Corona Resistance Mechanism of Nano-Modified Polyimide
Abstract
1. Introduction
2. Materials and Methods
2.1. Main Experimental Materials and Experimental Apparatus
2.2. Preparation of Nano-SiO2 Dispersion
2.3. Preparation of Nano-Hybrid Composite Films
2.4. Testing and Characterization
3. Results and Discussion
3.1. Morphology of the Composite Films
3.2. Infrared Spectroscopy Characterization of Composite Films
3.3. Mechanical Property Test
3.4. Conductivity Current Test
3.5. Corona Resistance Test
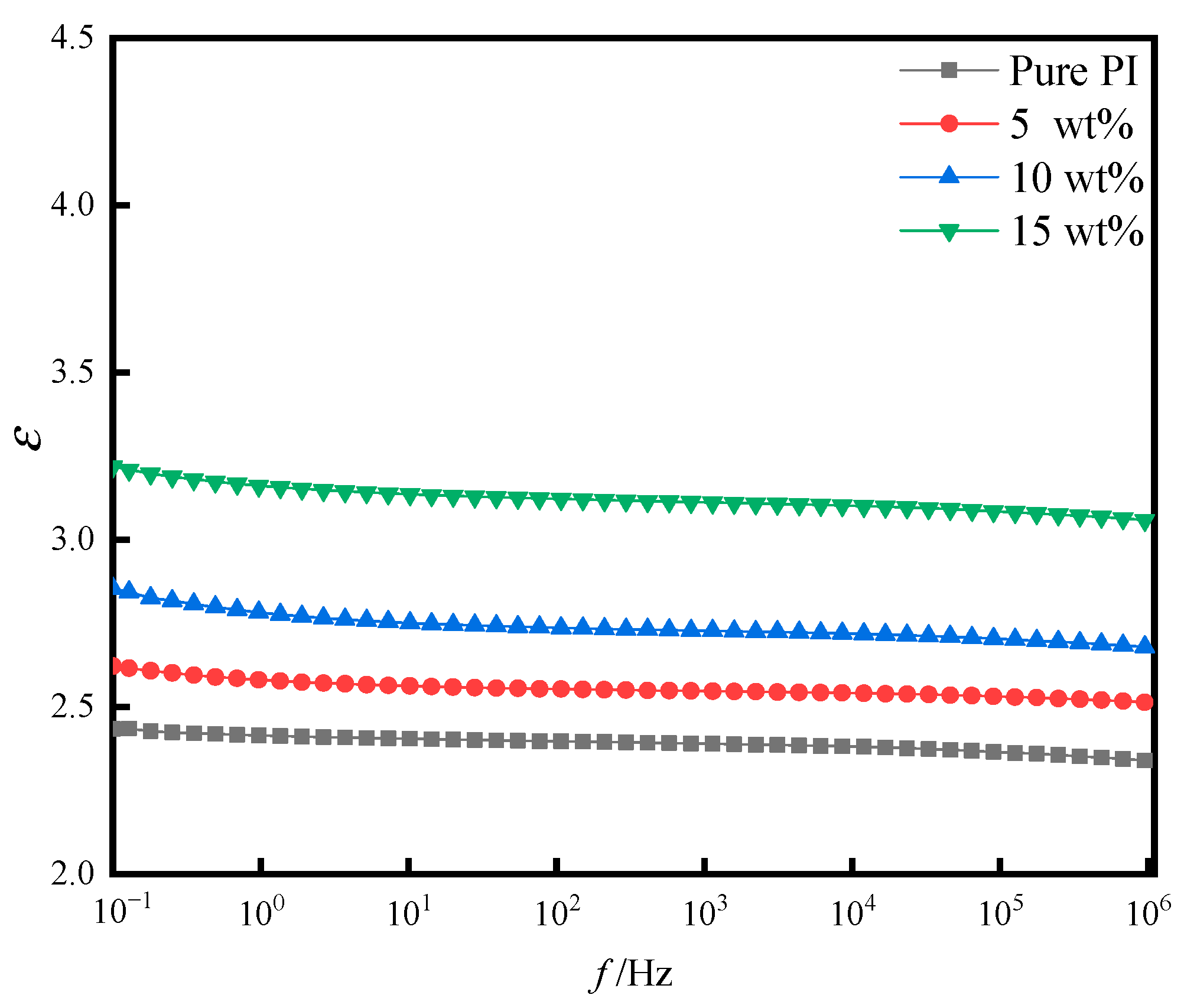
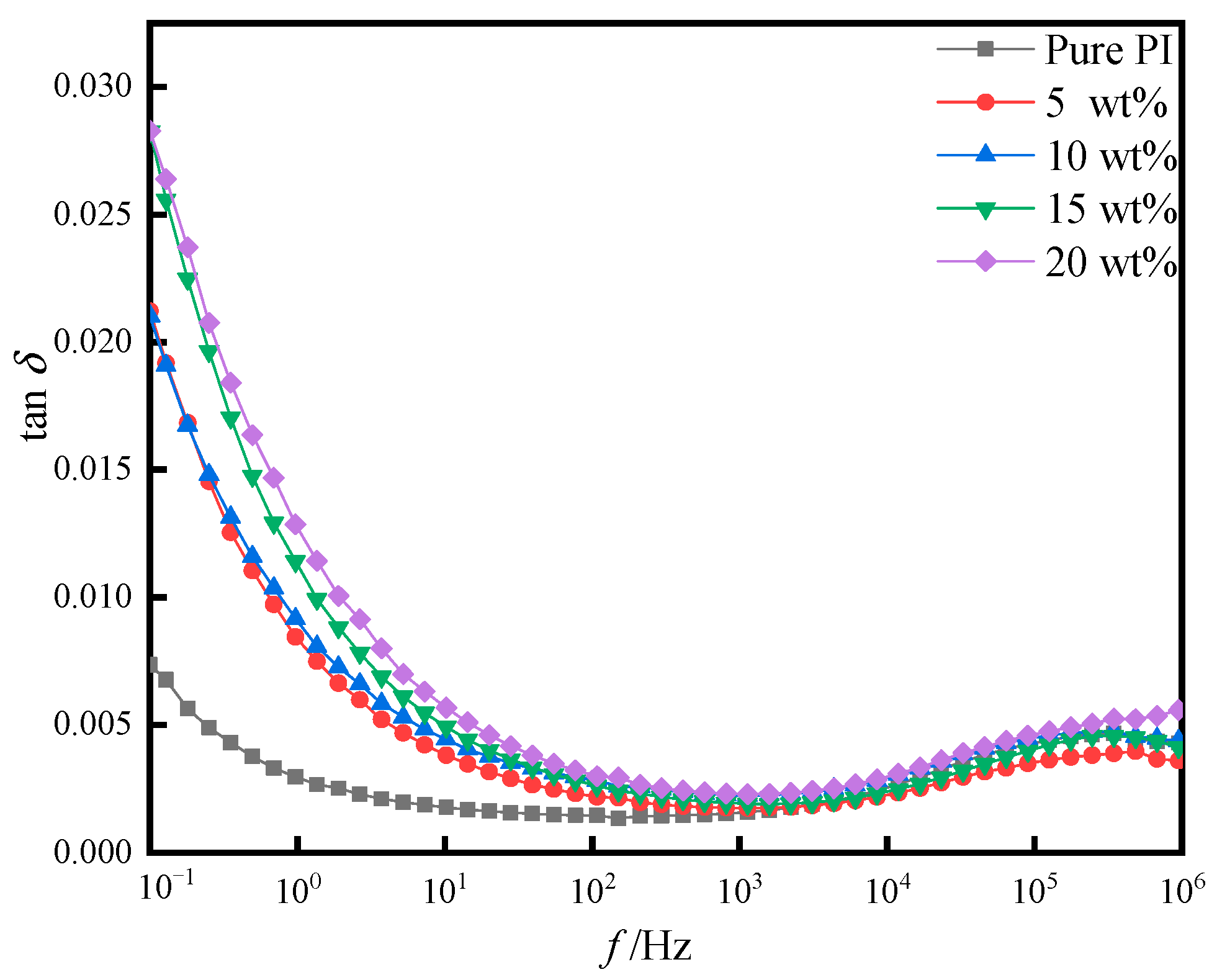
3.6. Dielectric Properties of PI/SiO2 Composite Films
4. Conclusions
- (1)
- The addition of inorganic nano-components improves the density of thermally excited carriers of the material. It increases the density of trap carriers by the improvement of the threshold of the electrically aging material. The addition of nanoparticles can improve the corona resistance and thermal conductivity of the film, reduce the erosion of the film by thermionic bombing, and make the corona resistance time of the film increase with the increase of doping amount.
