Geopolymer Concrete with Lightweight Fine Aggregate: Material Performance and Structural Application
Abstract
1. Introduction
2. Materials and Methods
2.1. Materials
2.2. Mix Designs and Variables
2.3. Specimen Preparation and Test Procedures
3. Results and Discussion
3.1. Workability
3.2. Unit Weight
3.3. Compressive Strength
3.4. Indirect Tensile Strength
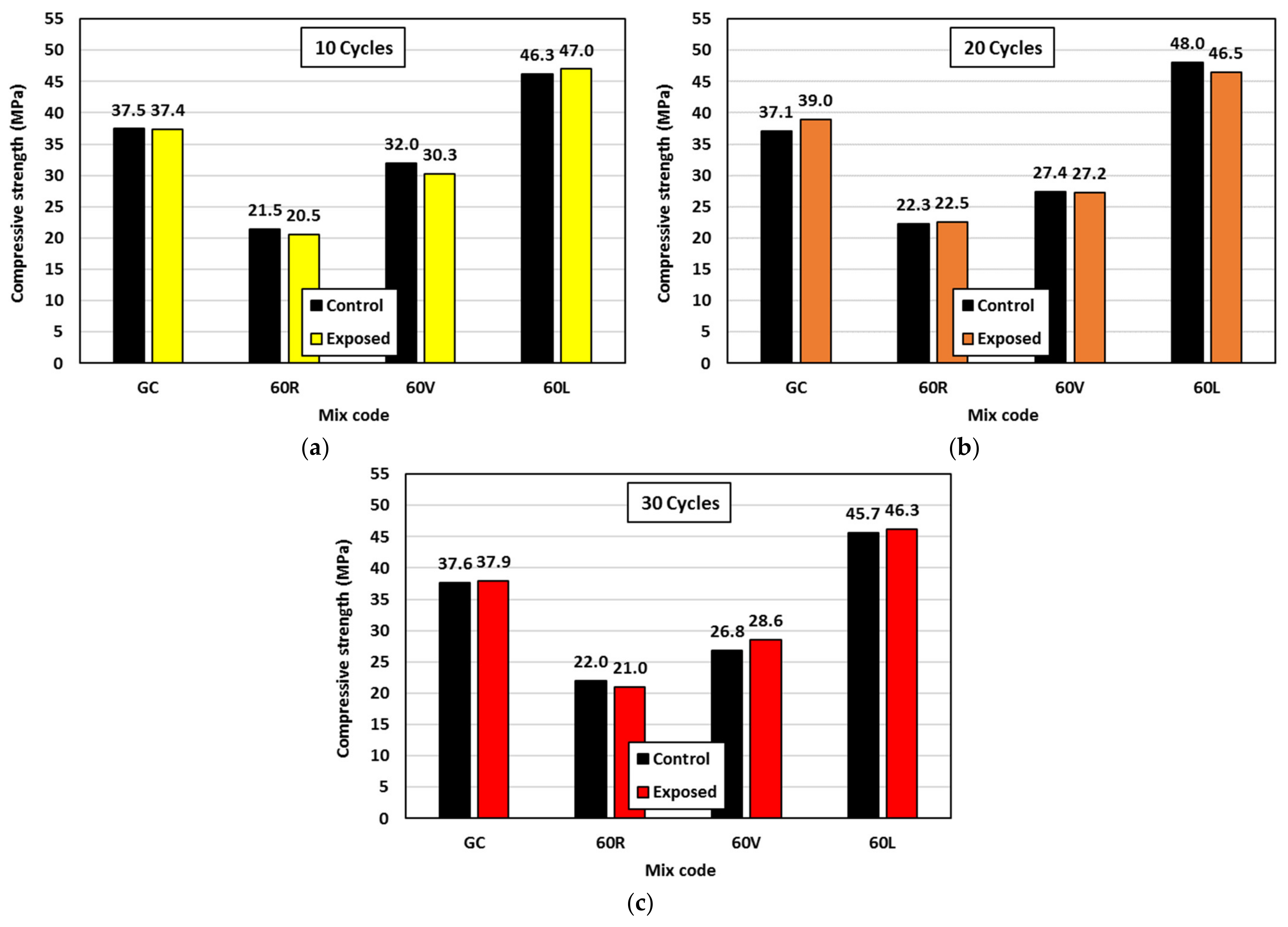
3.5. Freezing and Thawing Effect
3.6. Impact Resistance
3.7. Reinforced Slabs Behavior
3.7.1. General Observations and Failure Mode
3.7.2. Load-Deflection Behavior
3.7.3. Toughness
3.7.4. Slab Deflection Pattern
4. Conclusions and Recommendations
- i.
