Enhanced Organic Pollutant Removal Efficiency of Electrospun NiTiO3/TiO2-Decorated Carbon Nanofibers
Abstract
1. Introduction
2. Experimental
2.1. Materials
2.2. Synthesis of NiTiO3/TiO2-Decorated CNFs
2.3. Catalyst Characterization
2.4. Determination of MB Photodegradation
3. Results and Discussion
3.1. Catalyst Characterization
3.2. Photocatalytic Degradation of MB
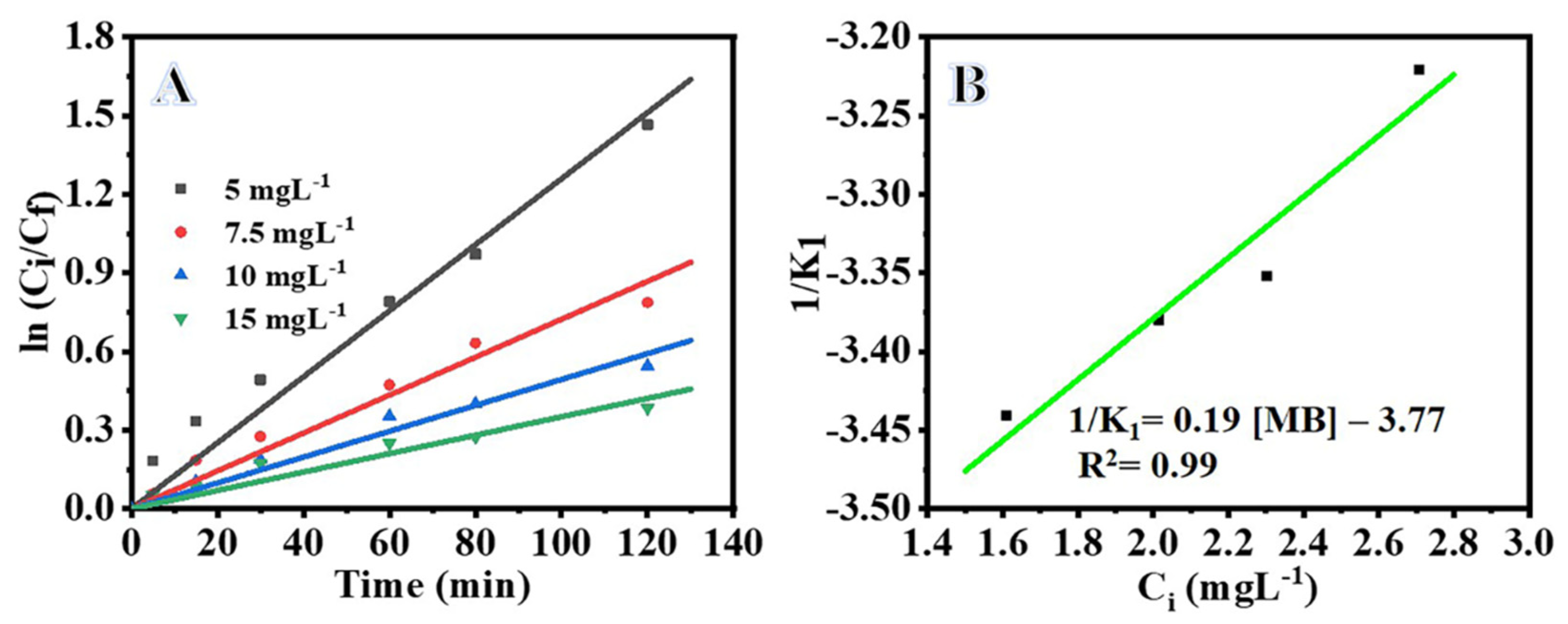
3.2.1. Effect of Initial Dye Concentration (Ci)
3.2.2. Effect of Reaction Temperature (T)
3.2.3. Effect of Light Intensity (I)
3.2.4. Effect of Photocatalyst Dose (NiTiO3/TiO2-Decorated CNFs)
3.2.5. Development of Model Rate Equation
3.3. Photocatalytic Mechanism
3.4. Catalyst Recyclability Data
3.5. Comparison of Our Results with the Literature
4. Conclusions
Author Contributions
Funding
Institutional Review Board Statement
Data Availability Statement
Acknowledgments
Conflicts of Interest
References
- Houas, A.; Lachheb, H.; Ksibi, M.; Elaloui, E.; Guillard, C.; Herrmann, J.M. Photocatalytic degradation pathway of methylene blue in water. Appl. Catal. B Environ. 2001, 31, 145–157. [Google Scholar] [CrossRef]
- Ràfols, C.; Barceló, D. Determination of mono- and disulphonated azo dyes by liquid chromatography–atmospheric pressure ionization mass spectrometry. J. Chromatogr. A 1997, 777, 177–192. [Google Scholar] [CrossRef]
- Han, F.; Kambala, V.S.R.; Srinivasan, M.; Rajarathnam, D.; Naidu, R. Tailored titanium dioxide photocatalysts for the degradation of organic dyes in wastewater treatment: A review. Appl. Catal. A Gen. 2009, 359, 25–40. [Google Scholar] [CrossRef]
- Yahya, N.; Aziz, F.; Jamaludin, N.; Mutalib, M.A.; Ismail, A.; Salleh, W.W.; Jaafar, J.; Yusof, N.; Ludin, N.A. A review of integrated photocatalyst adsorbents for wastewater treatment. J. Environ. Chem. Eng. 2018, 6, 7411–7425. [Google Scholar] [CrossRef]
- Alshameri, A.; Ibrahim, A.; Assabri, A.M.; Lei, X.; Wang, H.; Yan, C. The investigation into the ammonium removal performance of Yemeni natural zeolite: Modification, ion exchange mechanism, and thermodynamics. Powder Technol. 2014, 258, 20–31. [Google Scholar] [CrossRef]
- Kang, M.; Chen, H.; Sato, Y.; Kamei, T.; Magara, Y. Rapid and economical indicator for evaluating arsenic removal with minimum aluminum residual during coagulation process. Water Res. 2003, 37, 4599–4604. [Google Scholar] [CrossRef]
- Yagub, M.T.; Sen, T.K.; Afroze, S.; Ang, H.M. Dye and its removal from aqueous solution by adsorption: A review. Adv. Colloid Interface Sci. 2014, 209, 172–184. [Google Scholar] [CrossRef]
- Beluci, N.; Mateus, G.; Miyashiro, C.S.; Homem, N.; Gomes, R.G.; Fagundes-Klen, M.R.; Bergamasco, R.; Vieira, A.M.S. Hybrid treatment of coagulation/flocculation process followed by ultrafiltration in TiO2-modified membranes to improve the removal of reactive black 5 dye. Sci. Total Environ. 2019, 664, 222–229. [Google Scholar] [CrossRef]
