Production of Cellulose Nano-Fibers and Its Application in Poly-Lactic-Acid: Property Improvement by New Types of Coupling Agents
Abstract
:1. Introduction
2. Materials and Methods
2.1. Materials
2.2. Nanocellulose Production
2.3. Manufacturing of Nano-Cellulose/PLA Composites
2.4. The Structure of NC/PLA Composites by Fourier Transformed Infrared Spectroscopy and Differential Scanning Calorimetry Analysis
3. Results and Discussion
3.1. The Structure of NC/PLA Composites
3.1.1. FTIR Analysis
3.1.2. Scanning Electron Microscopy (SEM) Analysis
3.1.3. DSC Analysis
3.1.4. Thermogravimetric Analysis
3.2. Mechanical Properties
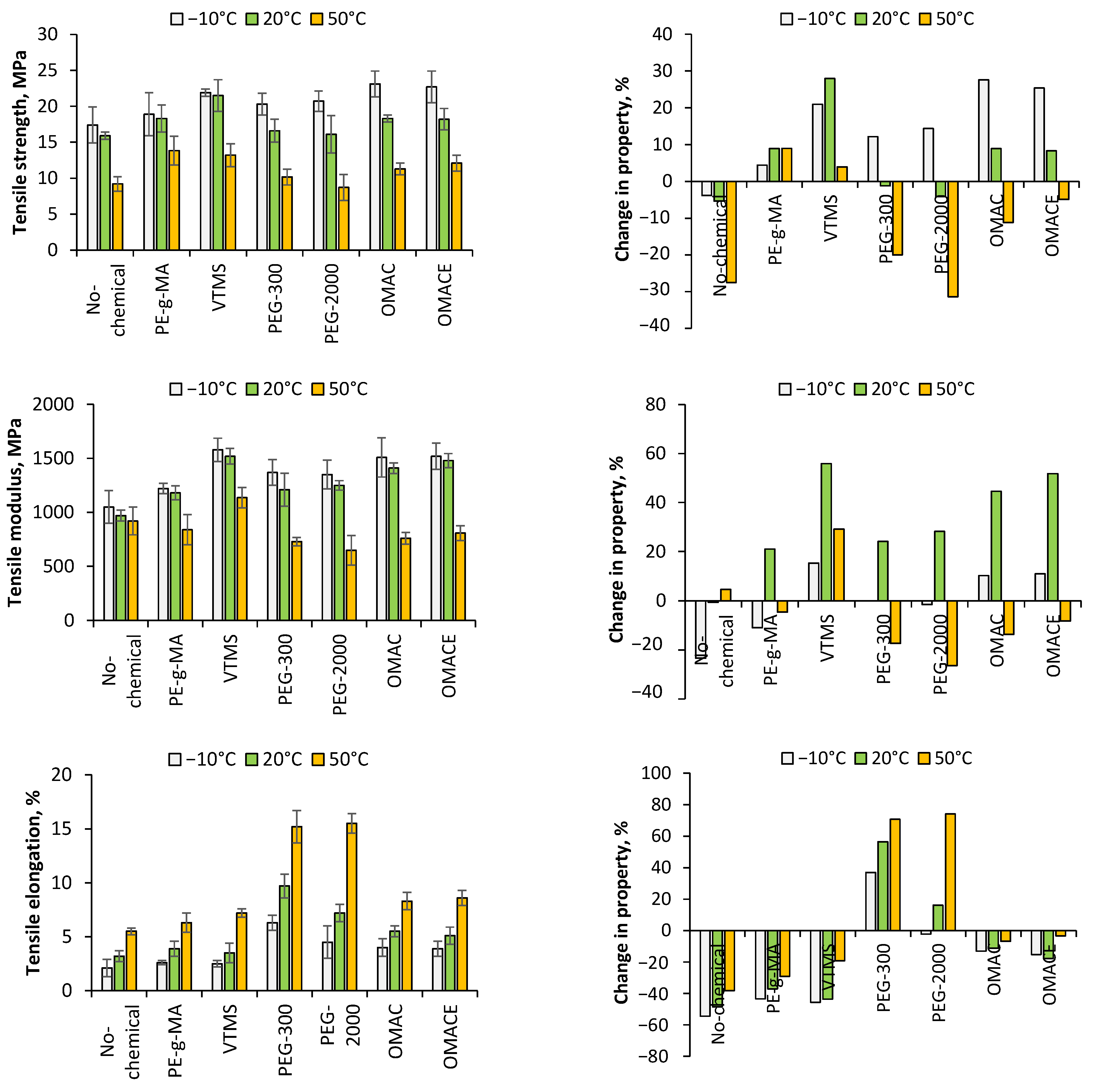
3.2.1. Tensile Properties
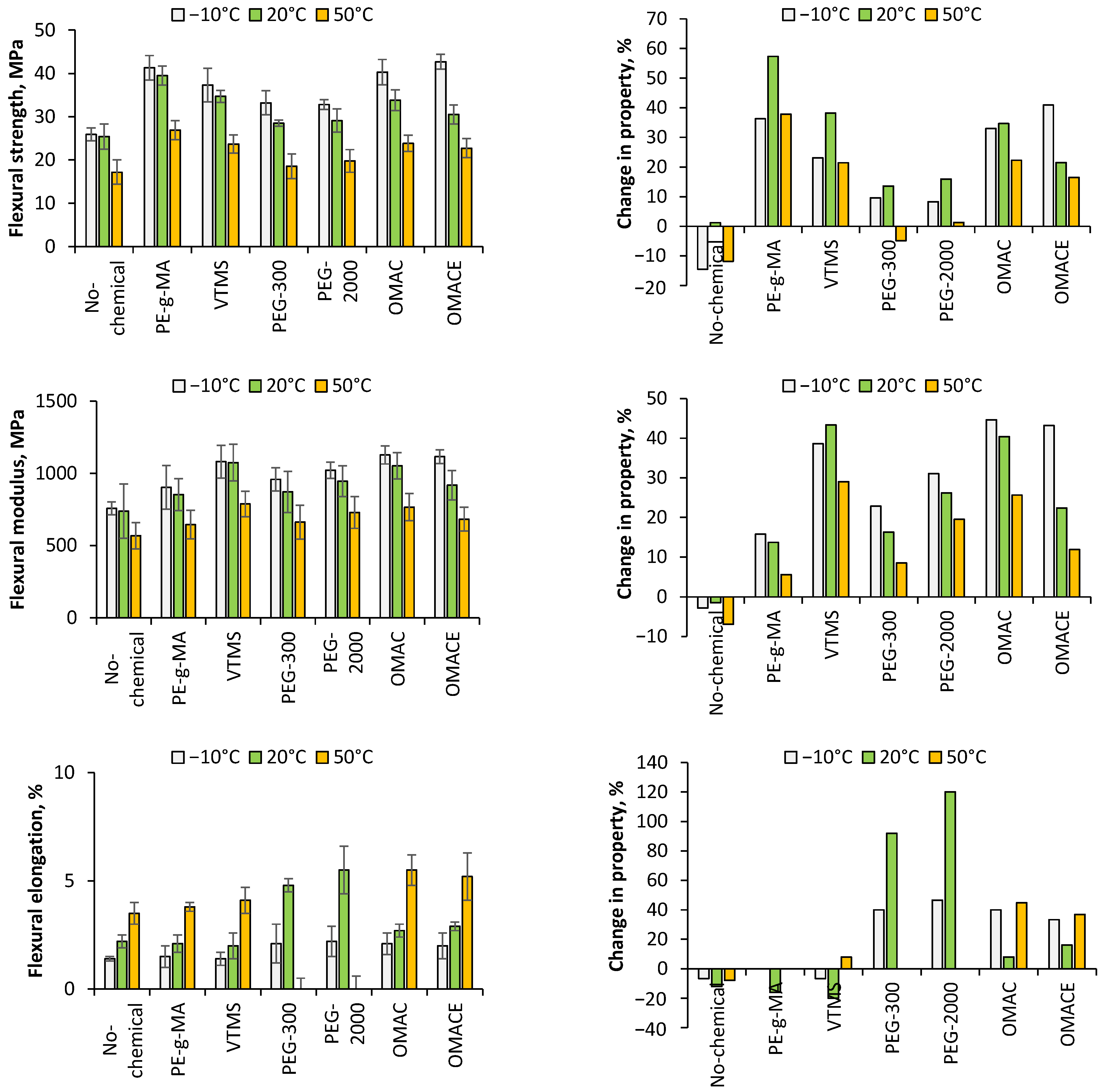
3.2.2. Flexural Properties
3.2.3. Charpy Impact Strength
3.2.4. The Dynamic Mechanical Testing
4. Conclusions
Author Contributions
Funding
Institutional Review Board Statement
Informed Consent Statement
Data Availability Statement
Acknowledgments
Conflicts of Interest
References
- Sin, L.T.; Rahmat, A.R.; Rahman, W.A. Overview of poly (lactic Acid). In Handbook of Biopolymers and Biode-Gradable Plastics; Sina Ebnesajjad, S., Ed.; William Andrew Publishing: Norwich, NY, USA, 2013; pp. 11–54. [Google Scholar]
- Millet, H.; Vangheluwe, P.; Block, C.; Sevenster, A.; Garcia, L.; Antonopoulos, R. The Nature of Plastics and Their Societal Usage. In Plastics and the Environment; Harrison, R.M., Hester, R.E., Eds.; Royal Society of Chemistry: London, UK, 2018; pp. 1–20. [Google Scholar]
- Baran, E.H.; Erbil, H.Y. Surface modification of 3D printed PLA objects by fused deposition modeling: A review. Colloids Interfaces 2019, 3, 43. [Google Scholar] [CrossRef] [Green Version]
- Kian, L.K.; Saba, N.; Jawaid, M.; Sultan, M.T.H. A review on processing techniques of bast fibers nanocellulose and its polylactic acid (PLA) nanocomposites. Int. J. Biol. Macromol. 2019, 121, 1314–1328. [Google Scholar] [CrossRef] [PubMed]
- Rudnik, E. Compostable polymer properties and packaging applications. In Plastic Films in Food Packaging; Ebnesajjad, S., Ed.; William Andrew Publishing: Norwich, NY, USA, 2013; pp. 217–248. [Google Scholar]
- Xiao, L.; Wang, B.; Yang, G.; Gauthier, M. Poly (lactic acid)-based biomaterials: Synthesis, modification and applications. In Biomedical Science, Engineering and Technology; Ghista, D.N., Ed.; IntechOpen: London, UK, 2012; pp. 247–282. [Google Scholar]