- Replacing concrete sand by lightweight materials showed a clear effect on the GC slump, but not on its flowability under vibration. This indicated the ability of the lightweight GC mixes to flow well under vibration.
- ii.
- GC compressive strength increased when using 20% rubber content but decreased beyond that. Regardless of the vermiculite content, it showed scattered effect on the GC compressive strength. LECA showed significant increase in GC compressive strength by up to 44%, 39%, and 27% at 3, 7, and 28 days, respectively.
- iii.
- There was no significant effect on the GC compressive strength when applying freezing-thawing cycles (up to 30 cycles) in this study. Regardless of the lightweight fine aggregate used, the impact resistance of GC mixes decreased when replacing 60% of the sand volume.
- iv.
- The slab strength and deflection capacities decreased by 9% and 30%, respectively when using rubber, and by 23% and 59%, respectively when using LECA, compared with the control GC slab
- v.
- Partial or full replacement of GC sand by lightweight fine aggregate adversely affected the shear resistance of concrete and caused early shear failure of slabs. In addition, it decreased the slab stiffness and increased the rate of post-peak load degradation.
Author Contributions
Funding
Institutional Review Board Statement
Informed Consent Statement
Data Availability Statement
Acknowledgments
Conflicts of Interest
References
- Aslani, F.; Deghani, A.; Asif, Z. Development of Lightweight Rubberized Geopolymer Concrete by Using Polystyrene and Recycled Crumb-Rubber Aggregates. J. Mater. Civ. Eng. 2020, 32, 04019345. [Google Scholar] [CrossRef]
- Elchalakani, M.; Dong, M.; Karrech, A.; Li, G.; Mohamed Ali, M.S.; Xie, T.; Yang, B. Development of fly ash-and slag-based geopolymer concrete with calcium carbonate or microsilica. J. Mater. Civ. Eng. 2018, 30, 04018325. [Google Scholar] [CrossRef]
- Dong, M.; Elchalakani, M.; Karrech, A.; Yang, B. Long-Term Strength of Alkali-Activated Mortars with Steel Fibres Cured in Various Conditions. J. Mar. Sci. Eng. 2020, 8, 278. [Google Scholar] [CrossRef]
- Huntzinger, D.N.; Eatmon, T.D. A life-cycle assessment of Portland cement manufacturing: Comparing the traditional process with alternative technologies. J. Clean. Prod. 2009, 17, 668–675. [Google Scholar] [CrossRef]
- Gomaa, E.; Gheni, A.A.; Kashosi, C.; ElGawady, M.A. Bond strength of eco-friendly class C fly ash-based thermally cured alkali-activated concrete to portland cement concrete. J. Clean. Prod. 2019, 235, 404–416. [Google Scholar] [CrossRef]
- Youssf, O.; Elchalakani, M.; Hassanli, R.; Roychand, R.; Zhuge, Y.; Gravina, R.J.; Mills, J.E. Mechanical performance and durability of geopolymer lightweight rubber concrete. J. Build. Eng. 2021, 45, 103608. [Google Scholar] [CrossRef]
- Zhang, P.; Kang, L.; Zheng, Y.; Zhang, T.; Zhang, B. Influence of SiO2/Na2O molar ratio on mechanical properties and durability of metakaolin-fly ash blend alkali-activated sustainable mortar incorporating manufactured sand. J. Mater. Res. Technol. 2022, 18, 3553–3563. [Google Scholar] [CrossRef]
