Numerical Study on the Unstable Flow Dynamics of Wormlike Micellar Solutions past a Sphere in the Creeping Flow Regime
Abstract
1. Introduction
2. Mathematical Model and Numerical Considerations
2.1. Mathematical Model
2.2. Numerical Methods
- For given initial fields of velocity u, pressure p and stress τ, the explicit calculations of the pressure gradient and the stress divergence are carried out, and subsequently, the momentum equation is solved implicitly for each component of the velocity vector, computing a new velocity field estimate u*.
- With the new velocity values u*, the new pressure field p* is estimated, and subsequently, the correction of the velocity is carried out, leading to a new velocity field u**, which satisfies the continuity equation. The SIMPLE algorithm is used to obtain p* and u**.
- With the corrected velocity field u**, the new estimate τ* for the stress tensor field is calculated by solving the specified constitutive equation.
- Steps 1, 2 and 3 are repeated recursively within each time step in order to generate more accurate solutions in transient flow. For this, u, p and τ are updated with u**, p* and τ*, respectively.
3. Results and Discussion
3.1. Mesh Independence Study
3.2. Model Validation
3.3. The Rheological Properties of the Constitutive Equations
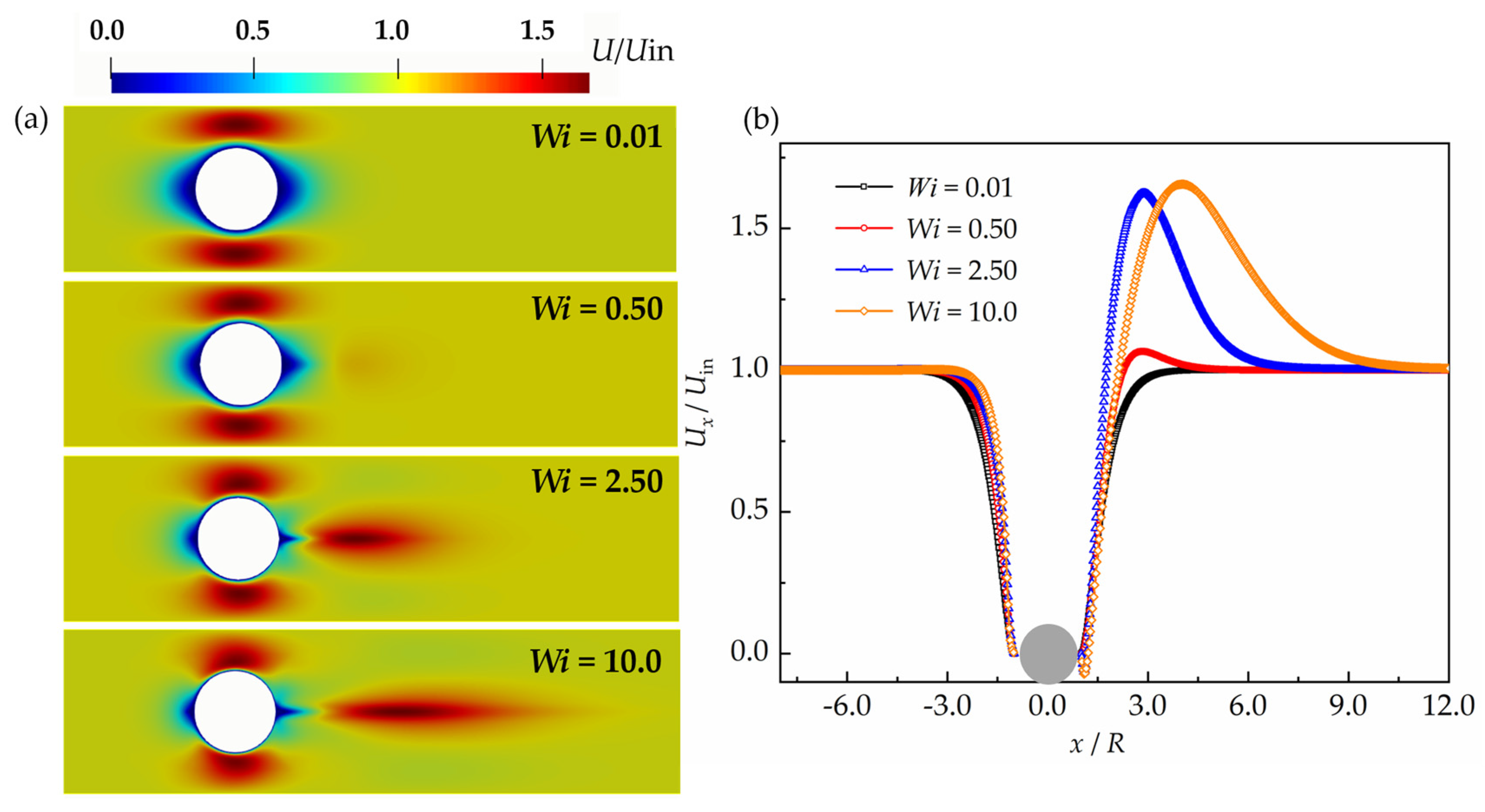
3.4. The Flow Dynamics around a Sphere
4. Conclusions
Author Contributions
Funding
Institutional Review Board Statement
Informed Consent Statement
Data Availability Statement
Acknowledgments
Conflicts of Interest
Nomenclature
| u | fluid velocity, m·s−1 |
| ρ | fluid density, kg·m−3 |
| t | time, s |
| p | pressure, Pa |
| I | unit identity tensor |
| τ | viscoelastic stress tensor, Pa |
| μS | viscosity from solvent contribution for viscoelastic fluids, Pa·s |
| G0 | elastic module of the micelles, Pa |
| nA,B | density number of long and short micellar chains |
| A, B | conformation tensor of long and short micellar chains |
| DA, B | diffusion coefficient of long and short micellar chains, m2·s−1 |
| cA, B | rupture and recombination rate of long and short micellar chains |
| cA,BEq | equilibrium rupture rate of micellar chains |
| λA,B | relaxation time of long and short micellar chains, s |
| ε | ratio of relaxation time of short to long micellar chains |
| μ | ratio of relaxation time of long micellar chains to effective relaxation time |
| strain rate, s−1 | |
| ξ | scission energy of long micelles |
| μp | shear viscosity of polymer, Pa·s |
| μp,e | extensional viscosity of polymer, Pa·s |
| Re | Reynolds number |
| Wi | Weissenberg number |
| Uin | inlet velocity of fluid, m·s−1 |
| λ | effective relaxation time, s |