- Miskolczi, N.; Kucharczyk, P.; Sedlarik, V.; Szakacs, H. Plastic waste minimization: Compatibilization of polypropylene/polyamide 6 blends by polyalkenyl-poly-maleic-anhydride-based agents. J. Appl. Polym. Sci. 2013, 129, 3028–3037. [Google Scholar] [CrossRef]
- DeArmitt, C.; Rothon, R. Dispersants and coupling agents. In Applied Plastics Engineering Handbook, 2nd ed.; Kutz, M., Ed.; William Andrew Publishing: Norwich, NY, USA, 2016; pp. 501–516. [Google Scholar]
- Mokhena, T.C.; Sefadi, J.S.; Sadiku, E.R.; John, M.J.; Mochane, M.J.; Mtibe, A. Thermoplastic Processing of PLA/Cellulose Nanomaterials Composites. Polym. J. 2018, 10, 1363. [Google Scholar] [CrossRef] [Green Version]
- Miao, C.; Hamad, W.Y. Critical insights into the reinforcement potential of cellulose nanocrystals in polymer nanocomposites. Curr. Opin. Solid State Mater. Sci. 2019, 23, 100761. [Google Scholar] [CrossRef]
- Kargarzadeh, H.; Huang, J.; Lin, N.; Ahmad, M.; Mariano, A.; Dufresne, A.; Thomas, S.; Gałęski, A. Recent developments in nanocellulose-based biodegradable polymers, thermoplastic polymers, and porous nanocomposites. Prog. Polym. Sci. 2018, 87, 197–227. [Google Scholar] [CrossRef]
- Abitbol, T.; Rivkin, A.; Cao, Y.; Nevo, Y.; Abraham, E.; Ben-Shalom, T.; Lapidot, S.; Shoseyov, O. Nanocellulose, a tiny fiber with huge applications. Curr. Opin. Biotechnol. 2016, 39, 76–88. [Google Scholar] [CrossRef]
- Mishra, R.K.; Sabu, A.; Tiwari, S.K. Materials chemistry and the futurist eco-friendly applications of nanocellulose: Status and prospect. J. Saudi Chem. Soc. 2018, 22, 949–978. [Google Scholar] [CrossRef]
- Blessy, J.; Sagarika, V.K.; Chinnu, S.; Nandakumar, K.; Sabu, T. Cellulose nanocomposites: Fabrication and biomedical applications. J. Bioresour. Bioprod. 2020, 5, 223–237. [Google Scholar]
- Srivastava, L.M. Cell wall, cell division. In Plant Growth and Development; Srivastava, L.M., Ed.; Academic Press: Cambridge, MA, USA, 2002; pp. 23–74. [Google Scholar]
- Loureiro, N.C.; Esteves, J.L. Green composites in automotive interior parts: A solution using cellulosic fibers. In Green Composites for Automotive Applications; Koronis, G., Silva, A., Eds.; Woodhead Publishing Series in Composites Science and Engineering; Woodhead Publishing: Sawston, UK, 2019; pp. 81–97. [Google Scholar]
- Garcia, A.; Gandini, A.; Labidi, J.; Belgacem, N.; Bras, J. Industrial and crop wastes: A new source for nanocellulose biorefinery. Ind. Crops Prod. 2016, 93, 26–38. [Google Scholar] [CrossRef]
