Effect of Nucleating Agents Addition on Thermal and Mechanical Properties of Natural Fiber-Reinforced Polylactic Acid Composites
Abstract
1. Introduction
2. Experiment
2.1. Materials
2.2. Specimen Preparation
2.3. Measurement Methods
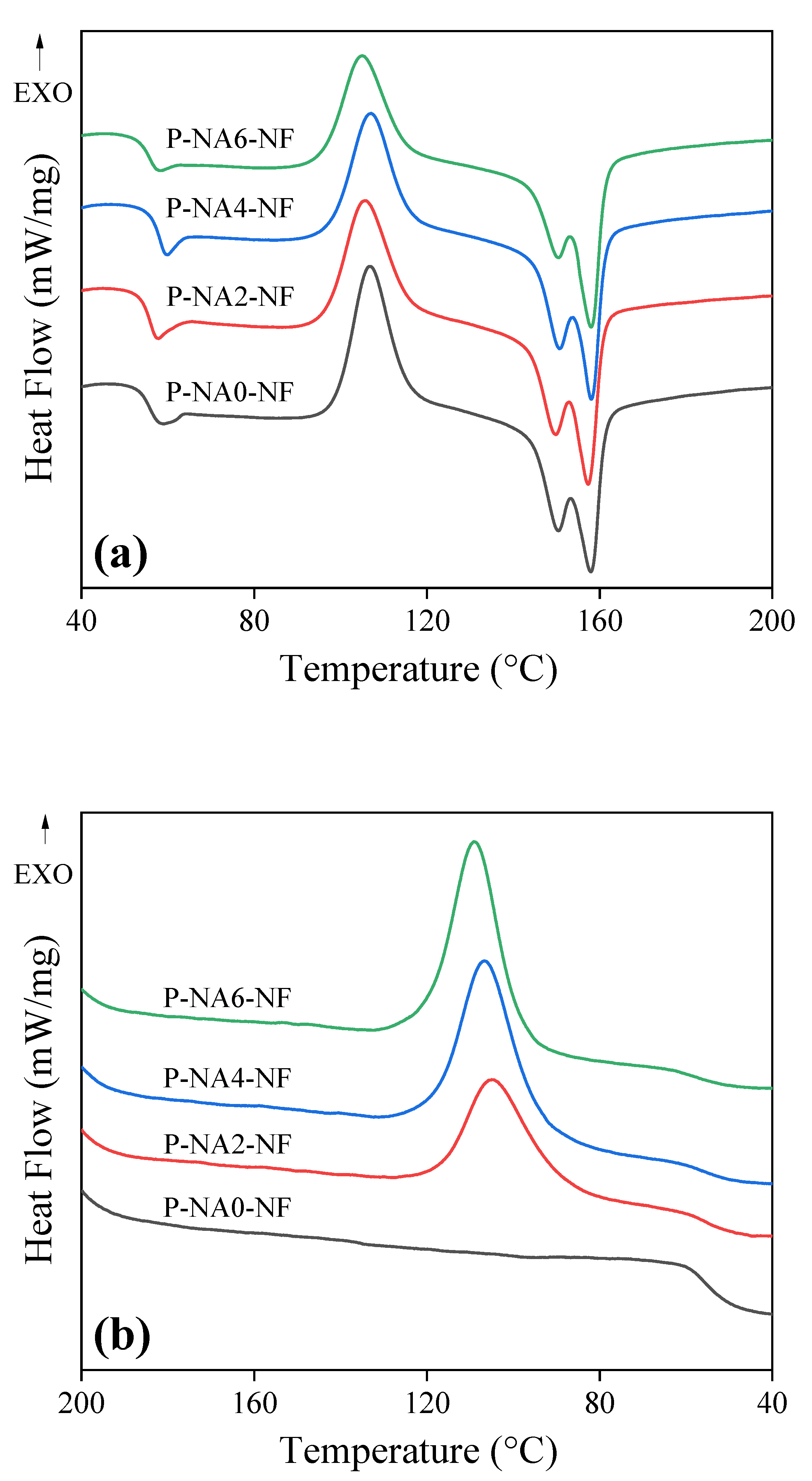
3. Results and Discussion
3.1. Thermal Properties and Crystallinity after the Addition of NA
3.2. Modulus of Elasticity after the Addition of NA
4. Conclusions
Supplementary Materials
Author Contributions
Funding
Institutional Review Board Statement
Informed Consent Statement
Data Availability Statement
Acknowledgments
Conflicts of Interest
References
- Rebelo, R.C.; Gonçalves, L.P.C.; Fonseca, A.C.; Fonseca, J.; Rola, M.; Coelho, J.F.J.; Rola, F.; Serra, A.C. Increased degradation of PLA/PBAT blends with organic acids and derivatives in outdoor weathering and marine environment. Polymer 2022, 256, 125223. [Google Scholar] [CrossRef]
- Juliana, M.; da Silva, F.; Soares, B.G. Epoxidized cardanol-based prepolymer as promising biobased compatibilizing agent for PLA/PBAT blends. Polym. Test. 2021, 93, 106889. [Google Scholar]
- Chen, W.; Qi, C.; Li, Y.; Tao, H. The degradation investigation of biodegradable PLA/PBAT blend: Thermal stability, mechanical properties and PALS analysis. Radiat. Phys. Chem. 2021, 180, 109239. [Google Scholar]
- Aliotta, L.; Cinelli, P.; Coltelli, M.B.; Righetti, M.C.; Gazzano, M.; Lazzeri, A. Effect of nucleating agents on crystallinity and properties of poly (lactic acid) (PLA). Eur. Polym. J. 2017, 93, 822–832. [Google Scholar] [CrossRef]
- Bouzouita, A.; Notta-Cuvier, D.; Raquez, J.M.; Lauro, F.; Dubois, P. Poly(lactic acid)-Based Materials for Automotive Applications. Industrial Applications of Poly (lactic acid); Lorenzo, M.L.D., Androsch, R., Eds.; Springer: Berlin, Germany, 2018; Volume 282, pp. 177–219. [Google Scholar]
- Feng, Y.; Ma, P.; Xu, P.; Wang, R.; Dong, W.; Chen, M.; Joziasse, C. The crystallization behavior of poly(lactic acid) with different types of nucleating agents. Int. J. Biol. Macromol. 2018, 106, 955–962. [Google Scholar] [CrossRef]
- Vroman, I.; Tighzert, L. Biodegradable Polymers. Materials 2009, 2, 307. [Google Scholar] [CrossRef]
- Vahabi, H.; Shabanian, M.; Aryanasab, F.; Laoutid, F.; Benali, S.; Saeb, M.R.; Seidi, F.; Kandola, B.K. Three in one: β-cyclodextrin, nanohydroxyapatite, and a nitrogen-rich polymer integrated into a new flame retardant for poly (lactic acid). Fire Mater. 2018, 42, 593–602. [Google Scholar] [CrossRef]
- Bulatović, V.O.; Mandić, V.; Grgić, D.K.; Ivančić, A. Biodegradable polymer blends based on thermoplastic starch. J. Polym. Environ. 2021, 29, 492–508. [Google Scholar] [CrossRef]