| d | diameter of sphere, m |
| H | diameter of cylindrical channel, m |
| n | unit normal vector on the wall |
| CD | drag coefficient of the sphere |
| A | projected area of the sphere along the flow direction |
| I | unit identity tensor |
| ez | unit vector along the flow direction |
| GCI | grid convergence index |
| r | refinement ratio of the grid |
| p | order of the convergence of grid |
| e | relative error of quantities obtained from two grids |
| μr | ratio of polymer viscosity to zero shear viscosity |
| β | ratio of solvent viscosity to zero shear viscosity |
| τXX,XY | stress components, Pa |
References
- Kianinejad, A.; Saidian, M.; Mavaddat, M.; Ghazanfari, M.H.; Kharrat, R.; Rashtchian, D. Worm-like micelles: A new approach for heavy oil recovery from fractured systems. Can. J. Chem. Eng. 2015, 93, 951–958. [Google Scholar] [CrossRef]
- Feng, Y.; Chu, Z.; Dreiss, C.A. Smart Wormlike Micelles: Design, Characteristics and Applications; Springer: Berlin/Heidelberg, Germany, 2015. [Google Scholar]
- Dai, C.; Zhang, Y.; Gao, M.; Li, Y.; Lv, W.; Wang, X.; Wu, Y.; Zhao, M. The Study of a Novel Nanoparticle-Enhanced Wormlike Micellar System. Nanoscale Res. Lett. 2017, 12, 431. [Google Scholar] [CrossRef]
- Dreiss, C.A.; Feng, Y. Wormlike Micelles: Advances in Systems, Characterisation and Applications; Royal Society of Chemistry: London, UK, 2017. [Google Scholar]
- Wang, Z.G.; Wang, S.Z.; Xu, L.; Dou, Y.H.; Su, X.H. Extremely slow settling behavior of particles in dilute wormlike micellar fluid with broad spectrum of relaxation times. J. Dispers. Sci. Technol. 2020, 41, 639–647. [Google Scholar] [CrossRef]
- D’Avino, G.; Greco, F.; Maffettone, P.L. Particle Migration due to Viscoelasticity of the Suspending Liquid and Its Relevance in Microfluidic Devices. Annu. Rev. Fluid Mech. 2017, 49, 341–360. [Google Scholar] [CrossRef]
- D’Avino, G.; Maffettone, P.L. Particle dynamics in viscoelastic liquids. J. Non-Newton. Fluid Mech. 2015, 215((Suppl. C)), 80–104. [Google Scholar] [CrossRef]
- Akhshik, S.; Behzad, M.; Rajabi, M. CFD-DEM simulation of the hole cleaning process in a deviated well drilling: The effects of particle shape. Particuology 2016, 25, 72–82. [Google Scholar] [CrossRef]
- Subba, N.; Das, N.; Sen, P. Tracking Wormlike Micelle Formation in Solution: Unique Insight through Fluorescence Correlation Spectroscopic Study. Langmuir 2022, 38, 2486–2494. [Google Scholar] [CrossRef] [PubMed]
- Rothstein, J.P.; Mohammadigoushki, H. Complex flows of viscoelastic wormlike micelle solutions. J. Non-Newton. Fluid Mech. 2020, 285, 104382. [Google Scholar] [CrossRef]