- Zhang, P.; Han, X.; Hu, S.; Wang, J.; Wang, T. High-temperature behavior of polyvinyl alcohol fiber-reinforced metakaolin/fly ash-based geopolymer mortar. Compos. Part B Eng. 2022, 244, 110171. [Google Scholar] [CrossRef]
- Niu, M.; Zhang, P.; Guo, J.; Wang, J. Effect of Municipal Solid Waste Incineration Fly Ash on the Mechanical Properties and Microstructure of Geopolymer Concrete. Gels 2022, 8, 341. [Google Scholar] [CrossRef]
- Zhang, P.; Han, X.; Guo, J.; Zhang, H. Fractal Characteristics of Geopolymer Mortar Containing Municipal Solid Waste Incineration Fly Ash and Its Correlations to Pore Structure and Strength. Fractal Fract. 2022, 6, 676. [Google Scholar] [CrossRef]
- Jia, Q.; Zhuge, Y.; Duan, W.; Liu, Y.; Yang, J.; Youssf, O.; Lu, J. Valorisation of alum sludge to produce green and durable mortar. Waste Dispos. Sustain. Energy 2022, 1–13. [Google Scholar] [CrossRef]
- Youssf, O.; Hassanli, R.; Mills, J.E.; Abd Elrahman, M. An experimental investigation of the mechanical performance and structural application of LECA-Rubcrete. Constr. Build. Mater. 2018, 175, 239–253. [Google Scholar] [CrossRef]
- Eltayeb, E.; Ma, X.; Zhuge, Y.; Youssf, O.; Mills, J.E.; Xiao, J. Structural behaviour of composite panels made of profiled steel sheets and foam rubberised concrete under monotonic and cyclic shearing loads. Thin-Walled Struct. 2020, 151, 106726. [Google Scholar] [CrossRef]
- Eltayeb, E.; Ma, X.; Zhuge, Y.; Xiao, J.; Youssf, O. Dynamic performance of rubberised concrete and its structural applications—An overview. Eng. Struct. 2021, 234, 111990. [Google Scholar] [CrossRef]
- Hassanli, R.; Youssf, O.; Mills, J.E.; Karim, R.; Vincent, T. Performance of segmental self-centering rubberized concrete columns under different loading directions. J. Build. Eng. 2018, 20, 285–302. [Google Scholar] [CrossRef]
- Youssf, O.; ElGawady, M.A.; Mills, J.E.; Ma, X. Analytical Modeling of the Main Characteristics of Crumb Rubber Concrete; ACI-Special Publication: Farmington Hills, MI, USA, 2017. [Google Scholar]
- Coppola, L.; Coffetti, D.; Crotti, E.; Marini, A.; Passoni, C.; Pastore, T. Lightweight cement-free alkali-activated slag plaster for the structural retrofit and energy upgrading of poor quality masonry walls. Cem. Concr. Compos. 2019, 104, 103341. [Google Scholar] [CrossRef]
- Posi, P.; Teerachanwit, C.; Tanutong, C.; Limkamoltip, S.; Lertnimoolchai, S.; Sata, V.; Chindaprasirt, P. Lightweight geopolymer concrete containing aggregate from recycle lightweight block. Mater. Des. 2013, 52, 580–586. [Google Scholar] [CrossRef]
- Bhogayata, A.; Dave, S.V.; Arora, N.K. Utilization of expanded clay aggregates in sustainable lightweight geopolymer concrete. J. Mater. Cycles Waste Manag. 2020, 22, 1780–1792. [Google Scholar] [CrossRef]
- Zhang, P.; Gao, Z.; Wang, J.; Guo, J.; Wang, T. Influencing factors analysis and optimized prediction model for rheology and flowability of nano-SiO2 and PVA fiber reinforced alkali-activated composites. J. Clean. Prod. 2022, 366, 132988. [Google Scholar] [CrossRef]