- Vahabi, H.; Rad, E.R.; Parpaite, T.; Langlois, V.; Saeb, M.R. Biodegradable polyester thin films and coatings in the line of fire: The time of polyhydroxyalkanoate (PHA)? Prog. Org. Coat. 2019, 133, 85–89. [Google Scholar] [CrossRef]
- Zhao, X.; Liu, J.; Li, J.; Liang, X.; Zhou, W.; Peng, S. Strategies and techniques for improving heat resistance and mechanical performances of poly(lactic acid) (PLA) biodegradable materials. Int. J. Biol. Macromol. 2022, 218, 115–134. [Google Scholar] [CrossRef]
- Conn, R.E.; Kolstad, J.J.; Borzelleca, J.F.; Dixler, D.S.; Filer, L.J.; Ladu, B.N.; Pariza, M.W. Safety assessment of polylactide (PLA) for use as a food-contact polymer. Food Chem. Toxicol. 1995, 33, 273–283. [Google Scholar] [CrossRef]
- Liu, H.; Slamovich, E.B.; Webster, T.J. Less harmful acidic degradation of poly(lactic-co-glycolic acid) bone tissue engineering scaffolds through titania nanoparticle addition. Int. J. Nanomed. 2006, 1, 541–545. [Google Scholar] [CrossRef] [PubMed]
- Inkinen, S.; Hakkarainen, M.; Albertsson, A.C.; Södergård, A. From lactic acid to poly (lactic acid) (PLA): Characterization and analysis of PLA and its precursors. Biomacromolecules 2011, 12, 523–532. [Google Scholar] [CrossRef]
- Lipsa, R.; Tudorachi, N.; Darie-Nita, R.N.; Oprică, L.; Vasile, C.; Chiriac, A. Biodegradation of poly (lactic acid) and some of its based systems with trichoderma viride. Int. J. Biol. Macromol. 2016, 88, 515–526. [Google Scholar] [CrossRef]
- Leja, K.; Lewandowicz, G. Polymer biodegradation and biodegradable polymers—A review. Pol. J. Environ. Stud. 2010, 19, 255–266. [Google Scholar]
- Gisha, E.; Pillai, C.K.S. Biodegradable polymers-a review on recent trends and emerging perspectives. J. Polym. Environ. 2011, 19, 637–676. [Google Scholar]
- Carrasco, F.; Pagès, P.; Gámez-Pérez, J.; Santana, O.O.; Maspoch, M.L. Processing of poly (lactic acid): Characterization of chemical structure, thermal stability and mechanical properties. Polym. Degrad. Stab. 2010, 95, 116–125. [Google Scholar] [CrossRef]
- Kawai, T.; Rahman, N.; Matsuba, G.; Nishida, K.; Kanaya, T.; Nakano, M.; Okamoto, H.; Kawada, J.; Usuki, A.; Honma, N.; et al. Crystallization and melting behavior of poly (L-lactic acid). Macromolecules 2007, 40, 9463–9469. [Google Scholar] [CrossRef]
- Johari, A.P.; Kurmvanshi, S.K.; Mohanty, S.; Nayak, S.K. Influence of surface modified cellulose microfibrils on the improved mechanical properties of poly (lactic acid). Int. J. Biol. Macromol. 2016, 84, 329–339. [Google Scholar] [CrossRef] [PubMed]
- Schäfer, H.; Pretschuh, C.; Brüggemann, O. Reduction of cycle times in injection molding of PLA through bio-based nucleating agents. Eur. Polym. J. 2019, 115, 6–11. [Google Scholar] [CrossRef]