- Trache, D.; Tarchoun, A.F.; Derradji, M.; Hamidon, T.S.; Masruchin, N.; Brosse, N.; Hussin, M.H. Nanocellulose: From Fundamentals to Advanced Applications. Front. Chem. 2020, 8, 392. [Google Scholar] [CrossRef] [PubMed]
- Pires, J.R.A.; Souza, V.G.L.; Fernando, A.L. Valorization of energy crops as a source for nanocellulose production–Current knowledge and future prospects. Ind. Crops Prod. 2019, 140, 111642. [Google Scholar] [CrossRef]
- Chakrabarty, A.; Teramoto, Y. Recent Advances in Nanocellulose Composites with Polymers: A Guide for Choosing Partners and How to Incorporate Them. Polymers 2018, 10, 517. [Google Scholar] [CrossRef] [PubMed] [Green Version]
- Thakur, V.K. Advanced Method for the Application of Recycled Polymer: Functionalization of Recycled Polymers. In Recycled Polymers: Properties and Applications, Volume 2; Smithers Rapra Technology Ltd.: Shewsbury, UK, 2015; ISBN 978-1-91024-228-5. [Google Scholar]
- Kucharczyk, P.; Sedlarik, V.; Miskolczi, N.; Szakacs, H.; Kitano, T. Properties enhancement of partially biodegradable polyamide/polylactide blends through compatibilization with novel polyalkenyl-poly-maleic-anhydride-amide/imide-based additives. J. Reinf. Plast. Compos. 2012, 31, 189–202. [Google Scholar] [CrossRef]
- Bartha, L.; Miskolczi, N.; Varga, C. Polyfunctional Compatibilizing Additive Package of Plastic and Rubber Composites and Method of Making the Sam. U.S. Patent 12/738,248, 14 October 2008. [Google Scholar]
- Taib, M.N.; Julkapli, N.M. Dimensional stability of natural fiber-based and hybrid composites. In Mechanical and Physical Testing of Biocomposites, Fiber-Reinforced Composites and Hybrid Composites; Jawaid, M., Thariq, M., Saba, N., Eds.; Woodhead Publishing: Sawston, UK, 2019; pp. 61–67. [Google Scholar]
- Penjumras, P.; AbdulRahman, R.; Talib, R.A.; Abdan, K. Effect of silane coupling agent on properties of biocomposites based on poly (lactic acid) and durian rind cellulose. IOP Conf. Ser. Mater. Sci. Eng. 2016, 137, 012006. [Google Scholar] [CrossRef] [Green Version]
- Müller, A.J.; Ávila, M.; Saenz, G.J.; Salazar, J. Crystallization of PLA-based Materials. In Poly (Lactic Acid) Science and Technology: Processing, Properties, Additives and Applications; Jiménez, A., Peltzer, M., Ruseckaite, R., Eds.; Royal Society of Chemistry: London, UK, 2015; pp. 66–98. [Google Scholar]
- Gupta, A.; Simmons, W.; Schueneman, G.T.; Hylton, D.; Mintz, E.A. Rheological and thermo-mechanical properties of poly (lactic acid)/lignin-coated cellulose nanocrystal composites. ACS Sustain. Chem. Eng. 2017, 5, 1711–1720. [Google Scholar] [CrossRef]