- Raza, A.; Azab, M.; Baki, Z.A.; El Hachem, C.; El Ouni, M.H.; Kahla, N.B. Experimental study on mechanical, toughness and microstructural characteristics of micro-carbon fibre-reinforced geopolymer having nano TiO2. Alex. Eng. J. 2022, in press. [CrossRef]
- Alvee, A.R.; Malinda, R.; Akbar, A.M.; Ashar, R.D.; Rahmawati, C.; Alomayri, T.; Raza, A.; Shaikh, F.U.A. Experimental study of the mechanical properties and microstructure of geopolymer paste containing nano-silica from agricultural waste and crystalline admixtures. Case Stud. Constr. Mater. 2022, 16, e00792. [Google Scholar] [CrossRef]
- Alomayri, T.; Raza, A.; Shaikh, F. Effect of nano SiO2 on mechanical properties of micro-steel fibers reinforced geopolymer composites. Ceram. Int. 2021, 47, 33444–33453. [Google Scholar] [CrossRef]
- Meng, Q.; Wu, C.; Hao, H.; Li, J.; Wu, P.; Yang, Y.; Wang, Z. Steel fibre reinforced alkali-activated geopolymer concrete slabs subjected to natural gas explosion in buried utility tunnel. Constr. Build. Mater. 2020, 246, 118447. [Google Scholar] [CrossRef]
- Meng, Q.; Wu, C.; Su, Y.; Li, J.; Liu, J.; Pang, J. A study of steel wire mesh reinforced high performance geopolymer concrete slabs under blast loading. J. Clean. Prod. 2019, 210, 1150–1163. [Google Scholar] [CrossRef]
- Rajendran, M.; Soundarapandian, N. An Experimental Investigation on the Flexural Behavior of Geopolymer Ferrocement Slabs. J. Eng. Technol. 2013, 3, 97. [Google Scholar] [CrossRef]
- ASTM C 618; Standard Specification for Coal Fly Ash and Raw or Calcined Natural Pozzolan for Use in Concrete. ASTM International: West Conshohocken, PA, USA, 2015.
- AS1012.8.1; Standards Australia, Methods for Sampling and Testing Aggregates, Method for Making and Curing Concrete—Compression and Indirect Tensile Test Specimens. Standards Australia: Sydney, Australia, 2014.
- AS 1012.9; Standards Australia, Methods of Testing Concrete—Compressive Strength Tests—Concrete, Mortar and Grout Specimens. Standards Australia: Sydney, Australia, 2014.
- ASTM C666; Standard Test Method for Resistance of Concrete to Rapid Freezing and Thawing. ASTM International: West Conshohocken, PA, USA, 2015.
- Ahmad, S.H. ACI-544, Measurement of properties of fiber reinforced concrete. Mater. J. 1998, 85, 45–65. [Google Scholar]
- AS 3600; Standards Australia, Concrete Structures. Standards Australia: Sydney, Australia, 2009.
- Version 8.6. LabVIEW User’s Manual 2003. Available online: https://www.ni.com/pdf/manuals/371439d.pdf (accessed on 9 September 2022).
- AS 1012.3.5; Standards Australia, Methods of Testing Concrete—Determination of Properties Related to the Consistency of Concrete—Slump Flow, T500 and J-Ring Test. Standards Australia: Sydney, Australia, 2015.
- Youssf, O.; ElGawady, M.A.; Mills, J.E.; Ma, X. An experimental investigation of crumb rubber concrete confined by fibre reinforced polymer tubes. Constr. Build. Mater. 2014, 53, 522–532. [Google Scholar] [CrossRef]
