Analysis of Elongational Viscosity of Entangled Poly (Propylene Carbonate) Melts by Primitive Chain Network Simulations
Abstract
1. Introduction
2. Model and Simulations
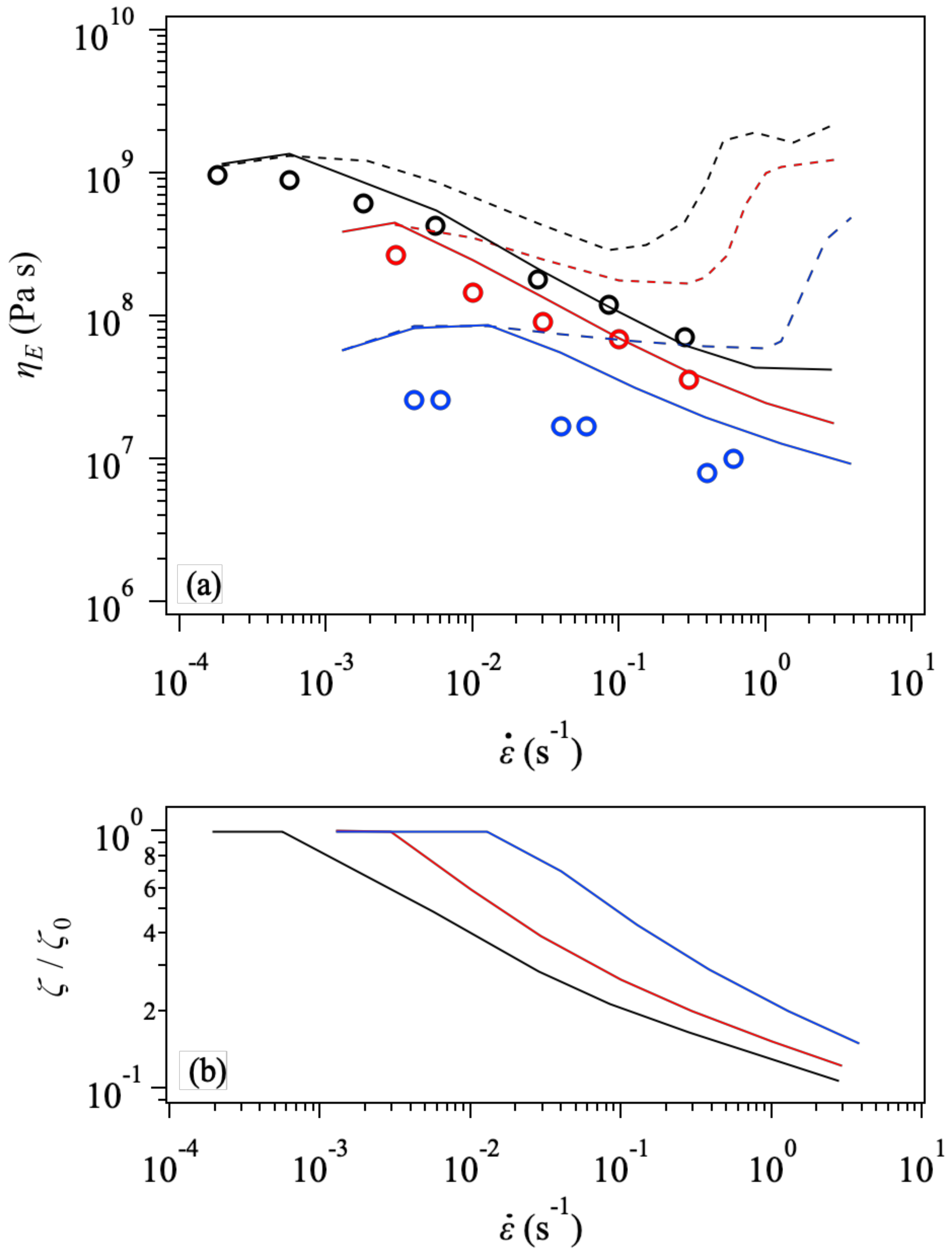
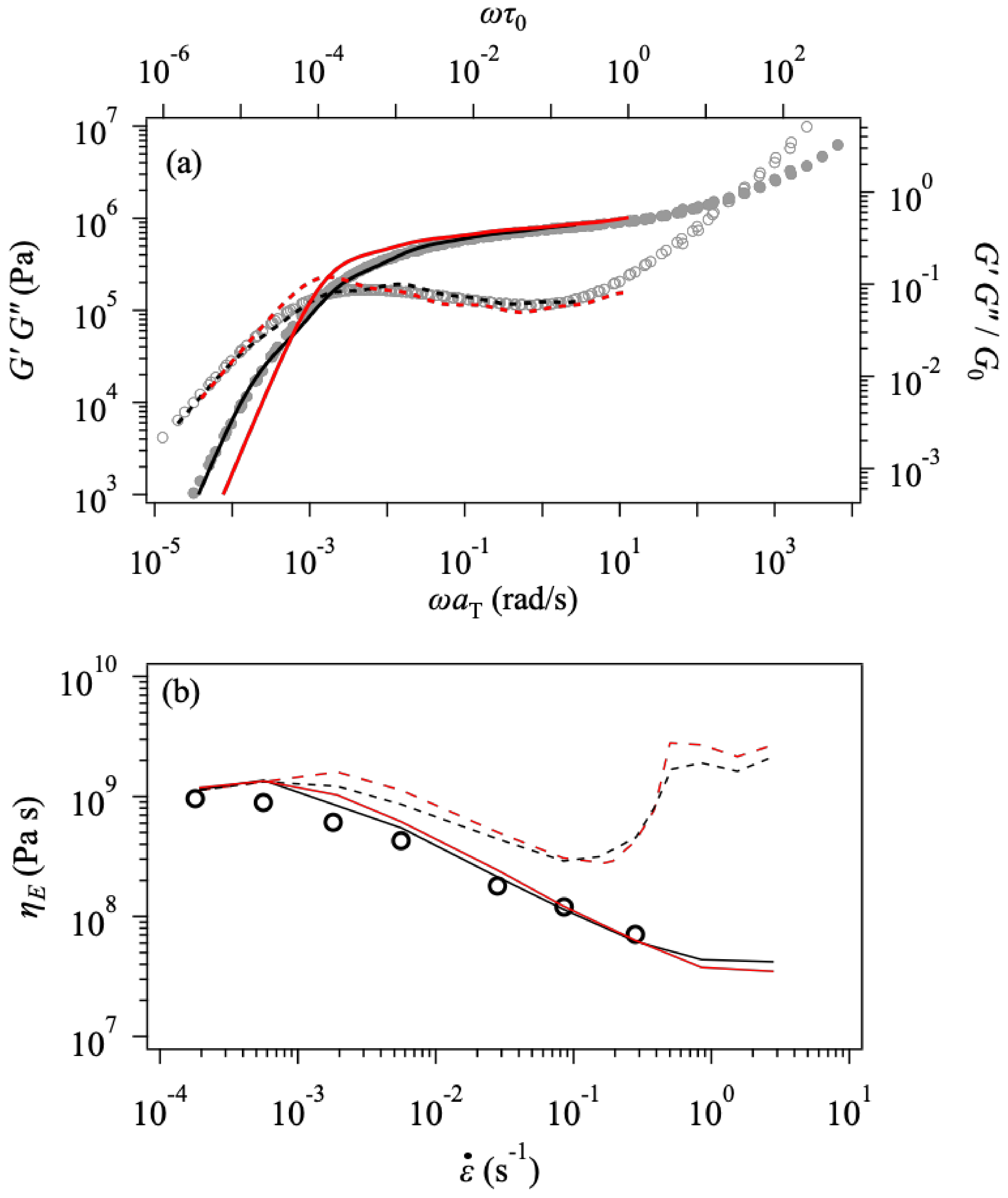
3. Results and Discussion
4. Conclusions
Author Contributions
Funding
Institutional Review Board Statement
Informed Consent Statement
Data Availability Statement
Conflicts of Interest
References
- Ianniruberto, G.; Marrucci, G.; Masubuchi, Y. Melts of Linear Polymers in Fast Flows. Macromolecules 2020, 53, 5023–5033. [Google Scholar] [CrossRef]
- Doi, M.; Edwards, S.F. The Theory of Polymer Dynamics; Oxford University Press: Oxford, UK, 1986. [Google Scholar]
- Marrucci, G.; Grizzuti, N. Fast flows of concentrated polymers: Predictions of the tube model on chain stretching. Gazz. Chmica Ital. 1988, 118, 179–185. [Google Scholar]
- Bhattacharjee, P.K.; Nguyen, D.A.; McKinley, G.H.; Sridhar, T. Extensional stress growth and stress relaxation in entangled polymer solutions. J. Rheol. 2003, 47, 269. [Google Scholar] [CrossRef]
- Bhattacharjee, P.K.; Oberhauser, J.P.; McKinley, G.H.; Leal, L.G.; Sridhar, T. Extensional rheometry of entangled solutions. Macromolecules 2002, 35, 10131–10148. [Google Scholar] [CrossRef]
- Huang, Q.; Hengeller, L.; Alvarez, N.J.; Hassager, O. Bridging the Gap between Polymer Melts and Solutions in Extensional Rheology. Macromolecules 2015, 48, 4158–4163. [Google Scholar] [CrossRef]
- Huang, Q.; Mednova, O.; Rasmussen, H.K.; Alvarez, N.J.; Skov, A.L.; Almdal, K.; Hassager, O. Concentrated polymer solutions are different from melts: Role of entanglement molecular weight. Macromolecules 2013, 46, 5026–5035. [Google Scholar] [CrossRef]
- Sridhar, T.; Acharya, M.; Nguyen, D.A.; Bhattacharjee, P.K. On the Extensional Rheology of Polymer Melts and Concentrated Solutions. Macromolecules 2014, 47, 379–386. [Google Scholar] [CrossRef]
- Bach, A.; Almdal, K.; Rasmussen, H.K.; Hassager, O. Elongational viscosity of narrow molar mass distribution polystyrene. Macromolecules 2003, 36, 5174–5179. [Google Scholar] [CrossRef]
- Nielsen, J.K.; Rasmussen, H.K.; Hassager, O.; McKinley, G.H. Elongational viscosity of monodisperse and bidisperse polystyrene melts. J. Rheol. 2006, 50, 453–476. [Google Scholar] [CrossRef]