- Faraj, H.; Sollogoub, C.; Guinault, A.; Gervais, M.; Bras, J.; Salmi-Mani, H.; Roger, P.; Le Gars, M.; Domenek, S. A comparative study of the thermo-mechanical properties of polylactide/cellulose nanocrystal nanocomposites obtained by two surface compatibilization strategies. Mater. Today Commun. 2021, 29, 102907. [Google Scholar] [CrossRef]
- Marais, A.; Kochumalayil, J.J.; Nilsson, C.; Fogelström, L.; Gamstedt, E.K. Toward an alternative compatibilizer for PLA/cellulose composites: Grafting of xyloglucan with PLA. Carbohydr. Polym. 2012, 89, 1038–1043. [Google Scholar] [CrossRef]
- Singh, J.; Suhag, M.; Dhaka, A. Augmented digestion of lignocellulose by steam explosion, acid and alkaline pre-treatment methods: A review. Carbohydr. Polym. 2015, 117, 624–631. [Google Scholar] [CrossRef]
- Khenblouche, A.; Bechki, D.; Gouamid, M.; Charradi, K.; Segni, L.; Hadjadj, M.; Boughali, S. Extraction and characterization of cellulose microfibers from Retama raetam stems. Polímeros Ciência E Tecnol. 2019, 18, 1–8. [Google Scholar] [CrossRef]
- Nasri-Nasrabadi, B.; Behzad, T.; Bagheri, R. Extraction and Characterization of Rice Straw Cellulose Nanofibers by an Optimized Chemomechanical Method. J. Appl. Polym. Sci. 2014, 131, 1–7. [Google Scholar] [CrossRef]
- Song, K.; Zhu, X.; Zhu, W.; Li, X. Preparation and characterization of cellulose nanocrystal extracted from Calotropis procera biomass. Bioresour. Bioprocess. 2019, 6, 45. [Google Scholar] [CrossRef] [Green Version]
- Khili, F.; Borges, J.; Almeida, P.L.; Boukherroub, R.; Omrani, A.D. Extraction of cellulose nanocrystals with structure I and II and their applications for reduction of graphene oxide and nanocomposite elaboration. Waste Biomass Valorization 2019, 10, 1913–1927. [Google Scholar] [CrossRef]
- Wellen, R.M.; Rabello, M.S.; Araujo Júnior, I.C.; Fechine, G.J.; Canedo, E.L. Melting and crystallization of poly (3-hydroxybutyrate): Effect of heating/cooling rates on phase transformation. Polímeros 2015, 25, 296–304. [Google Scholar] [CrossRef] [Green Version]
- Jia, S.; Yu, D.; Zhu, Y.; Wang, Z.; Chen, L.; Fu, L. Morphology, crystallization and thermal behaviors of PLA-based composites: Wonderful effects of hybrid GO/PEG via dynamic impregnating. Polymers 2017, 9, 528. [Google Scholar] [CrossRef] [Green Version]
- Hassan, M.L.; Mathew, A.P.; Hassan, E.A.; Oksman, K. Effect of pretreatment of bagasse pulp on properties of isolated nanofibers and nanopaper sheets. Wood Fiber Sci. 2010, 42, 362–376. [Google Scholar]