- (2)
- The increase in the dielectric constant of the PI film after nano-SiO2 hybridization is due to the larger dielectric constant of the nano-SiO2 particles, and the combination with the PI matrix increases the polarization mode. The addition of nanoparticles shortens the electronic transition distance of space charge, increases the generation of probabilistic space charge, and leads to an increase in dielectric loss and conductivity.
- (3)
- The corona-resistant lifespan of PI/nano-SiO2 composite films increases significantly with the increase of nano-SiO2 doping, combined with the electric aging threshold. When the applied electric field strength is extrapolated to 20 kV/mm, the corona resistance time of 10 wt% PI/SiO2 three-layer composite film is 5166.75 h. When the applied electric field strength is extrapolated to 20 kV/mm, the corona resistance time of 15 wt% PI/SiO2 three-layer composite film is 9518.57 h.
Author Contributions
Funding
Institutional Review Board Statement
Informed Consent Statement
Data Availability Statement
Conflicts of Interest
References
- Akram, S.; Wang, P.; Nazir, M.T.; Zhou, K.; Bhutta, M.S.; Hussain, H. Impact of impulse voltage frequency on the partial discharge characteristic of electric vehicles motor insulation. Eng. Fail. Anal. 2020, 116, 104767. [Google Scholar] [CrossRef]
- Lai, G.-H.; Huang, T.-C.; Tseng, I.-H.; Huang, B.-S.; Yang, T.-I.; Tsai, M.-H. Transparency anticorrosion coatings prepared from alumina-covered graphene oxide/polyimide nanocomposites. Express Polym. Lett. 2019, 13, 772–784. [Google Scholar] [CrossRef]
- Sousa, J.; Marques, J.; Garcia, M.; Infante, V.; Amaral, P. Mechanical characterization of sandwich composites with embedded sensors. Eng. Fail. Anal. 2020, 117, 104765. [Google Scholar] [CrossRef]
- Lee, Y.-C.; Ahn, J.-H.; Lee, C.-Y. Grid-type sensors using resistance change ratio for micro-crack detection. Eng. Fail. Anal. 2021, 119, 104973. [Google Scholar] [CrossRef]
- Kronenberg, P.; Rastogi, P.K.; Giaccari, P.; Limberger, H.G. Relative humidity sensor with optical fiber Bragg gratings. Opt. Lett. 2002, 27, 1385. [Google Scholar] [CrossRef] [PubMed]
- Lin, D.; Liu, Y.; Cui, Y. Reviving the lithium metal anode for high-energy batteries. Nat. Nanotechnol. 2017, 12, 194–206. [Google Scholar] [CrossRef]
- Zhao, J.; Kang, T.; Chu, Y.; Chen, P.; Jin, F.; Shen, Y.; Chen, L. A polyimide cathode with superior stability and rate capability for lithium-ion batteries. Nano Res. 2019, 12, 1355–1360. [Google Scholar] [CrossRef]
- Palneedi, H.; Peddigari, M.; Hwang, G.-T.; Jeong, D.-Y.; Ryu, J. High-Performance Dielectric Ceramic Films for Energy Storage Capacitors: Progress and outlook. Adv. Funct. Mater. 2018, 28, 1803665. [Google Scholar] [CrossRef]
- Akram, S.; Castellon, J.; Kai, Z.; Agnel, S.; Habas, J.-P.; Nazir, M.T. Dielectric properties and modeling of multilayer polyimide nanocomposite to highlight the impact of nanoparticles dispersion. IEEE Trans. Dielectr. Electr. Insul. 2020, 27, 1238–1246. [Google Scholar] [CrossRef]
- Akram, S.; Gao, G.; Liu, Y.; Zhu, J.; Wu, G. Degradation mechanism of A12O3 nano filled polyimide film due to surface discharge under square impulse voltage. IEEE Trans. Dielectr. Electr. Insul. 2015, 22, 3341–3349. [Google Scholar] [CrossRef]
- Akram, S.; Yang, Y.; Zhong, X.; Bhutta, S.; Wu, G.; Castellon, J.; Zhou, K. Influence of nano layer structure of polyimide film on space charge behavior and trap levels. IEEE Trans. Dielectr. Electr. Insul. 2018, 25, 1461–1469. [Google Scholar] [CrossRef]