- Wu, J.; Eiteman, M.A.; Law, S.E. Evaluation of Membrane Filtration and Ozonation Processes for Treatment of Reactive-Dye Wastewater. J. Environ. Eng. 1998, 124, 272–277. [Google Scholar] [CrossRef]
- Miranda-García, N.; Maldonado, M.I.; Coronado, J.; Malato, S. Degradation study of 15 emerging contaminants at low concentration by immobilized TiO2 in a pilot plant. Catal. Today 2010, 151, 107–113. [Google Scholar] [CrossRef]
- Nasir, A.M.; Jaafar, J.; Aziz, F.; Yusof, N.; Salleh, W.N.W.; Ismail, A.F.; Aziz, M. A review on floating nanocomposite photocatalyst: Fabrication and applications for wastewater treatment. J. Water Process. Eng. 2020, 36, 101300. [Google Scholar] [CrossRef]
- Sathyajothi, S.; Jayavel, R.; Dhanemozhi, A.C. The Fabrication of Natural Dye Sensitized Solar Cell (Dssc) based on TiO2 Using Henna and Beetroot Dye Extracts. Mater. Today Proc. 2017, 4, 668–676. [Google Scholar] [CrossRef]
- Liu, Y.; Chen, X.; Li, J.; Burda, C. Photocatalytic degradation of azo dyes by nitrogen-doped TiO2 nanocatalysts. Chemosphere 2005, 61, 11–18. [Google Scholar] [CrossRef] [PubMed]
- Liang, Y.; Sun, S.; Deng, T.; Ding, H.; Chen, W.; Chen, Y. The Preparation of TiO2 Film by the Sol-Gel Method and Evaluation of Its Self-Cleaning Property. Materials 2018, 11, 450. [Google Scholar] [CrossRef]
- Reddy, K.R.; Hassan, M.; Gomes, V.G. Hybrid nanostructures based on titanium dioxide for enhanced photocatalysis. Appl. Catal. A Gen. 2015, 489, 838886. [Google Scholar] [CrossRef]
- Nakhowong, R. Fabrication and characterization of MnTiO3 nanofibers by sol–gel assisted electrospinning. Mater. Lett. 2015, 161, 468–470. [Google Scholar] [CrossRef]
- Yamashita, H.; Harada, M.; Misaka, J.; Takeuchi, M.; Ikeue, K.; Anpo, M. Degradation of propanol diluted in water under visible light irradiation using metal ion-implanted titanium dioxide photocatalysts. J. Photochem. Photobiol. A Chem. 2002, 148, 257–261. [Google Scholar] [CrossRef]
- In, S.; Orlov, A.; Berg, R.; García, F.; Pedrosa-Jimenez, S.; Tikhov, M.S.; Wright, D.S.; Lambert, R.M. Effective Visible Light-Activated B-Doped and B,N-Codoped TiO2 Photocatalysts. J. Am. Chem. Soc. 2007, 129, 13790–13791. [Google Scholar] [CrossRef]
- Ng, J.; Xu, S.; Zhang, X.; Yang, H.Y.; Sun, D.D. Hybridized Nanowires and Cubes: A Novel Architecture of a Heterojunctioned TiO2/SrTiO3 Thin Film for Efficient Water Splitting. Adv. Funct. Mater. 2010, 20, 4287–4294. [Google Scholar] [CrossRef]
- Han, T.; Chen, Y.; Tian, G.; Wang, J.-Q.; Ren, Z.; Zhou, W.; Fu, H. Hierarchical FeTiO3–TiO2 hollow spheres for efficient simulated sunlight-driven water oxidation. Nanoscale 2015, 7, 15924–15934. [Google Scholar] [CrossRef]