- Schackow, A.; Effting, C.; Folgueras, M.V.; Güths, S.; Mendes, G.A. Mechanical and thermal properties of lightweight concretes with vermiculite and EPS using air-entraining agent. Constr. Build. Mater. 2014, 57, 190–197. [Google Scholar] [CrossRef]
- Roychand, R.; Gravina, R.J.; Zhuge, Y.; Ma, X.; Mills, J.E.; Youssf, O. Practical rubber pre-treatment approch for concrete use—An experimental study. J. Compos. Sci. 2021, 5, 143. [Google Scholar] [CrossRef]
- Zheng, L.; Huo, X.S.; Yuan, Y. Strength, modulus of elasticity, and brittleness index of rubberized concrete. J. Mater. Civ. Eng. 2008, 20, 692–699. [Google Scholar] [CrossRef]
- Neville, A. Properties of Concrete; Prentice Hall: Philadelphia, PA, USA, 2012. [Google Scholar]
- Youssf, O.; Hassanli, R.; Mills, J.E. Mechanical performance of FRP-confined and unconfined crumb rubber concrete containing high rubber content. J. Build. Eng. 2017, 11, 115–126. [Google Scholar] [CrossRef]
- Xue, J.; Shinozuka, M. Rubberized concrete: A green structural material with enhanced energy-dissipation capability. Constr. Build. Mater. 2013, 42, 196–204. [Google Scholar] [CrossRef]



















| Geopolymer Binder | CaO (%) | SiO2 (%) | Al2O3 (%) | Fe2O3 (%) | SO3 (%) | MgO (%) | Na2O (%) | K2O (%) | SrO (%) | TiO2 (%) | P2O5 (%) | Mn2O3 (%) | LOI (%) |
|---|---|---|---|---|---|---|---|---|---|---|---|---|---|
| Fly ash | 5.8 | 51.1 | 18.1 | 9.7 | 1.0 | 7.3 | 3.9 | 1.8 | 0.1 | 0.8 | 0.2 | <0.1 | 0.2 |
| Slag | 43.1 | 32.8 | 13.4 | 0.4 | 1.9 | 5.5 | 0.4 | 0.3 | 0.8 | 0.6 | <0.1 | 0.1 | 0.8 |
| Mix | Fly Ash | Slag | Cement | Activator | Water | Dolomite | Sand | Rubber | Vermiculite | LECA | SP | Retarder |
|---|---|---|---|---|---|---|---|---|---|---|---|---|
| GC | 260 | 260 | 0 | 207 | 177 | 611 | 611 | 0 | 0 | 0 | 9.4 | 2.07 |
| 20R | 260 | 260 | 0 | 207 | 177 | 611 | 489 | 45 | 0 | 0 | 9.4 | 2.07 |
| 40R | 260 | 260 | 0 | 207 | 177 | 611 | 367 | 91 | 0 | 0 | 9.4 | 2.07 |
| 60R | 260 | 260 | 0 | 207 | 177 | 611 | 245 | 136 | 0 | 0 | 9.4 | 2.07 |
| 20V | 260 | 260 | 0 | 207 | 177 | 611 | 489 | 0 | 11 | 0 | 9.4 | 2.07 |
| 40V | 260 | 260 | 0 | 207 | 177 | 611 | 367 | 0 | 22 | 0 | 9.4 | 2.07 |
| 60V | 260 | 260 | 0 | 207 | 177 | 611 | 245 | 0 | 34 | 0 | 9.4 | 2.07 |
| 20L | 260 | 260 | 0 | 207 | 177 | 611 | 489 | 0 | 0 | 79 | 9.4 | 2.07 |
| 40L | 260 | 260 | 0 | 207 | 177 | 611 | 367 | 0 | 0 | 159 | 9.4 | 2.07 |
| 60L | 260 | 260 | 0 | 207 | 177 | 611 | 245 | 0 | 0 | 238 | 9.4 | 2.07 |
| 100L | 260 | 260 | 0 | 207 | 177 | 611 | 0 | 0 | 0 | 397 | 9.4 | 2.07 |
| Mix Code | Slump (mm) | Flow Diameter (mm) | Unit Weight (kg/m3) | Compressive Strength (MPa) | Indirect Tensile Strength (MPa) | Freezing-Thawing Effect (MPa) | Impact Resistance | ||||||||
|---|---|---|---|---|---|---|---|---|---|---|---|---|---|---|---|
| 10 Cycles | 20 Cycles | 30 Cycles | Mean (Blows) | Energy (kN.mm) | |||||||||||
| 3D | 7D | 28D | 28D | C | E | C | E | C | E | ||||||
| GC | 110 | 500 | 2135 | 14.7 | 22.0 | 31.7 | 2.41 | 37.5 | 37.4 | 37.1 | 39.0 | 37.6 | 37.9 | 10.8 | 47.4 |