- Akram, S.; Castellon, J.; Agnel, S.; Habas, J.-P. Synthesis Process Optimization of Polyimide Nanocomposite Multilayer Films, Their Dielectric Properties, and Modeling. In Polyimide for Electronic and Electrical Engineering Applications; IntechOpen: London, UK, 2020. [Google Scholar]
- Chen, B.K.; Chiu, T.M.; Tsay, S.Y. Synthesis and characterization of polyimide/silica hybrid nanocomposites. J. Appl. Polym. Sci. 2010, 94, 382–393. [Google Scholar] [CrossRef]
- Ounaies, Z.; Park, C.; Wise, K.E. Electrical properties of single wall carbon nanotube reinforced polyimide composites. Compos. Sci. Technol. 2003, 63, 1637–1646. [Google Scholar] [CrossRef]
- Yang, W.; Liu, Y.; Hu, X. Multilayer Nanofiber Composite Separator for Lithium-Ion Batteries with High Safety. Polymers 2019, 11, 1671. [Google Scholar] [CrossRef]
- Roy, M.; Nelson, J.K.; Reed, C.W.; MacCrone, R.K.; Keefe, R.J.; Zenger, W.; Schadler, L.S. Polymer Nanocomposite Dielectrics—The Role of the Interface. IEEE Trans. Dielectr. Electr. Insul. 2005, 12, 1273. [Google Scholar]
- Nazir, M.T.; Phung, B.T.; Li, S.; Akram, S.; Mehmood, M.A.; Yeoh, G.H.; Hussain, S. Effect of micro-nano additives on breakdown, surface tracking and mechanical performance of ethylene propylene diene monomer for high voltage insulation. J. Mater. Sci. Mater. Electron. 2019, 30, 14061–14071. [Google Scholar] [CrossRef]
- Nazir, M.T.; Butt, F.T.; Phung, B.T.; Yeoh, G.H.; Yasin, G.; Akram, S.; Bhutta, M.S.; Hussain, S.; Nguyen, T.A. Simulation and Experimental Investigation on Carbonized Tracking Failure of EPDM/BN-Based Electrical Insulation. Polymers 2020, 12, 582. [Google Scholar] [CrossRef]
- Zhong, X.; Shakeel, A.; Yang, Y.; Gao, G.; Wu, G. Preparation and corona-resistance characteristics of double-layer polyimide/Al2O3 nanocomposite film. In Proceedings of the 2016 IEEE International Conference on High Voltage Engineering and Application (ICHVE), Chengdu, China, 19–22 September 2016; pp. 1–4. [Google Scholar]
- Butt, F.T.; Nazir, M.T.; Hussain, H.; Phung, B.T.; Akram, S.; Bhutta, M.S.; Yasin, G. Physical, thermal and partial discharge evaluation of nano alumina filled silicone rubber in inclined plane test. CSEE J. Power Energy Syst. 2020, 8, 1242–1249. [Google Scholar]
- Wang, P.; Hui, S.; Akram, S.; Zhou, K.; Nazir, M.T.; Chen, Y.; Dong, H.; Javed, M.S.; Haq, I.U. Influence of Repetitive Square Voltage Duty Cycle on the Electrical Tree Characteristics of Epoxy Resin. Polymers 2020, 12, 2215. [Google Scholar] [CrossRef]
- Gong, P.; Wang, D.L.; Zhang, C.; Wang, Y.; Jamili-Shirvan, Z. Corrosion behavior of TiZrHfBeCu(Ni) high-entropy bulk metallic glasses in 3.5 wt. % NaCl. NPJ Mater. Degrad. 2022, 9, 77. [Google Scholar] [CrossRef]
- Zhang, Z.Q.; Yang, F.; Zhang, H.W.; Zhang, T.G.; Wang, H.; Xu, Y.T.; Ma, Q. Influence of CeO2 addition on forming quality and microstructure of TiCx-reinforced CrTi4-based laser cladding composite coating. Mater. Charact. 2021, 1, 171. [Google Scholar]
- Sabzi, M.; Anijdan, S.H.M. Microstructural analysis and optical properties evaluation of sol-gel heterostructured NiO-TiO2 film used for solar panels. Ceram. Int. 2019, 45, 3250–3255. [Google Scholar] [CrossRef]