- Fang, D.; Huang, K.; Liu, S.; Luo, Z.; Qing, X.; Zhang, Q. High-density NiTiO3/TiO2 nanotubes synthesized through sol–gel method using well-ordered TiO2 membranes as template. J. Alloys Compd. 2010, 498, 37–41. [Google Scholar] [CrossRef]
- Yang, W.; Yu, Y.; Starr, M.B.; Yin, X.; Li, Z.; Kvit, A.; Wang, S.; Zhao, P.; Wang, X. Ferroelectric Polarization-Enhanced Photoelectrochemical Water Splitting in TiO2–BaTiO3 Core–Shell Nanowire Photoanodes. Nano Lett. 2015, 15, 7574–7580. [Google Scholar] [CrossRef] [PubMed]
- Li, S.; Hu, S.; Jiang, W.; Liu, Y.; Zhou, Y.; Liu, Y.; Mo, L. Hierarchical architectures of bismuth molybdate nanosheets onto nickel titanate nanofibers: Facile synthesis and efficient photocatalytic removal of tetracycline hydrochloride. J. Colloid Interface Sci. 2018, 521, 42–49. [Google Scholar] [CrossRef] [PubMed]
- Huang, J.; Jiang, Y.; Li, G.; Xue, C.; Guo, W. Hetero-structural NiTiO3/TiO2 nanotubes for efficient photocatalytic hydrogen generation. Renew. Energy 2017, 111, 410–415. [Google Scholar] [CrossRef]
- Huang, D.; Miyamoto, Y.; Ding, J.; Gu, J.; Zhu, S.; Liu, Q.; Fan, T.; Guo, Q.; Zhang, D. A new method to prepare high-surface-area N–TiO2/activated carbon. Mater. Lett. 2011, 65, 326–328. [Google Scholar] [CrossRef]
- Muthirulan, P.; Meenakshisundararam, M.; Kannan, N. Beneficial role of ZnO photocatalyst supported with porous activated carbon for the mineralization of alizarin cyanin green dye in aqueous solution. J. Adv. Res. 2013, 4, 479–484. [Google Scholar] [CrossRef] [PubMed]
- Wang, C.; Ao, Y.; Wang, P.; Hou, J.; Qian, J. Preparation, characterization and photocatalytic activity of a novel composite photocatalyst: Ceria-coated activated carbon. J. Hazard. Mater. 2010, 184, 1–5. [Google Scholar] [CrossRef]
- Yousef, A.; Brooks, R.; Abutaleb, A.; El-Newehy, M.H.; Al-Deyab, S.S.; Kim, H.Y. One-step synthesis of Co-TiC-carbon composite nanofibers at low temperature. Ceram. Int. 2017, 43, 5828–5831. [Google Scholar] [CrossRef]
- Yousef, A.; Brooks, R.M.; El-Halwany, M.; Abutaleb, A.; El-Newehy, M.H.; Al-Deyab, S.S.; Kim, H.Y. Electrospun CoCr7C3-supported C nanofibers: Effective, durable, and chemically stable catalyst for H2 gas generation from ammonia borane. Mol. Catal. 2017, 434, 32–38. [Google Scholar] [CrossRef]
- Moradi, M.; Vasseghian, Y.; Khataee, A.; Harati, M.; Arfaeinia, H. Ultrasound-assisted synthesis of FeTiO3/GO nanocomposite for photocatalytic degradation of phenol under visible light irradiation. Sep. Purif. Technol. 2021, 261, 118274. [Google Scholar] [CrossRef]