- Wingstrand, S.L.; Alvarez, N.J.; Huang, Q.; Hassager, O. Linear and Nonlinear Universality in the Rheology of Polymer Melts and Solutions. Phys. Rev. Lett. 2015, 115, 1–5. [Google Scholar] [CrossRef]
- Wagner, M.H.; Kheirandish, S.; Koyama, K.; Nishioka, A.; Minegishi, A.; Takahashi, T. Modeling strain hardening of polydisperse polystyrene melts by molecular stress function theory. Rheol. Acta 2005, 44, 235–243. [Google Scholar] [CrossRef]
- Stephanou, P.S.; Kröger, M. From intermediate anisotropic to isotropic friction at large strain rates to account for viscosity thickening in polymer solutions. J. Chem. Phys. 2018, 148, 184903. [Google Scholar] [CrossRef]
- Ianniruberto, G.; Brasiello, A.; Marrucci, G. Simulations of fast shear flows of PS oligomers confirm monomeric friction reduction in fast elongational flows of monodisperse PS melts as indicated by rheooptical data. Macromolecules 2012, 45, 8058–8066. [Google Scholar] [CrossRef]
- Yaoita, T.; Isaki, T.; Masubuchi, Y.; Watanabe, H.; Ianniruberto, G.; Marrucci, G. Primitive chain network simulation of elongational flows of entangled linear chains: Stretch/orientation-induced reduction of monomeric friction. Macromolecules 2012, 45, 2773–2782. [Google Scholar] [CrossRef]
- Masubuchi, Y.; Matsumiya, Y.; Watanabe, H. Test of Orientation/Stretch-Induced Reduction of Friction via Primitive Chain Network Simulations for Polystyrene, Polyisoprene, and Poly(n-butyl acrylate). Macromolecules 2014, 47, 6768–6775. [Google Scholar] [CrossRef]
- Takeda, K.; Sukumaran, S.K.; Sugimoto, M.; Koyama, K.; Masubuchi, Y. Primitive chain network simulations for elongational viscosity of bidisperse polystyrene melts. Adv. Modeling Simul. Eng. Sci. 2015, 2, 11. [Google Scholar] [CrossRef]
- Masubuchi, Y.; Matsumiya, Y.; Watanabe, H.; Marrucci, G.; Ianniruberto, G. Primitive chain network simulations for Pom-Pom polymers in uniaxial elongational flows. Macromolecules 2014, 47, 3511–3519. [Google Scholar] [CrossRef]
- Masubuchi, Y.; Ianniruberto, G.; Marrucci, G. Primitive Chain Network Simulations of Entangled Melts of Symmetric and Asymmetric Star Polymers in Uniaxial Elongational Flows. J. Soc. Rheol. Jpn. 2021, 3, 171–178. [Google Scholar] [CrossRef]
- Yaoita, T.; Masubuchi, Y.; Watanabe, H. Concept of Stretch/Orientation-Induced Friction Reduction Tested with a Simple Molecular Constitutive Equation. Nihon Reoroji Gakkaishi 2014, 42, 207–213. [Google Scholar] [CrossRef]
