250 | 40.38 | 60.36 | −47.60 | 102 | 49.76% | 49.00% |
| PS7350 | 38.73 | 59.3 | −47.64 | 87.15 | 42.51% | 44.40% |
| PS7330 | 31.78 | 51.93 | −47.69 | 56.79 | 27.70% | 43.90% |
| PS7320 | 36.60 | 58.15 | −47.71 | 83.93 | 40.94% | 39.00% |
| PS7316 | 27.63 | 46.21 | −47.84 | 48.05 | 23.44% | 35.60% |
| Wavenumber (cm−1) | Vibration Modes |
|---|---|
| 840–850 | CH2 rocking |
| 865 | Benzene ring |
| 1030–1070 | SO2 |
| 1090 | C-O-C (crystalline) |
| 1193 | CF3 stretching |
| 1240–1280 | CH2 twisting |
| 1340–1359 | CH3 wagging |
| >3000 | O-H stretching (water) |
| SPE | EO:Li Ratio | E-RT (MPa) | at RT (MPa) | σ at RT (S/cm) | Ref. |
|---|---|---|---|---|---|
| PS9150 | 50:1 | 1410 | 19.20 | 4.83 × 10−5 | - |
| PS7330 | 30:1 | 820 | 10.03 | 1.18 × 10−4 | - |
| PEO with 1% wt GO | 20:1 | - | 1.31 | 1.5 × 10−6 | [16] |
| PEO–PVdF with 2% wt ZnO | 10:1 | - | 2.35 | 6 × 10−5 | [23] |
| PEO/PSf copolymer with succinotrile | 8:1 | - | 14.7 | 10−7 | [26] |
| PEO–PESf–PVC | 16:1 | - | - | 10−5 | [27] |
| PEO–LiTFSI–LAGP60 | 20:1 | 103.4 | 2.3 | 2 × 10−6 | [20] |
| PEO–LiBF4–LAGP20 | 20:1 | 400 | 12 | [13] |
Disclaimer/Publisher’s Note: The statements, opinions and data contained in all publications are solely those of the individual author(s) and contributor(s) and not of MDPI and/or the editor(s). MDPI and/or the editor(s) disclaim responsibility for any injury to people or property resulting from any ideas, methods, instructions or products referred to in the content. |
© 2023 by the authors. Licensee MDPI, Basel, Switzerland. This article is an open access article distributed under the terms and conditions of the Creative Commons Attribution (CC BY) license (https://creativecommons.org/licenses/by/4.0/).
Share and Cite
Gucci, F.; Grasso, M.; Russo, S.; Leighton, G.J.T.; Shaw, C.; Brighton, J. Electrical and Mechanical Characterisation of Poly(ethylene)oxide-Polysulfone Blend for Composite Structural Lithium Batteries. Polymers 2023, 15, 2581. https://doi.org/10.3390/polym15112581
Gucci F, Grasso M, Russo S, Leighton GJT, Shaw C, Brighton J. Electrical and Mechanical Characterisation of Poly(ethylene)oxide-Polysulfone Blend for Composite Structural Lithium Batteries. Polymers. 2023; 15(11):2581. https://doi.org/10.3390/polym15112581
Chicago/Turabian StyleGucci, Francesco, Marzio Grasso, Stefano Russo, Glenn J. T. Leighton, Christopher Shaw, and James Brighton. 2023. "Electrical and Mechanical Characterisation of Poly(ethylene)oxide-Polysulfone Blend for Composite Structural Lithium Batteries" Polymers 15, no. 11: 2581. https://doi.org/10.3390/polym15112581
APA StyleGucci, F., Grasso, M., Russo, S., Leighton, G. J. T., Shaw, C., & Brighton, J. (2023). Electrical and Mechanical Characterisation of Poly(ethylene)oxide-Polysulfone Blend for Composite Structural Lithium Batteries. Polymers, 15(11), 2581. https://doi.org/10.3390/polym15112581

