Toward the Decarbonization of Plastic: Monopolymer Blend of Virgin and Recycled Bio-Based, Biodegradable Polymer
Abstract
1. Introduction
2. Materials and Methods
2.1. Materials
2.2. Processing
2.3. Characterization
2.3.1. Rheological Characterization
2.3.2. Mechanical Characterization
2.3.3. Cross-Linking Investigation
2.4. Statistical Analysis
3. Results and Discussion
3.1. Characterization of Virgin and Recycled BF
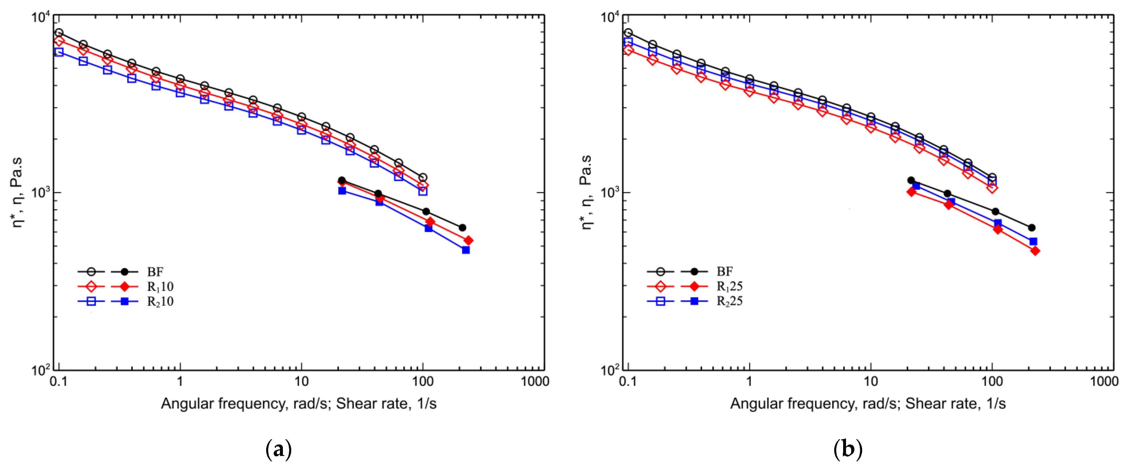
3.2. Characterization of the Monopolymer Blends
3.3. Additive Model
4. Conclusions
Author Contributions
Funding
Institutional Review Board Statement
Data Availability Statement
Conflicts of Interest
References
- Plastics Europe Plastics—The Facts 2019 an Analysis of European Plastics Production, Demand and Waste Data (2019). Available online: https://www.plasticseurope.org/it/resources/publications/1804-plastics-facts-2019 (accessed on 14 November 2022).
- Charles, D.; Kimman, L.; Saran, N. The Plastic Waste Maker Index. Revealing the Source of the Single-Use Plastics Crisis Minderoo Foundation. 2021. Available online: https://www.minderoo.org/plastic-waste-makers-index/ (accessed on 14 November 2022).
- Sudesh, K.; Iwata, T. Sustainability of Biobased and Biodegradable Plastics. CLEAN Soil Air Water 2008, 36, 433–442. [Google Scholar] [CrossRef]
- Vollmer, I.; Jenks, M.J.F.; Roelands, M.C.P.; White, R.J.; Harmelen, T.; Wild, P.; Laan, G.P.; Meirer, F.; Keurentjes, J.T.F.; Weckhuysen, B.M. Beyond Mechanical Recycling: Giving New Life to Plastic Waste. Angew. Chem. Int. Ed. 2020, 59, 15402–15423. [Google Scholar] [CrossRef] [PubMed]
- Helmes, R.J.K.; Goglio, P.; Salomoni, S.; van Es, D.S.; Vural Gursel, I.; Aramyan, L. Environmental Impacts of End-of-Life Options of Biobased and Fossil-Based Polyethylene Terephthalate and High-Density Polyethylene Packaging. Sustainability 2022, 14, 11550. [Google Scholar] [CrossRef]
- Hamad, K.; Kaseem, M.; Deri, F. Recycling of Waste from Polymer Materials: An Overview of the Recent Works. Polym. Degrad. Stab. 2013, 98, 2801–2812. [Google Scholar] [CrossRef]
- La Mantia, F.P. Polymer Mechanical Recycling: Downcycling or Upcycling? Prog. Rubber Plast. Recycl. Technol. 2004, 20, 11–24. [Google Scholar] [CrossRef]
- Andrews, G.D.; Subramanian, P.M.; American Chemical Society (Eds.) Emerging Technologies in Plastics Recycling; ACS symposium series; American Chemical Society: Washington, DC, USA, 1992; ISBN 978-0-8412-2499-5. [Google Scholar]
- La Mantia, F. (Ed.) Handbook of Plastics Recycling; Rapra Technology Limited: Shawbury, UK, 2002; ISBN 978-1-85957-325-9. [Google Scholar]
- Scheirs, J. Polymer Recycling: Science, Technology, and Applications; Wiley series in polymer science; Wiley: Chichester, UK; New York, NY, USA, 1998; ISBN 978-0-471-97054-5. [Google Scholar]
- Brandrup, J. (Ed.) Recycling and Recovery of Plastics; Hanser Publishers: Munich, Germany; Hanser/Gardner Publications: New York, NY, USA; Cincinnati, OH, USA, 1996; ISBN 978-3-446-18258-5. [Google Scholar]
- La Mantia, F.P.; Botta, L.; Mistretta, M.C.; Di Fiore, A.; Titone, V. Recycling of a Biodegradable Polymer Blend. Polymers 2020, 12, 2297. [Google Scholar] [CrossRef]