- Yu, T.; Jiang, N.; Li, Y. Study on short ramie fiber/poly (lactic acid) composites compatibilized by maleic anhydride. Compos. Part A Appl. Sci. Manuf. 2014, 64, 139–146. [Google Scholar] [CrossRef]
- Tsou, C.-H.; Hung, W.-S.; Wu, C.-S.; Chen, J.-C.; Huang, C.-Y.; Chiu, S.-H.; Yao, W.-H.; Lin, S.-M.; Chu, C.-K.; Hu, C.-C.; et al. New composition of maleic-anhydride-grafted poly (lactic acid)/rice husk with methylenediphenyl diisocyanate. J. Mater. Sci. 2014, 20, 446–451. [Google Scholar] [CrossRef] [Green Version]
- Zhang, J.F.; Sun, X. Mechanical properties of poly (lactic acid)/starch composites compatibilized by maleic anhydride. Biomacromolecules 2004, 5, 1446–1451. [Google Scholar] [CrossRef]
- Jin, X.Z.; Yu, X.; Yang, C.; Qi, X.D.; Lei, Y.Z.; Wang, Y. Crystallization and hydrolytic degradation behaviors of poly (l-lactide) induced by carbon nanofibers with different surface modifications. Polym. Degrad. Stab. 2019, 170, 109014. [Google Scholar] [CrossRef]
- Mazuki, N.F.; Nagao, Y.; Kufian, M.Z.; Samsudin, A.S. The influences of PLA into PMMA on crystallinity and thermal properties enhancement-based hybrid polymer in gel properties. Mater. Today 2020, 49, 3105–3111. [Google Scholar] [CrossRef]
- Kumar, D.S.; Venkadeshwaran, K.; Aravindan, M.K. Fused deposition modelling of PLA reinforced with cellulose nano-crystals. Mater. Today Proc. 2020, 33, 868–875. [Google Scholar]
- Bhasney, S.M.; Mondal, K.; Kumar, A.; Katiyar, V. Effect of microcrystalline cellulose [MCC] fibers on the morphological and crystalline behaviour of high density polyethylene [HDPE]/polylactic acid [PLA] blends. Compos. Sci. Technol. 2020, 187, 10794. [Google Scholar]
- Beauson, J.; Schillani, G.; Van der Schueren, L.; Goutianos, S. The effect of processing conditions and polymer crystallinity on the mechanical properties of unidirectional self-reinforced PLA composites. Compos.-A Appl. Sci. Manuf. 2022, 152, 106668. [Google Scholar] [CrossRef]
- Zhang, Y.; Cui, L.; Xua, H.; Feng, X.; Wang, B.; Pukánszky, B.; Mao, Z.; Sui, X. Poly(lactic acid)/cellulose nanocrystal composites via the Pickering emulsion approach: Rheological, thermal and mechanical properties. Int. J. Biol. Macromol. 2019, 137, 197–204. [Google Scholar] [CrossRef]
- Fortunatia, E.; Armentano, I.; Zhoub, Q.; Puglia, D.; Terenzi, A.; Berglund, L.A.; Kenny, J.M. Microstructure and nonisothermal cold crystallization of PLA composites based on silver nanoparticles and nanocrystalline cellulose. Polym. Degr. Stab. 2012, 97, 2027–2036. [Google Scholar] [CrossRef]