- Desai, P.S.; Larson, R.G. Constitutive model that shows extension thickening for entangled solutions and extension thinning for melts. J. Rheol. 2014, 58, 255–279. [Google Scholar] [CrossRef]
- Ianniruberto, G. Extensional Flows of Solutions of Entangled Polymers Confirm Reduction of Friction Coefficient. Macromolecules 2015, 48, 6306–6312. [Google Scholar] [CrossRef]
- Costanzo, S.; Huang, Q.; Ianniruberto, G.; Marrucci, G.; Hassager, O.; Vlassopoulos, D. Shear and Extensional Rheology of Polystyrene Melts and Solutions with the Same Number of Entanglements. Macromolecules 2016, 49, 3925–3935. [Google Scholar] [CrossRef]
- Park, G.W.; Ianniruberto, G. Flow-Induced Nematic Interaction and Friction Reduction Successfully Describe PS Melt and Solution Data in Extension Startup and Relaxation. Macromolecules 2017, 50, 4787–4796. [Google Scholar] [CrossRef]
- Matsumiya, Y.; Watanabe, H.; Masubuchi, Y.; Huang, Q.; Hassager, O. Nonlinear Elongational Rheology of Unentangled Polystyrene and Poly(p-tert-butylstyrene) Melts. Macromolecules 2018, 51, 9710–9729. [Google Scholar] [CrossRef]
- Morelly, S.L.; Palmese, L.; Watanabe, H.; Alvarez, N.J. Effect of Finite Extensibility on Nonlinear Extensional Rheology of Polymer Melts. Macromolecules 2019, 52, 915–922. [Google Scholar] [CrossRef]
- Masubuchi, Y.; Yaoita, T.; Matsumiya, Y.; Watanabe, H.; Ianniruberto, G.; Marrucci, G. Stretch/orientation Induced Acceleration in Stress Relaxation in Coarse-grained Molecular Dynamics Simulations. Nihon Reoroji Gakkaishi 2013, 41, 35–37. [Google Scholar] [CrossRef]
- Ianniruberto, G.; Marrucci, G. Molecular Dynamics Reveals a Dramatic Drop of the Friction Coefficient in Fast Flows of Polymer Melts. Macromolecules 2020, 53, 2627–2633. [Google Scholar] [CrossRef]
- O’connor, T.C.; Hopkins, A.; Robbins, M.O. Stress Relaxation in Highly Oriented Melts of Entangled Polymers. Macromolecules 2019, 52, 8540–8550. [Google Scholar] [CrossRef]
- Kida, T.; Doi, Y.; Tanaka, R.; Uneyama, T.; Shiono, T.; Masubuchi, Y. Rheological properties of linear and short-chain branched polyethylene with nearly monodispersed molecular weight distribution. Rheol. Acta 2021, 60, 511–519. [Google Scholar] [CrossRef]
- Yang, L.; Uneyama, T.; Masubuchi, Y.; Doi, Y. Linear Rheological Properties of Poly (Propylene Carbonate) with Different Molecular Weights. Nihon Reoroji Gakkaishi 2021, 49, 267–274. [Google Scholar] [CrossRef]