- Beltrán, F.R.; Gaspar, G.; Dadras Chomachayi, M.; Jalali-Arani, A.; Lozano-Pérez, A.A.; Cenis, J.L.; de la Orden, M.U.; Pérez, E.; Martínez Urreaga, J.M. Influence of Addition of Organic Fillers on the Properties of Mechanically Recycled PLA. Environ. Sci. Pollut. Res. 2021, 28, 24291–24304. [Google Scholar] [CrossRef]
- Beltrán, F.R.; Infante, C.; de la Orden, M.U.; Martínez Urreaga, J. Mechanical Recycling of Poly(Lactic Acid): Evaluation of a Chain Extender and a Peroxide as Additives for Upgrading the Recycled Plastic. J. Clean. Prod. 2019, 219, 46–56. [Google Scholar] [CrossRef]
- Barletta, M.; Aversa, C.; Puopolo, M. Recycling of PLA-based Bioplastics: The Role of Chain-extenders in Twin-screw Extrusion Compounding and Cast Extrusion of Sheets. J. Appl. Polym. Sci. 2020, 137, 49292. [Google Scholar] [CrossRef]
- Zembouai, I.; Bruzaud, S.; Kaci, M.; Benhamida, A.; Corre, Y.-M.; Grohens, Y. Mechanical Recycling of Poly(3-Hydroxybutyrate-Co-3-Hydroxyvalerate)/Polylactide Based Blends. J. Polym. Environ. 2014, 22, 449–459. [Google Scholar] [CrossRef]
- La Mantia, F.P.; Scaffaro, R.; Bastioli, C. Recycling of a Starch-Based Biodegradable Polymer. Macromol. Symp. 2002, 180, 133–140. [Google Scholar] [CrossRef]
- Marrone, M.; La Mantia, F.P. Monopolymers Blends of Virgin and Recycled Polypropylene. Polym. Recycl. 1996, 2, 9–15. [Google Scholar]
- Wenguang, M.; La Mantia, F.P. Processing and Mechanical Properties of Recycled PVC and of Homopolymer Blends with Virgin PVC. J. Appl. Polym. Sci. 1996, 59, 759–767. [Google Scholar] [CrossRef]
- Valenza, A.; La Mantia, F.P. Recycling of Polymer Waste: Part II—Stress Degraded Polypropylene. Polym. Degrad. Stab. 1988, 20, 63–73. [Google Scholar] [CrossRef]
- Wenguang, M.; La Mantia, F.P. Recycling of Post-Consumer Polyethylene Greenhouse Films: Monopolymer Blends of Recycled and Virgin Polyethylene. Polym. Netw. Blends 1995, 5, 173. [Google Scholar]
- Gregorova, A.; Riedl, E.; Sedlarik, V.; Stelzer, F. Effect of 4,4′-Methylenediphenyl Diisocyanate on Thermal and Mechanical Properties of Bioflex/Lactic Acid Polycondensate Blends: Effect of midi on Bioflex blends. Asia-Pac. J. Chem. Eng. 2012, 7, S317–S323. [Google Scholar] [CrossRef]
- Peters, S. Material Revolution. Sustainable and Multi-Purpose Materials for Design and Architecture; De Gruyter: Berlin, Germany, 2011; ISBN 978-3-0346-0663-9. [Google Scholar]
- La Mantia, F.P.; Mistretta, M.C.; Titone, V. An Additive Model to Predict the Rheological and Mechanical Properties of Polypropylene Blends Made by Virgin and Reprocessed Components. Recycling 2021, 6, 2. [Google Scholar] [CrossRef]
- Morreale, M.; Liga, A.; Mistretta, M.; Ascione, L.; Mantia, F. Mechanical, Thermomechanical and Reprocessing Behavior of Green Composites from Biodegradable Polymer and Wood Flour. Materials 2015, 8, 7536–7548. [Google Scholar] [CrossRef]
- Titone, V.; Correnti, A.; La Mantia, F.P. Effect of Moisture Content on the Processing and Mechanical Properties of a Biodegradable Polyester. Polymers 2021, 13, 1616. [Google Scholar] [CrossRef]
- Krishnamoorti, R.; Yurekli, K. Rheology of Polymer Layered Silicate Nanocomposites. Curr. Opin. Colloid Interface Sci. 2001, 6, 464–470. [Google Scholar] [CrossRef]
- Ren, J.; Krishnamoorti, R. Nonlinear Viscoelastic Properties of Layered-Silicate-Based Intercalated Nanocomposites. Macromolecules 2003, 36, 4443–4451. [Google Scholar] [CrossRef]