- Sasmal, C. Unsteady motion past a sphere translating steadily in wormlike micellar solutions: A numerical analysis. J. Fluid Mech. 2021, 912, A52. [Google Scholar] [CrossRef]
- Khan, M.B.; Sasmal, C. Elastic instabilities and bifurcations in flows of wormlike micellar solutions past single and two vertically aligned microcylinders: Effect of blockage and gap ratios. Phys. Fluids 2021, 33, 033109. [Google Scholar] [CrossRef]
- Haward, S.J.; Kitajima, N.; Toda-Peters, K.; Takahashi, T.; Shen, A.Q. Flow of wormlike micellar solutions around microfluidic cylinders with high aspect ratio and low blockage ratio. Soft Matter 2019, 15, 1927–1941. [Google Scholar] [CrossRef]
- Zhao, Y.; Shen, A.Q.; Haward, S.J. Flow of wormlike micellar solutions around confined microfluidic cylinders. Soft Matter 2016, 12, 8666. [Google Scholar] [CrossRef] [PubMed]
- Qin, B.; Salipante, P.F.; Hudson, S.D.; Arratia, P.E. Upstream vortex and elastic wave in the viscoelastic flow around a confined cylinder. J. Fluid Mech. 2019, 864, R2. [Google Scholar] [CrossRef]
- Jayaraman, A.; Belmonte, A. Oscillations of a solid sphere falling through a wormlike micellar fluid. Phys. Rev. E 2003, 67, 065301. [Google Scholar] [CrossRef] [PubMed]
- Mohammadigoushki, H.; Muller, S.J. Sedimentation of a sphere in wormlike micellar fluids. J. Rheol. 2016, 60, 587–601. [Google Scholar] [CrossRef]
- Zhang, Y.; Muller, S.J. Unsteady sedimentation of a sphere in wormlike micellar fluids. Phys. Rev. Fluids 2018, 3, 043301. [Google Scholar] [CrossRef]
- Wu, S.; Mohammadigoushki, H. Flow of a model shear-thickening micellar fluid past a falling sphere. Phys. Rev. Fluids 2019, 4, 073303. [Google Scholar] [CrossRef]
- Wu, S.; Mohammadigoushki, H. Linear versus branched: Flow of a wormlike micellar fluid past a falling sphere. Soft Matter 2021, 17, 4395–4406. [Google Scholar] [CrossRef]
- Chen, S.; Rothstein, J.P. Flow of a wormlike micelle solution past a falling sphere. J. Non-Newton. Fluid Mech. 2004, 116, 205–234. [Google Scholar] [CrossRef]
- Vasquez, P.A.; McKinley, G.H.; Cook, L.P. A network scission model for wormlike micellar solutions—I. Model formulation and viscometric flow predictions. J. Non-Newton. Fluid Mech. 2007, 144, 122–139. [Google Scholar] [CrossRef]
- Pipe, C.J.; Kim, N.J.; Vasquez, P.A.; Cook, L.P.; McKinley, G.H. Wormlike micellar solutions: II. Comparison between experimental data and scission model predictions. J. Rheol. 2010, 54, 881–913. [Google Scholar] [CrossRef]
- Zhou, L.; McKinley, G.H.; Cook, L.P. Wormlike micellar solutions: III. VCM model predictions in steady and transient shearing flows. J. Non-Newton. Fluid Mech. 2014, 211, 70–83. [Google Scholar] [CrossRef]
- Yuan, D. Particle Migration in Viscoelastic Microfluidics. Ph.D. Thesis, University of Wollongong, Wollongong, Australia, 2018. [Google Scholar]