- Yang, L.; Uneyama, T.; Masubuchi, Y.; Doi, Y. Nonlinear Shear and Elongational Rheology of Poly(Propylene Carbonate). Nihon Reoroji Gakkaishi 2022, 50, 127–135. [Google Scholar] [CrossRef]
- Masubuchi, Y.; Takimoto, J.-I.; Koyama, K.; Ianniruberto, G.; Marrucci, G.; Greco, F. Brownian simulations of a network of reptating primitive chains. J. Chem. Phys. 2001, 115, 4387–4394. [Google Scholar] [CrossRef]
- Masubuchi, Y.; Ianniruberto, G.; Greco, F.; Marrucci, G. Entanglement molecular weight and frequency response of sliplink networks. J. Chem. Phys. 2003, 119, 6925–6930. [Google Scholar] [CrossRef]
- Masubuchi, Y.; Ianniruberto, G.; Greco, F.; Marrucci, G. Molecular simulations of the long-time behaviour of entangled polymeric liquids by the primitive chain network model. Model. Simul. Mater. Sci. Eng. 2004, 12, S91–S100. [Google Scholar] [CrossRef]
- Masubuchi, Y.; Ianniruberto, G.; Greco, F.; Marrucci, G. Quantitative comparison of primitive chain network simulations with literature data of linear viscoelasticity for polymer melts. J. Non-Newton. Fluid Mech. 2008, 149, 87–92. [Google Scholar] [CrossRef]
- Masubuchi, Y. PASTA and NAPLES: Rheology Simulator. In Computer Simulation of Polymeric Materials; Springer: Singapore, 2016; pp. 101–127. ISBN 9789811008153. [Google Scholar]
- Yaoita, T.; Isaki, T.; Masubuchi, Y.; Watanabe, H.; Ianniruberto, G.; Marrucci, G. Primitive chain network simulation of elongational flows of entangled linear chains: Role of finite chain extensibility. Macromolecules 2011, 44, 9675–9682. [Google Scholar] [CrossRef]
- Takeda, K.; Sukumaran, S.K.S.K.; Sugimoto, M.; Koyama, K.; Masubuchi, Y. Test of the Stretch/Orientation-Induced Reduction of Friction for Biaxial Elongational Flow via Primitive Chain Network Simulation. Nihon Reoroji Gakkaishi 2015, 43, 63–69. [Google Scholar] [CrossRef]
- Bhattacharjee, P.K.; Nguyen, D.A.; Masubuchi, Y.; Sridhar, T. Extensional Step Strain Rate Experiments on an Entangled Polymer Solution. Macromolecules 2017, 50, 386–395. [Google Scholar] [CrossRef]
- Masubuchi, Y. Contraction of Entangled Polymers After Large Step Shear Deformations in Slip-Link Simulations. Polymers 2019, 11, 370. [Google Scholar] [CrossRef]
- Takeda, K.; Masubuchi, Y.; Sugimoto, M.; Koyama, K.; Sukumaran, S.K. Simulations of Startup Planar Elongation of an Entangled Polymer Melt. Nihon Reoroji Gakkaishi 2020, 48, 43–48. [Google Scholar] [CrossRef]