- Yousef, A.; El-Halwany, M.M.; El-Newehy, M.H.; Al-Deyab, S.S.; Barakat, N.A.M. Synthesis of Cu–S-Codoped TiO2 Nanoparticles Supported on Carbon Nanofibers for Simultaneous Adsorption and Photocatalytic Decomposition of Reactive Black 5. J. Nanosci. Nanotechnol. 2017, 17, 3998–4004. [Google Scholar] [CrossRef]
- Unalan, H.E.; Wei, D.; Suzuki, K.; Dalal, S.; Hiralal, P.; Matsumoto, H.; Imaizumi, S.; Minagawa, M.; Tanioka, A.; Flewitt, A.J.; et al. Photoelectrochemical cell using dye sensitized zinc oxide nanowires grown on carbon fibers. Appl. Phys. Lett. 2008, 93, 133116. [Google Scholar] [CrossRef]
- Liu, J.; Li, J.; Sedhain, A.; Lin, J.; Jiang, H. Structure and Photoluminescence Study of TiO2 Nanoneedle Texture along Vertically Aligned Carbon Nanofiber Arrays. J. Phys. Chem. C 2008, 112, 17127–17132. [Google Scholar] [CrossRef]
- Panthi, G.; Barakat, N.A.; Khalil, K.A.; Yousef, A.; Jeon, K.-S.; Kim, H.Y. Encapsulation of CoS nanoparticles in PAN electrospun nanofibers: Effective and reusable catalyst for ammonia borane hydrolysis and dyes photodegradation. Ceram. Int. 2013, 39, 1469–1476. [Google Scholar] [CrossRef]
- Yousef, A.; Barakat, N.A.; Amna, T.; Al-Deyab, S.S.; Hassan, M.S.; Abdel-Hay, A.; Kim, H.Y. Inactivation of pathogenic Klebsiella pneumoniae by CuO/TiO2 nanofibers: A multifunctional nanomaterial via one-step electrospinning. Ceram. Int. 2012, 38, 4525–4532. [Google Scholar] [CrossRef]
- Yousef, A.; Barakat, N.A.; Kim, H.Y. Electrospun Cu-doped titania nanofibers for photocatalytic hydrolysis of ammonia borane. Appl. Catal. A Gen. 2013, 467, 98–106. [Google Scholar] [CrossRef]
- Yousef, A.; Brooks, R.M.; El-Halwany, M.; El-Newehy, M.H.; Al-Deyab, S.S.; Barakat, N.A. Cu0/S-doped TiO2 nanoparticles-decorated carbon nanofibers as novel and efficient photocatalyst for hydrogen generation from ammonia borane. Ceram. Int. 2016, 42, 1507–1512. [Google Scholar] [CrossRef]
- Yousef, A.; Brooks, R.M.; El-Halwany, M.; Obaid, M.; El-Newehy, M.H.; Al-Deyab, S.S.; Barakat, N.A. A novel and chemical stable Co–B nanoflakes-like structure supported over titanium dioxide nanofibers used as catalyst for hydrogen generation from ammonia borane complex. Int. J. Hydrogen Energy 2016, 41, 285–293. [Google Scholar] [CrossRef]
- Yousef, A.; El-Halwany, M.; Barakat, N.A.; Al-Maghrabi, M.N.; Kim, H.Y. Cu0- doped TiO2 nanofibers as potential photocatalyst and antimicrobial agent. J. Ind. Eng. Chem. 2015, 26, 251–258. [Google Scholar] [CrossRef]
- Ali, I.; Park, S.; Kim, J.-O. Modeling the photocatalytic reactions of g-C3N4-TiO2 nanocomposites in a recirculating semi-batch reactor. J. Alloys Compd. 2020, 821, 153498. [Google Scholar] [CrossRef]
- Wang, R.-C.; Yu, C.-W. Phenol degradation under visible light irradiation in the continuous system of photocatalysis and sonolysis. Ultrason. Sonochem. 2013, 20, 553–564. [Google Scholar] [CrossRef] [PubMed]