- Ghasemi, S.; Behrooz, R.; Ghasemi, I.; Yassar, R.; Long, F. Development of nanocellulose-reinforced PLA nanocomposite by using maleated PLA (PLA-g-MA). J. Thermoplast. Compos. 2017, 31, 1090–1101. [Google Scholar] [CrossRef]
- Abdul Wahab, M.K.; Ismail, H.; Othman, N. Compatibilization Effects of PEg-MA on Mechanical, Thermal and Swelling Properties of High Density Polyethylene/Natural Rubber/Thermoplastic Tapioca Starch Blends. Polym. Plast. Technol. Eng. 2012, 51, 298–303. [Google Scholar] [CrossRef]
- Rahmat, M.; Karrabi, M.; Ghasemi, I.; Zandi, M.; Azizi, H. Silane crosslinking of electrospun poly (lactic acid)/nanocrystalline cellulose bionanocomposite. Mat. Sci. Eng. C 2016, 68, 397–405. [Google Scholar] [CrossRef]
- Robles, E.; Urruzola, I.; Labidi, J.; Serrano, L. Surface-modified nano-cellulose as reinforcement in poly(lactic acid) to conform new composites. Ind. Crops Prod. 2015, 71, 44–53. [Google Scholar] [CrossRef]
- Hoseini, M.; Haghtalab, A.; Famili, M.H. Rheology and morphology study of immiscible linear low-density polyethylene/poly (lactic acid) blends filled with nanosilica particles. J. Appl. Polym. Sci. 2017, 134, 45526. [Google Scholar] [CrossRef]











| Property | Standard | −10 °C | 20 °C | 50 °C |
|---|---|---|---|---|
| Tensile strength, MPa | MSZ EN ISO 527-2:2012 | 18.1 | 16.8 | 12.7 |
| E-modulus, MPa | MSZ EN ISO 527-2:2012 | 1370 | 975 | 880 |
| Elongation at break, % | MSZ EN ISO 527-2:2012 | 4.6 | 6.2 | 8.9 |
| Flexural strength, MPa | MSZ EN ISO 14125:1999 | 30.3 | 25.1 | 19.5 |
| E-modulus, MPa | MSZ EN ISO 14125:1999 | 780 | 750 | 610 |
| Elongation, % | MSZ EN ISO 14125:1999 | 1.5 | 2.5 | 3.8 |
| Charpy impact strength, kJ/m2 | MSZ EN ISO 179-2:2000 | 22.6 | 25.9 | 27.5 |
| Symbol | Name | Source | Chemical Formula |
|---|---|---|---|
| PE-g-MA | Polyethylene grafted maleic-anhydride | n.a. | ![]() |
| VTMS | Vinyl-trimetoxy-silane | Sigma-Aldrich | ![]() |
| PEG-300 | Poly (ethylene glycol), average molecular weight 300 | Sigma-Aldrich | ![]() |
| PEG-2000 | Poly (ethylene glycol), average molecular weight 2000 | Sigma-Aldrich | ![]() |
| OMAC | α-olefin-maleic anhydride copolymer | Synthetized at the University of Pannonia | ![]() |
| OMACE | α-olefin-maleic anhydride ester copolymer | Synthetized at the University of Pannonia | ![]() |
| Constituent | No-Chemical | PE-g-MA | VTMS | PEG-300 | PEG-2000 | OMAC | OMACE |