- Yu, Z.; Wang, P.; Lin, J.; Hu, H.H. Equilibrium positions of the elasto-inertial particle migration in rectangular channel flow of Oldroyd-B viscoelastic fluids. J. Fluid Mech. 2019, 868, 316–340. [Google Scholar] [CrossRef]
- Tian, F.; Zhang, W.; Cai, L.; Li, S.; Hu, G.; Cong, Y.; Liu, C.; Li, T.; Sun, J. Microfluidic co-flow of Newtonian and viscoelastic fluids for high-resolution separation of microparticles. Lab Chip 2017, 17, 3078–3085. [Google Scholar] [CrossRef]
- Siqueira, I.R.; Reboucas, R.B.; Carvalho, M.S. Particle migration and alignment in slot coating flows of elongated particle suspensions. AIChE J. 2017, 63, 3187–3198. [Google Scholar] [CrossRef]
- Liu, C.; Hu, G. High-Throughput Particle Manipulation Based on Hydrodynamic Effects in Microchannels. Micromachines 2017, 8, 73. [Google Scholar] [CrossRef]
- Pan, T.-W.; Glowinski, R. Numerical study of spheres settling in Oldroyd-B fluids. Phys. Fluids 2018, 30, 113102. [Google Scholar] [CrossRef]
- Fernandes, C.; Faroughi, S.A.; Carneiro, O.S.; Miguel Nobrega, J.; McKinley, G.H. Fully-resolved simulations of particle-laden viscoelastic fluids using an immersed boundary method. J. Non-Newton. Fluid Mech. 2019, 266, 80–94. [Google Scholar] [CrossRef]
- Su, X.; Zhang, C.; Xu, Z.; Jin, H.; Wang, Z. Study on particle settling behavior in viscoelastic surfactant solutions. CIESC J. 2022, 73, 1974–1985. [Google Scholar]
- Fernandes, C.; Faroughi, S.A.; Ribeiro, R.; Isabel, A.; McKinley, G.H. Finite volume simulations of particle-laden viscoelastic fluid flows: Application to hydraulic fracture processes. Eng. Comput. 2022, 38, 5395–5421. [Google Scholar] [CrossRef]
- Qin, S.; Jiang, M.; Ma, K.; Su, J.; Liu, Z. Fully resolved simulations of viscoelastic suspensions by an efficient immersed boundary-lattice Boltzmann method. Particuology 2023, 75, 26–49. [Google Scholar] [CrossRef]
- Khan, M.B.; Sasmal, C. Effect of chain scission on flow characteristics of wormlike micellar solutions past a confined microfluidic cylinder: A numerical analysis. Soft Matter 2020, 16, 5261–5272. [Google Scholar] [CrossRef]
- Khan, M.B.; Sasmal, C. Bifurcation in flows of wormlike micellar solutions past three vertically aligned microcylinders in a channel. Phys. Fluids 2022, 34, 054107. [Google Scholar] [CrossRef]
- Su, X.; Xu, Z.; Wang, Z.; Jin, H.; Wu, S.; Lu, Y. Data-driven closure model for the drag coefficient of the creeping flow past a translating sphere in a shear-thinning viscoelastic fluid. Powder Technol. 2022, 400, 117266. [Google Scholar] [CrossRef]
- Roache, P.J. Perspective—A method for uniform reporting of grid refinement studies. J. Fluids Eng.-Trans. Asme 1994, 116, 405–413. [Google Scholar] [CrossRef]