- Alkaykh, S.; Mbarek, A.; Ali-Shattle, E.E. Photocatalytic degradation of methylene blue dye in aqueous solution by MnTiO3 nanoparticles under sunlight irradiation. Heliyon 2020, 6, e03663. [Google Scholar] [CrossRef] [PubMed]
- Mengyue, Z.; Shifu, C.; Yaowu, T. Photocatalytic degradation of organophosphorus pesticides using thin films of TiO2. J. Chem. Technol. Biotechnol. 1995, 64, 339–344. [Google Scholar] [CrossRef]
- Ku, Y.; Chiu, P.-C.; Chou, Y.-C. Decomposition of aniline in aqueous solution by UV/TiO2 process with applying bias potential. J. Hazard. Mater. 2010, 183, 16–21. [Google Scholar] [CrossRef] [PubMed]
- Chen, Y.-W.; Hsu, Y.-H. Effects of Reaction Temperature on the Photocatalytic Activity of TiO2 with Pd and Cu Cocatalysts. Catalysts 2021, 11, 966. [Google Scholar] [CrossRef]
- Meng, Y.; Xia, S.; Pan, G.; Xue, J.; Jiang, J.; Ni, Z. Preparation and photocatalytic activity of composite metal oxides derived from Salen-Cu(II) intercalated layered double hydroxides. Korean J. Chem. Eng. 2017, 34, 2331–2341. [Google Scholar] [CrossRef]
- Ojstršek, A.; Kleinschek, K.S.; Fakin, D. Characterization of nano-sized TiO2 suspensions for functional modification of polyester fabric. Surf. Coat. Technol. 2013, 226, 68–74. [Google Scholar] [CrossRef]
- Kumar, G.P.A. A Review on the Factors Affecting the Photocatalytic Degradation of Hazardous Materials. Mater. Sci. Eng. Int. J. 2017, 1, 106–114. [Google Scholar] [CrossRef]
- Salimi, A.; Roosta, A. Experimental solubility and thermodynamic aspects of methylene blue in different solvents. Thermochim. Acta 2019, 675, 134–139. [Google Scholar] [CrossRef]
- Ahmed, S.; Rasul, M.G.; Martens, W.N.; Brown, R.; Hashib, M.A. Heterogeneous photocatalytic degradation of phenols in wastewater: A review on current status and developments. Desalination 2010, 261, 3–18. [Google Scholar] [CrossRef]
- Puma, G.L.; Yue, P.L. Effect of the Radiation Wavelength on the Rate of Photocatalytic Oxidation of Organic Pollutants. Ind. Eng. Chem. Res. 2002, 41, 5594–5600. [Google Scholar] [CrossRef]
- Kaneco, S.; Rahman, M.A.; Suzuki, T.; Katsumata, H.; Ohta, K. Optimization of solar photocatalytic degradation conditions of bisphenol A in water using titanium dioxide. J. Photochem. Photobiol. A Chem. 2004, 163, 419–424. [Google Scholar] [CrossRef]
- Giannakoudakis, D.A.; Farahmand, N.; Łomot, D.; Sobczak, K.; Bandosz, T.J.; Colmenares, J.C. Ultrasound-activated TiO2/GO-based bifunctional photoreactive adsorbents for detoxification of chemical warfare agent surrogate vapors. Chem. Eng. J. 2020, 395, 125099. [Google Scholar] [CrossRef]
- Fathinia, M.; Khataee, A. Photocatalytic ozonation of phenazopyridine using TiO2 nanoparticles coated on ceramic plates: Mechanistic studies, degradation intermediates and ecotoxicological assessments. Appl. Catal. A Gen. 2015, 491, 136–154. [Google Scholar] [CrossRef]