- Bhutta, M.S.; Yang, L.; Ma, Z.; Ahmad, J.; Mehmood, M.A. Influence of Polyhedral Oligomeric Silsesquioxane (POSS) on Space Charge Behavior and Trap Levels of XLPE/POSS nanocomposite. In Proceedings of the 2018 IEEE 2nd International Conference on Dielectrics (ICD), Budapest, Hungary, 1–5 July 2018; p. 4. [Google Scholar]
- Meng, P.; Wu, J.; Yang, X.; Hu, J.; He, J. Electrical properties of ZnO varistor ceramics modified by rare earth-yttrium and gallium dopants. Mater. Lett. 2018, 233, 20–23. [Google Scholar] [CrossRef]
- Bokobza, L. Multiwall carbon nanotube-filled natural rubber: Electrical and mechanical properties. Express Polym. Lett. 2012, 6, 213–223. [Google Scholar] [CrossRef]
- Ghorpade, R.V.; Rajan, C.R.; Chavan, N.N.; Ponrathnam, S. Synthesis of novel silica-polyimide nanocomposite films using aromatic-amino modified silica nanoparticles: Mechanical, thermal and morphological investigations. Express Polym. Lett. 2015, 9, 469–479. [Google Scholar] [CrossRef]
- Hu, J.; Gu, A.; Liang, G.; Zhuo, D.; Yuan, L. Preparation and properties of mesoporous silica/bismaleimide/diallylbisphenol composites with improved thermal stability, mechanical and dielectric properties. Express Polym. Lett. 2011, 5, 555–568. [Google Scholar] [CrossRef]
- Spoljaric, S.; Shanks, R.A. Novel elastomer dye-functionalised POSS nanocomposites: Enhanced colourimetric, thermomechanical and thermal properties. Express Polym. Lett. 2012, 6, 354–372. [Google Scholar] [CrossRef]
- Xing, Z.L.; Chen, W.H.; Li, Z.H.; Xue, N.F.; Li, F.; Dai, X.Y.; Guo, S.W.; Cui, H.Z. Study on High Frequency Surface Discharge Characteristics of SiO2 Modified Polyimide Film. Polymers 2021, 13, 4387. [Google Scholar] [CrossRef]
- Bhutta, M.S.; Akram, S.; Meng, P.F.; Castellon, J.; Agnel, S.; Li, H.; Guo, Y.C.; Rasool, G.; Hussain, S.; Nazir, M.T. Steady-State Conduction Current Performance for Multilayer Polyimide/SiO2 Films. Polymers 2021, 13, 640. [Google Scholar] [CrossRef]
- Bartolin, J.M.; Carney, T.E.; Dunbar, M.L. Corona Resistant Structures and Methods Relating Thereto. U.S. Patent Application No. US20130209769, 15 August 2013. [Google Scholar]











| Sample | Pure PI | 5 wt% | 10 wt% | 15 wt% | 
|---|---|---|---|---|
| Electrical aging threshold/(kV/mm) | 30.79 | 32.78 | 46.04 | 53.02 | 
| Sample | Pure PI | 5 wt% | 10 wt% | 15 wt% | 
|---|---|---|---|---|
| Corona resistance time (h) | 112.97 * | 962.95 * | 5790.65 | 7472.61 | 
| Publisher’s Note: MDPI stays neutral with regard to jurisdictional claims in published maps and institutional affiliations. | 
© 2022 by the authors. Licensee MDPI, Basel, Switzerland. This article is an open access article distributed under the terms and conditions of the Creative Commons Attribution (CC BY) license (https://creativecommons.org/licenses/by/4.0/).
Share and Cite
Chen, H.; Li, L.; Zhao, W.; Zhang, X.-R.; Weng, L. Corona Resistance Mechanism of Nano-Modified Polyimide. Polymers 2022, 14, 5469. https://doi.org/10.3390/polym14245469
Chen H, Li L, Zhao W, Zhang X-R, Weng L. Corona Resistance Mechanism of Nano-Modified Polyimide. Polymers. 2022; 14(24):5469. https://doi.org/10.3390/polym14245469
Chicago/Turabian StyleChen, Hao, Lin Li, Wei Zhao, Xiao-Rui Zhang, and Ling Weng. 2022. "Corona Resistance Mechanism of Nano-Modified Polyimide" Polymers 14, no. 24: 5469. https://doi.org/10.3390/polym14245469
APA StyleChen, H., Li, L., Zhao, W., Zhang, X.-R., & Weng, L. (2022). Corona Resistance Mechanism of Nano-Modified Polyimide. Polymers, 14(24), 5469. https://doi.org/10.3390/polym14245469
 
        


 
       