- Harmandaris, V.A.; Mavrantzas, V.G.; Theodorou, D.N. Atomistic molecular dynamics simulation of stress relaxation upon cessation of steady-state uniaxial elongational flow. Macromolecules 2000, 33, 8062–8076. [Google Scholar] [CrossRef]
- Stephanou, P.S.; Mavrantzas, V.G. Quantitative predictions of the linear viscoelastic properties of entangled polyethylene and polybutadiene melts via modified versions of modern tube models on the basis of atomistic simulation data. J. Non-Newton. Fluid Mech. 2013, 200, 111–130. [Google Scholar] [CrossRef]
- Behbahani, A.F.; Schneider, L.; Rissanou, A.; Chazirakis, A.; Bačová, P.; Jana, P.K.; Li, W.; Doxastakis, M.; Polińska, P.; Burkhart, C.; et al. Dynamics and Rheology of Polymer Melts via Hierarchical Atomistic, Coarse-Grained, and Slip-Spring Simulations. Macromolecules 2021, 54, 2740–2762. [Google Scholar] [CrossRef]
- Spyriouni, T.; Tzoumanekas, C.; Theodorou, D.; Müller-Plathe, F.; Milano, G. Coarse-Grained and Reverse-Mapped United-Atom Simulations of Long-Chain Atactic Polystyrene Melts: Structure, Thermodynamic Properties, Chain Conformation, and Entanglements. Macromolecules 2007, 40, 3876–3885. [Google Scholar] [CrossRef]
- Masubuchi, Y.; Uneyama, T.; Watanabe, H.; Ianniruberto, G.; Greco, F.; Marrucci, G. Structure of entangled polymer network from primitive chain network simulations. J. Chem. Phys. 2010, 132, 134902. [Google Scholar] [CrossRef]
- Masubuchi, Y.; Kida, T.; Doi, Y.; Uneyama, T. Radial Distribution Functions of Entanglements in Primitive Chain Network Simulations. Nihon Reoroji Gakkaishi 2021, 49, 337–345. [Google Scholar] [CrossRef]
- Masubuchi, Y. Simulating the Flow of Entangled Polymers. Annu. Rev. Chem. Biomol. Eng. 2014, 5, 11–33. [Google Scholar] [CrossRef]
- Masubuchi, Y. Molecular modeling for polymer rheology. In Reference Module in Materials Science and Materials Engineering; Elsevier: Amsterdam, The Netherlands, 2016; pp. 1–7. ISBN 9780128035818. [Google Scholar]
- Masubuchi, Y.; Doi, Y.; Uneyama, T. Entanglement Molecular Weight. Nihon Reoroji Gakkaishi 2020, 48, 177–183. [Google Scholar] [CrossRef]
- Uneyama, T.; Masubuchi, Y. Detailed balance condition and effective free energy in the primitive chain network model. J. Chem. Phys. 2011, 135, 184904. [Google Scholar] [CrossRef]
- Uneyama, T.; Masubuchi, Y. Plateau Moduli of Several Single-Chain Slip-Link and Slip-Spring Models. Macromolecules 2021, 54, 1338–1353. [Google Scholar] [CrossRef]