- Herschel, W.H.; Bulkley, R. Konsistenzmessungen von Gummi-Benzollösungen. Kolloid-Z 1926, 39, 291–300. [Google Scholar] [CrossRef]
- Shojaeiarani, J.; Bajwa, D.S.; Rehovsky, C.; Bajwa, S.G.; Vahidi, G. Deterioration in the Physico-Mechanical and Thermal Properties of Biopolymers Due to Reprocessing. Polymers 2019, 11, 58. [Google Scholar] [CrossRef] [PubMed]
- La Mantia, F.P.; Mistretta, M.C.; Titone, V. Rheological, Mechanical and Morphological Characterization of Monopolymer Blends Made by Virgin and Photo-Oxidized Polypropylene. Recycling 2021, 6, 51. [Google Scholar] [CrossRef]











| Name | Density, g/cm3 | Melting Temperature, °C | MFI, g/10 min | Weight-Average Molecular Weight, kD |
|---|---|---|---|---|
| Bio-Flex® F2110 | 1.27 | 153 | 6 a | 53 |
| Blend Name | BF, % | BFRE1, % | R1, % |
|---|---|---|---|
| R110 | 90 | 10 | - |
| R210 | 90 | - | 10 a |
| R125 | 75 | 25 | - |
| R225 | 75 | - | 25 b |
| Blend Name | BF, % | BFRE1, % | BFRE2, % |
|---|---|---|---|
| R110 | 90 | 10 | - |
| R210 | 90 | 9 | 1 |
| R125 | 75 | 25 | - |
| R225 | 75 | 18.75 | 6.25 |
| Name | E, MPa | TS, MPa | EB, % |
|---|---|---|---|
| BF | 123 ± 10 a | 10.8 ± 0.7 a | 121 ± 21 a |
| BFEXT | 134 ± 8.3 b | 10.1 ± 1.0 b | 103 ± 36 b |
| BFRE1 | 140 ± 12 c | 10.0 ± 0.9 b | 93.9 ± 24 c |
| BFRE2 | 144 ± 10 c | 9.8 ± 1.2 b | 72.8 ± 18 d |
| BF | R110 | R210 | R125 | R225 | |
|---|---|---|---|---|---|
| η* at 0.1 rad/s, Pa.s | 7927 | 7153 | 6169 | 6534 | 6836 |
| Name | E, MPa | TS, MPa | EB, % |
|---|---|---|---|
| BF | 123.0 ± 10 a | 10.8 ± 0.7 a | 121 ± 21 a |
| R110 | 132.7 ± 2.1 b | 10.0 ± 0.4 b | 108 ± 9.1 b |
| R210 | 134.7 ± 3.1 c | 9.78 ± 0.2 c | 104 ± 9.7 c |
| R125 | 135.8 ± 4.7 d | 9.74 ± 0.6 d | 99 ± 14 d |
| R225 | 136.3 ± 2.4 c | 9.79 ± 0.6 d | 92 ± 4.7 e |
Publisher’s Note: MDPI stays neutral with regard to jurisdictional claims in published maps and institutional affiliations. |
© 2022 by the authors. Licensee MDPI, Basel, Switzerland. This article is an open access article distributed under the terms and conditions of the Creative Commons Attribution (CC BY) license (https://creativecommons.org/licenses/by/4.0/).
Share and Cite
Titone, V.; Mistretta, M.C.; Botta, L.; La Mantia, F.P. Toward the Decarbonization of Plastic: Monopolymer Blend of Virgin and Recycled Bio-Based, Biodegradable Polymer. Polymers 2022, 14, 5362. https://doi.org/10.3390/polym14245362
Titone V, Mistretta MC, Botta L, La Mantia FP. Toward the Decarbonization of Plastic: Monopolymer Blend of Virgin and Recycled Bio-Based, Biodegradable Polymer. Polymers. 2022; 14(24):5362. https://doi.org/10.3390/polym14245362
Chicago/Turabian StyleTitone, Vincenzo, Maria Chiara Mistretta, Luigi Botta, and Francesco Paolo La Mantia. 2022. "Toward the Decarbonization of Plastic: Monopolymer Blend of Virgin and Recycled Bio-Based, Biodegradable Polymer" Polymers 14, no. 24: 5362. https://doi.org/10.3390/polym14245362
APA StyleTitone, V., Mistretta, M. C., Botta, L., & La Mantia, F. P. (2022). Toward the Decarbonization of Plastic: Monopolymer Blend of Virgin and Recycled Bio-Based, Biodegradable Polymer. Polymers, 14(24), 5362. https://doi.org/10.3390/polym14245362