- Mallegni, N.; Phuong, T.V.; Coltelli, M.-B.; Cinelli, P.; Lazzeri, A. Poly(lactic acid) (PLA) based tear resistant and biodegradable flexible films by blown film extrusion. Mater. 2018, 11, 148. [Google Scholar] [CrossRef] [PubMed]
- Simmons, H.; Tiwary, P.; Colwell, J.E.; Kontopoulou, M. Improvements in the crystallinity and mechanical properties of PLA by nucleation and annealing. Polym. Degrad. Stab. 2019, 166, 248–257. [Google Scholar] [CrossRef]
- Harris, A.M.; Lee, E.C. Improving mechanical performance of injection molded PLA by controlling crystallinity. J. Appl. Polym. Sci. 2007, 107, 2246–2255. [Google Scholar] [CrossRef]
- Ma, P.; Jiang, L.; Xu, P.; Dong, W.; Chen, M.; Lemstra, P.J. Rapid stereocomplexation between enantiomeric comb-shaped cellulose-g-poly (l-lactide) nanohybrids and poly (d-lactide) from the melt. Biomacromolecules 2015, 16, 3723–3729. [Google Scholar] [CrossRef]
- Li, H.; Huneault, M.A. Effect of nucleation and plasticization on the crystallization of poly (lactic acid). Polymer 2007, 48, 6855–6866. [Google Scholar] [CrossRef]
- Nagarajan, V.; Mohanty, A.K.; Misra, M. Crystallization behavior and morphology of polylactic acid (PLA) with aromatic sulfonate derivative. J. Appl. Polym. Sci. 2016, 133, 43673. [Google Scholar] [CrossRef]
- Jian, X.Y.; An, X.-P.; Li, Y.-D.; Chen, J.-H.; Wang, M.; Zeng, J.-B. All plant oil derived epoxy thermosets with excellent comprehensive properties. Macromolecules 2017, 50, 5729–5738. [Google Scholar] [CrossRef]
- Oguz, O.; Bilge, K.; Simsek, E.; Citak, M.K.; Wis, A.A.; Ozkoc, G.; Menceloglu, Y.Z. High-performance green composites of poly(lactic acid) and waste cellulose fibers prepared by high-shear thermokinetic mixing. Ind. Eng. Chem. Res. 2017, 56, 8568–8579. [Google Scholar] [CrossRef]
- Nagarajan, V.; Zhang, K.; Misra, M.; Mohanty, A.K. Overcoming the fundamental challenges in improving the impact strength and crystallinity of PLA biocomposites: Influence of nucleating agent and mold temperature. ACS Appl. Mater. Interfaces 2015, 7, 11203–11214. [Google Scholar] [CrossRef]
- Khwanpipat, T.; Seadan, M.; Suttiruengwong, S. Effect of PDLA and amide compounds as mixed nucleating agent on crystallization behaviors of poly (L-lactic acid). Materials 2018, 11, 1139. [Google Scholar] [CrossRef]
- Barczewski, M.; Mysiukiewiez, O.; Matykiewiez, D.; Skórczewska, K.; Lewandowski, K.; Andrzejewski, J.; Piasecki, A. Development of polylactide composites with improved thermomechanical properties by simultaneous use basalt powder and a nucleating agent. Polym. Compos. 2020, 41, 2947–2957. [Google Scholar] [CrossRef]