- Masubuchi, Y.; Uneyama, T. Comparison among multi-chain models for entangled polymer dynamics. Soft Matter 2018, 14, 5986–5994. [Google Scholar] [CrossRef]
- Masubuchi, Y.; Watanabe, H.; Ianniruberto, G.; Greco, F.; Marrucci, G. Comparison among Slip-Link Simulations of Bidisperse Linear Polymer Melts. Macromolecules 2008, 41, 8275–8280. [Google Scholar] [CrossRef]
- Masubuchi, Y.; Yaoita, T.; Matsumiya, Y.; Watanabe, H. Primitive chain network simulations for asymmetric star polymers. J. Chem. Phys. 2011, 134, 194905. [Google Scholar] [CrossRef]
- Masubuchi, Y.; Matsumiya, Y.; Watanabe, H.; Shiromoto, S.; Tsutsubuchi, M.; Togawa, Y. Primitive chain network simulations for comb-branched polymer under step shear deformations. Rheol. Acta 2012, 51, 1–8. [Google Scholar] [CrossRef][Green Version]
- Masubuchi, Y. Multichain Slip-Spring Simulations for Branch Polymers. Macromolecules 2018, 51, 10184–10193. [Google Scholar] [CrossRef]
- Masubuchi, Y.; Ianniruberto, G.; Marrucci, G. Primitive chain network simulations for H-polymers under fast shear. Soft Matter 2020, 16, 1056–1065. [Google Scholar] [CrossRef]
- Furuichi, K.; Nonomura, C.; Masubuchi, Y.; Watanabe, H.; Ianniruberto, G.; Greco, F.; Marrucci, G. Entangled polymer orientation and stretch under large step shear deformations in primitive chain network simulations. Rheol. Acta 2008, 47, 591–599. [Google Scholar] [CrossRef]
- Furuichi, K.; Nonomura, C.; Masubuchi, Y.; Ianniruberto, G.; Greco, F.; Marrucci, G. Primitive Chain Network Simulations of Damping Functions for Shear, Uniaxial, Biaxial and Planar Deformations. Nihon Reoroji Gakkaishi 2007, 35, 73–77. [Google Scholar] [CrossRef]
- Furuichi, K.; Nonomura, C.; Masubuchi, Y.; Watanabe, H. Chain contraction and nonlinear stress damping in primitive chain network simulations. J. Chem. Phys. 2010, 133, 174902. [Google Scholar] [CrossRef]
- Masubuchi, Y.; Watanabe, H. Origin of stress overshoot under start-up shear in primitive chain network simulation. ACS Macro Lett. 2014, 3, 1183–1186. [Google Scholar] [CrossRef]
- Masubuchi, Y.; Ianniruberto, G.; Marrucci, G. Stress Undershoot of Entangled Polymers under Fast Startup Shear Flows in Primitive Chain Network Simulations. Nihon Reoroji Gakkaishi 2018, 46, 23–28. [Google Scholar] [CrossRef]