- Soltani, R.D.C.; Rezaee, A.; Khataee, A.; Safari, M. Photocatalytic process by immobilized carbon black/ZnO nanocomposite for dye removal from aqueous medium: Optimization by response surface methodology. J. Ind. Eng. Chem. 2014, 20, 1861–1868. [Google Scholar] [CrossRef]
- Daneshvar, N.; Rabbani, M.; Modirshahla, N.; Behnajady, M. Kinetic modeling of photocatalytic degradation of Acid Red 27 in UV/TiO2 process. J. Photochem. Photobiol. A Chem. 2004, 168, 39–45. [Google Scholar] [CrossRef]
- Kim, Y.J.; Gao, B.; Han, S.Y.; Jung, M.H.; Chakraborty, A.K.; Ko, T.; Lee, C.; Lee, W.I. Heterojunction of FeTiO3 Nanodisc and TiO2 Nanoparticle for a Novel Visible Light Photocatalyst. J. Phys. Chem. C 2009, 113, 19179–19184. [Google Scholar] [CrossRef]
- Yang, B.; Bai, X.; Wang, J.; Fang, M.; Wu, X.; Liu, Y.; Huang, Z.; Lao, C.-Y.; Min, X. Photocatalytic Performance of NiO/NiTiO3 Composite Nanofiber Films. Catalysts 2019, 9, 561. [Google Scholar] [CrossRef]
- Gao, B.; Kim, Y.J.; Chakraborty, A.K.; Lee, W.I. Efficient decomposition of organic compounds with FeTiO3/TiO2 heterojunction under visible light irradiation. Appl. Catal. B Environ. 2008, 83, 202–207. [Google Scholar] [CrossRef]
- Zhang, M.; Shao, C.; Mu, J.; Huang, X.; Zhang, Z.; Guo, Z.; Zhang, P.; Liu, Y. Hierarchical heterostructures of Bi2MoO6 on carbon nanofibers: Controllable solvothermal fabrication and enhanced visible photocatalytic properties. J. Mater. Chem. 2012, 22, 577–584. [Google Scholar] [CrossRef]
- Sivakumar, S.; Selvaraj, A.; Ramasamy, A.K. Photocatalytic Degradation of Organic Reactive Dyes over MnTiO3/TiO2Heterojunction Composites Under UV-Visible Irradiation. Photochem. Photobiol. 2013, 89, 1047–1056. [Google Scholar] [CrossRef] [PubMed]
- Marco Alejandro Ruiz, P. Synthesis, Characterization and Photocatalytic Response of NiTiO3-Based Semiconducting Oxides. Ph.D. Thesis, Université du Maine, Le Mans, France, 2016. [Google Scholar]
- Dao, D.Q.; Nguyen, T.K.A.; Pham, T.-T.; Shin, E.W. Synergistic Effect on Photocatalytic Activity of Co-Doped NiTiO3/g-C3N4 Composites under Visible Light Irradiation. Catalysts 2020, 10, 1332. [Google Scholar] [CrossRef]
- Kitchamsetti, N.; Didwal, P.N.; Mulani, S.R.; Patil, M.S.; Devan, R.S. Photocatalytic activity of MnTiO3 perovskite nanodiscs for the removal of organic pollutants. Heliyon 2021, 7, e07297. [Google Scholar] [CrossRef] [PubMed]
- Sadjadi, M.; Mozaffari, M.; Enhessari, M.; Zare, K. Effects of NiTiO3 nanoparticles supported by mesoporous MCM-41 on photoreduction of methylene blue under UV and visible light irradiation. Superlattices Microstruct. 2010, 47, 685–694. [Google Scholar] [CrossRef]