| 20R | 115 | 505 | 2120 | 16.1 | 23.3 | 28.9 | 2.46 | -- | -- | -- | -- | -- | -- | -- | -- |
| 40R | 100 | 490 | 2059 | 11.7 | 16.3 | 19.8 | 1.90 | -- | -- | -- | -- | -- | -- | -- | -- |
| 60R | 85 | 455 | 2004 | 8.8 | 12.4 | 16.1 | 1.36 | 21.5 | 20.5 | 22.3 | 22.5 | 22.0 | 21.0 | 9.3 | 41.0 |
| 20V | 115 | 500 | 2144 | 16.8 | 21.0 | 30.0 | 2.72 | -- | -- | -- | -- | -- | -- | -- | -- |
| 40V | 115 | 495 | 2106 | 14.2 | 23.0 | 30.5 | 2.80 | -- | -- | -- | -- | -- | -- | -- | -- |
| 60V | 110 | 510 | 2067 | 13.6 | 22.9 | 32.1 | 2.09 | 32.0 | 30.3 | 27.4 | 27.2 | 26.8 | 28.6 | 4.9 | 21.6 |
| 20L | 160 | 510 | 2115 | 21.2 | 30.1 | 39.5 | 2.67 | -- | -- | -- | -- | -- | -- | -- | -- |
| 40L | 135 | 500 | 2104 | 20.6 | 30.0 | 40.1 | 2.60 | -- | -- | -- | -- | -- | -- | -- | -- |
| 60L | 120 | 510 | 2054 | 21.2 | 30.5 | 40.2 | 2.60 | 46.3 | 47.0 | 48.0 | 46.5 | 45.7 | 46.3 | 4.5 | 19.8 |
| 100L | 95 | 515 | 2025 | 18.0 | 25.5 | 36.4 | 2.32 | -- | -- | -- | -- | -- | -- | -- | -- |
| Specimen Code | Mix Code | Compressive Strength (MPa) | Peak Strength (kN) | Def. at Peak Strength, dp (mm) | Ult. def., du (mm) | (du/dp) | Toughness (kN.mm) | |||
|---|---|---|---|---|---|---|---|---|---|---|
| Middle | East | West | Average | |||||||
| GC-slab | GC | 31.7 | 75.1 | 13.5 | 19.6 | 1.4 | 1213 | 696 | 812 | 907 |
| R-slab | 20R | 28.9 | 68.2 | 11.1 | 13.8 | 1.2 | 642 | 635 | 432 | 570 |
| L-slab | 100L | 36.4 | 57.8 | 6.6 | 8.1 | 1.2 | 301 | 182 | 327 | 270 |
Disclaimer/Publisher’s Note: The statements, opinions and data contained in all publications are solely those of the individual author(s) and contributor(s) and not of MDPI and/or the editor(s). MDPI and/or the editor(s) disclaim responsibility for any injury to people or property resulting from any ideas, methods, instructions or products referred to in the content. |
© 2022 by the authors. Licensee MDPI, Basel, Switzerland. This article is an open access article distributed under the terms and conditions of the Creative Commons Attribution (CC BY) license (https://creativecommons.org/licenses/by/4.0/).
Share and Cite
Youssf, O.; Mills, J.E.; Elchalakani, M.; Alanazi, F.; Yosri, A.M. Geopolymer Concrete with Lightweight Fine Aggregate: Material Performance and Structural Application. Polymers 2023, 15, 171. https://doi.org/10.3390/polym15010171
Youssf O, Mills JE, Elchalakani M, Alanazi F, Yosri AM. Geopolymer Concrete with Lightweight Fine Aggregate: Material Performance and Structural Application. Polymers. 2023; 15(1):171. https://doi.org/10.3390/polym15010171
Chicago/Turabian StyleYoussf, Osama, Julie E. Mills, Mohamed Elchalakani, Fayez Alanazi, and Ahmed M. Yosri. 2023. "Geopolymer Concrete with Lightweight Fine Aggregate: Material Performance and Structural Application" Polymers 15, no. 1: 171. https://doi.org/10.3390/polym15010171
APA StyleYoussf, O., Mills, J. E., Elchalakani, M., Alanazi, F., & Yosri, A. M. (2023). Geopolymer Concrete with Lightweight Fine Aggregate: Material Performance and Structural Application. Polymers, 15(1), 171. https://doi.org/10.3390/polym15010171