- Peterlin, A. Gradient Dependence of Intrinsic Viscosity of Freely Flexible Linear Macromolecules. J. Chem. Phys. 1960, 33, 1799. [Google Scholar] [CrossRef]
- Boudara, V.A.H.; Read, D.J.; Ramírez, J. Reptate rheology software: Toolkit for the analysis of theories and experiments. J. Rheol. 2020, 64, 709–722. [Google Scholar] [CrossRef]
- Yang, L. Linear and Nonlinear Rheological Properties of Poly(Propylene Carbonate); Nagoya University: Nagoya, Japan, 2022. [Google Scholar]
- Wagner, M.H.; Rolon-Garrido, V.H. Nonlinear rheology of linear polymer melts: Modeling chain stretch by interchain tube pressure and Rouse time. Korea-Aust. Rheol. J. 2009, 21, 203–211. [Google Scholar]






| Code | ||||||
|---|---|---|---|---|---|---|
| Zw47 (PPC158k *) | 11 | 0.09 | 47.3 | 1.31 | 158 | 1.30 |
| 22 | 0.41 | |||||
| 44 | 0.41 | |||||
| 88 | 0.09 | |||||
| Zw34 (PPC111k *) | 8 | 0.09 | 33.7 | 1.30 | 111 | 1.30 |
| 16 | 0.41 | |||||
| 32 | 0.41 | |||||
| 62 | 0.09 | |||||
| Zw21 (PPC69k *) | 4 | 0.1 | 20.6 | 1.41 | 68.8 | 1.43 |
| 8 | 0.4 | |||||
| 18 | 0.4 | |||||
| 38 | 0.1 | |||||
| Z47 | 47 | 1 | 47 | 1 | - | - |
Publisher’s Note: MDPI stays neutral with regard to jurisdictional claims in published maps and institutional affiliations. |
© 2022 by the authors. Licensee MDPI, Basel, Switzerland. This article is an open access article distributed under the terms and conditions of the Creative Commons Attribution (CC BY) license (https://creativecommons.org/licenses/by/4.0/).
Share and Cite
Masubuchi, Y.; Yang, L.; Uneyama, T.; Doi, Y. Analysis of Elongational Viscosity of Entangled Poly (Propylene Carbonate) Melts by Primitive Chain Network Simulations. Polymers 2022, 14, 741. https://doi.org/10.3390/polym14040741
Masubuchi Y, Yang L, Uneyama T, Doi Y. Analysis of Elongational Viscosity of Entangled Poly (Propylene Carbonate) Melts by Primitive Chain Network Simulations. Polymers. 2022; 14(4):741. https://doi.org/10.3390/polym14040741
Chicago/Turabian StyleMasubuchi, Yuichi, Lixin Yang, Takashi Uneyama, and Yuya Doi. 2022. "Analysis of Elongational Viscosity of Entangled Poly (Propylene Carbonate) Melts by Primitive Chain Network Simulations" Polymers 14, no. 4: 741. https://doi.org/10.3390/polym14040741
APA StyleMasubuchi, Y., Yang, L., Uneyama, T., & Doi, Y. (2022). Analysis of Elongational Viscosity of Entangled Poly (Propylene Carbonate) Melts by Primitive Chain Network Simulations. Polymers, 14(4), 741. https://doi.org/10.3390/polym14040741