- Khan, H.; Kang, S.; Lee, C. Evaluation of Efficient and Noble-Metal-Free NiTiO3 Nanofibers Sensitized with Porous gC3N4 Sheets for Photocatalytic Applications. Catalysts 2021, 11, 385. [Google Scholar] [CrossRef]












| MB Dye Concentration (mg L−1) | Rate Constant (min−1) K1 |
|---|---|
| 5 | 0.0153 |
| 7.5 | 0.0088 |
| 10 | 0.0068 |
| 15 | 0.0044 |
| Reaction temperature (°C) | Rate constant (min−1) K2 |
| 25 | 0.0153 |
| 30 | 0.0166 |
| 35 | 0.0188 |
| 40 | 0.0222 |
| Light intensity (W/m2) | Rate constant (min−1) K3 |
| 25 | 0.0153 |
| 30 | 0.0166 |
| 35 | 0.019 |
| 40 | 0.0228 |
| Catalyst dose (mg L−1) | Rate constant (min−1) K4 |
| 200 | 0.0153 |
| 400 | 0.0216 |
| 600 | 0.027 |
| 800 | 0.0324 |
| Parameter | k′ | KR (L mg−1) | Ea (J mol−1) | R (J K−1 mol−1) | m (m2 W−1 min−1) | KNFs (L mg−1) |
|---|---|---|---|---|---|---|
| Values | 3.7551 × 104 | 4.99 | 1.9204 × 104 | 8.314 | 6 × 10−4 | 2.444 × 10−3 |
| Catalyst Used | Rate Constant (min−1) | References |
|---|---|---|
| NiTiO3 NFs | 0.0030 | [62] |
| 1%Co-NiTiO3/g-C3N4 | 0.0072 | [63] |
| 3%Co-NiTiO3/g-C3N4 | 0.0057 | [63] |
| MnTiO3 perovskite nanodiscs | 0.0110 | [64] |
| NiTiO3 NFs/MCM-41 | 0.0189 | [65] |
| NiTiO3 NFs/40wt% AAs-gC3N4 | 0.0310 | [66] |
| NiTiO3/TiO2-decorated CNFs | 0.0324 | Our work |
Disclaimer/Publisher’s Note: The statements, opinions and data contained in all publications are solely those of the individual author(s) and contributor(s) and not of MDPI and/or the editor(s). MDPI and/or the editor(s) disclaim responsibility for any injury to people or property resulting from any ideas, methods, instructions or products referred to in the content. |
© 2022 by the authors. Licensee MDPI, Basel, Switzerland. This article is an open access article distributed under the terms and conditions of the Creative Commons Attribution (CC BY) license (https://creativecommons.org/licenses/by/4.0/).
Share and Cite
Maafa, I.M.; Ali, M.A. Enhanced Organic Pollutant Removal Efficiency of Electrospun NiTiO3/TiO2-Decorated Carbon Nanofibers. Polymers 2023, 15, 109. https://doi.org/10.3390/polym15010109
Maafa IM, Ali MA. Enhanced Organic Pollutant Removal Efficiency of Electrospun NiTiO3/TiO2-Decorated Carbon Nanofibers. Polymers. 2023; 15(1):109. https://doi.org/10.3390/polym15010109
Chicago/Turabian StyleMaafa, Ibrahim M., and Mohammad Ashraf Ali. 2023. "Enhanced Organic Pollutant Removal Efficiency of Electrospun NiTiO3/TiO2-Decorated Carbon Nanofibers" Polymers 15, no. 1: 109. https://doi.org/10.3390/polym15010109
APA StyleMaafa, I. M., & Ali, M. A. (2023). Enhanced Organic Pollutant Removal Efficiency of Electrospun NiTiO3/TiO2-Decorated Carbon Nanofibers. Polymers, 15(1), 109. https://doi.org/10.3390/polym15010109