|---|---|---|---|---|---|---|---|
| PLA | 99 | 98 | 98 | 98 | 98 | 98 | 98 |
| Nano-cellulose | 1 | 1 | 1 | 1 | 1 | 1 | 1 |
| PE-g-MA | - | 1 | - | - | - | - | - |
| VTMS | - | - | 1 | - | - | - | - |
| PEG-300 | - | - | - | 1 | - | - | |
| PEG-2000 | - | - | - | - | 1 | - | - |
| OMAC | - | - | - | - | - | 1 | - |
| OMACE | - | - | - | - | - | - | 1 |
| Tc | ΔHc | Tg | Tcc | ΔHcc | Tm1 | Tm2 | ΔHm | Xc | |
|---|---|---|---|---|---|---|---|---|---|
| PLA | 73.0 | 9.2 | 51.8 | 85.6 | 8.5 | 161.6 | 168.7 | 43.7 | 37.6 |
| PLA-NC | 66.9 | 10.0 | - | 83.8 | 5.5 | 160.1 | 168.0 | 37.6 | 34.6 |
| PE-g-MA/NC/PLA | 69.8 | 21.8 | 51.8 | - | - | 159.7 | 166.7 | 41.4 | 45.1 |
| VTMS/NC/PLA | 110.4 | 1.4 | 41.8 | 85.3 | 11.1 | 159.8 | 167.2 | 44.4 | 36.3 |
| PEG-300/NC/PLA | 61.2 | 21.5 | 57.3 | 80.2 | 1.3 | 158.3 | 166.3 | 40.1 | 42.3 |
| PEG-2000/NC/PLA | 67.9 | 18.1 | 50.1 | 78.4 | 0.5 | 158.9 | 167.4 | 40.1 | 43.1 |
| OMAC/NC/PLA | 60.0 | 5.3 | 45.3 | 85.0 | 12.2 | 159.9 | 167.9 | 42.7 | 33.2 |
| OMACE/NC/PLA | 60.5 | 7.6 | - | 80.6 | 9.1 | 150.6 | 161.6 | 31.1 | 24.0 |
Publisher’s Note: MDPI stays neutral with regard to jurisdictional claims in published maps and institutional affiliations. |
© 2022 by the authors. Licensee MDPI, Basel, Switzerland. This article is an open access article distributed under the terms and conditions of the Creative Commons Attribution (CC BY) license (https://creativecommons.org/licenses/by/4.0/).
Share and Cite
Lozano Fernandez, M.E.; Miskolczi, N. Production of Cellulose Nano-Fibers and Its Application in Poly-Lactic-Acid: Property Improvement by New Types of Coupling Agents. Polymers 2022, 14, 1887. https://doi.org/10.3390/polym14091887
Lozano Fernandez ME, Miskolczi N. Production of Cellulose Nano-Fibers and Its Application in Poly-Lactic-Acid: Property Improvement by New Types of Coupling Agents. Polymers. 2022; 14(9):1887. https://doi.org/10.3390/polym14091887
Chicago/Turabian StyleLozano Fernandez, Maria Elena, and Norbert Miskolczi. 2022. "Production of Cellulose Nano-Fibers and Its Application in Poly-Lactic-Acid: Property Improvement by New Types of Coupling Agents" Polymers 14, no. 9: 1887. https://doi.org/10.3390/polym14091887
APA StyleLozano Fernandez, M. E., & Miskolczi, N. (2022). Production of Cellulose Nano-Fibers and Its Application in Poly-Lactic-Acid: Property Improvement by New Types of Coupling Agents. Polymers, 14(9), 1887. https://doi.org/10.3390/polym14091887