- Roache, P.J. Quantification of uncertainty in computational fluid dynamics. Annu. Rev. Fluid Mech. 1997, 29, 123–160. [Google Scholar] [CrossRef]
- Sosnowski, M. Evaluation of Heat Transfer Performance of a Multi-Disc Sorption Bed Dedicated for Adsorption Cooling Technology. Energies 2019, 12, 4660. [Google Scholar] [CrossRef]
- Sosnowski, M.; Krzywanski, J.; Scurek, R. A Fuzzy Logic Approach for the Reduction of Mesh-Induced Error in CFD Analysis: A Case Study of an Impinging Jet. Entropy 2019, 21, 1047. [Google Scholar] [CrossRef]
- D’Avino, G. Numerical simulations on the settling dynamics of an ellipsoidal particle in a viscoelastic fluid. J. Non-Newton. Fluid Mech. 2022, 310, 104947. [Google Scholar] [CrossRef]









| Index | Grids Adopted in Simulations | Extensional Elastic Stress τxx at Coordinate Point (x/d = 0.8, y/d = 0)/Pa | GCIτxx | CD | GCICD |
|---|---|---|---|---|---|
| #1 | Fine | 33.571 | 1.624% | 1.58378 × 106 | 0.001% |
| #2 | Base | 33.235 | 2.874% | 1.58311 × 106 | 0.051% |
| #3 | Coarse | 32.717 | - | 1.56193 × 106 | - |
Disclaimer/Publisher’s Note: The statements, opinions and data contained in all publications are solely those of the individual author(s) and contributor(s) and not of MDPI and/or the editor(s). MDPI and/or the editor(s) disclaim responsibility for any injury to people or property resulting from any ideas, methods, instructions or products referred to in the content. |
© 2023 by the authors. Licensee MDPI, Basel, Switzerland. This article is an open access article distributed under the terms and conditions of the Creative Commons Attribution (CC BY) license (https://creativecommons.org/licenses/by/4.0/).
Share and Cite
Su, X.; Wang, Z.; Liu, J.; Wu, S. Numerical Study on the Unstable Flow Dynamics of Wormlike Micellar Solutions past a Sphere in the Creeping Flow Regime. Polymers 2023, 15, 2351. https://doi.org/10.3390/polym15102351
Su X, Wang Z, Liu J, Wu S. Numerical Study on the Unstable Flow Dynamics of Wormlike Micellar Solutions past a Sphere in the Creeping Flow Regime. Polymers. 2023; 15(10):2351. https://doi.org/10.3390/polym15102351
Chicago/Turabian StyleSu, Xiaohui, Zhiguo Wang, Jialun Liu, and Song Wu. 2023. "Numerical Study on the Unstable Flow Dynamics of Wormlike Micellar Solutions past a Sphere in the Creeping Flow Regime" Polymers 15, no. 10: 2351. https://doi.org/10.3390/polym15102351
APA StyleSu, X., Wang, Z., Liu, J., & Wu, S. (2023). Numerical Study on the Unstable Flow Dynamics of Wormlike Micellar Solutions past a Sphere in the Creeping Flow Regime. Polymers, 15(10), 2351. https://doi.org/10.3390/polym15102351