- Tabi, T.; Ageyeva, T.; Kovacs, J.G. Improving the ductility and heat deflection temperature of injection molded poly(lactic acid) products: A comprehensive review. Polym. Test. 2021, 101, 107282. [Google Scholar] [CrossRef]
- Wang, Y.; Liang, L.; Du, Z.; Wang, Y.; Liu, C.; Shen, C. Biodegradable PLA/CNTs/Ti3C2Tx MXene nanocomposites for efficient electromagnetic interference shielding. J. Mater. Sci. Mater. Electron. 2021, 32, 25952–25962. [Google Scholar] [CrossRef]
- Doyle, C.D. Estimating thermal stability of experimental polymers by empirical thermogravimetric Analysis. Anal. Chem. 1961, 33, 77–79. [Google Scholar] [CrossRef]
- Park, S.J.; Kim, H.C.; Park, P.K. Studies on the thermal stability and electrical properties of conductive acetylene black/high density polyethylene composites. Text. Sci. Eng. 2001, 38, 14–20. [Google Scholar]
- Yin, Y.; Zhang, X.; Song, Y.; Vos, S.D.; Wang, R.; Joziasse, C.A.P.; Liu, G.; Wang, D. Effect of nucleating agents on strain-induced crystallization of poly(L-lactide). Polymer 2015, 65, 223–232. [Google Scholar] [CrossRef]
- Aliotta, L.; Sciara, L.M.; Cinelli, P.; Canesi, I.; Lazzeri, A. Improvement of the PLA crystallinity and heat distortion temperature optimizing the content of nucleating agents and the injection molding cycle time. Polymers 2022, 14, 977. [Google Scholar] [CrossRef]








| Samples | PLA (wt.%) | NA (phr) | NF (wt.%) |
|---|---|---|---|
| P-NA0-NF | 80 | 0 | 20 |
| P-NA2-NF | 80 | 2 | 20 |
| P-NA4-NF | 80 | 4 | 20 |
| P-NA6-NF | 80 | 6 | 20 |
| Samples | 1stTm (°C) | 2ndTm (°C) | ΔHm (J/g) | Tmc (°C) | 1stTcc (°C) | 2ndTcc (°C) | ΔHcc (J/g) | Xc (%) |
|---|---|---|---|---|---|---|---|---|
| P-NA0-NF | 150.4 /158.0 | 150.6 /157.1 | 34.16 | - | 106.9 | 112.7 | 29.58 | 6.11 |
| P-NA2-NF | 149.9 /157.4 | 150.6 /156.9 | 32.93 | 105.0 | 105.8 | 105.3 | 7.733 | 33.61 |
| P-NA4-NF | 150.6 /158.0 | 151.5 /157.2 | 34.05 | 106.7 | 107.1 | - | - | 44.31 |
| P-NA6-NF | 150.5 /158.1 | 151.3 /157.0 | 33.33 | 109.2 | 105.1 | - | - | 44.46 |
| Sample Name | IDT (°C) | Tmax (°C) | A*·K* | IPDT (°C) |
|---|---|---|---|---|
| P-NA0-NF | 414.48 | 351 | 0.581 | 374.20 |
| P- NA2-NF | 494.88 | 369 | 0.603 | 380.86 |
| P- NA4-NF | 561.54 | 370 | 0.622 | 386.69 |
| P- NA6-NF | 626.92 | 372 | 0.635 | 390.45 |
Publisher’s Note: MDPI stays neutral with regard to jurisdictional claims in published maps and institutional affiliations. |
© 2022 by the authors. Licensee MDPI, Basel, Switzerland. This article is an open access article distributed under the terms and conditions of the Creative Commons Attribution (CC BY) license (https://creativecommons.org/licenses/by/4.0/).
Share and Cite
Yang, J.-Y.; Kim, D.-K.; Han, W.; Park, J.-Y.; Kim, K.-W.; Kim, B.-J. Effect of Nucleating Agents Addition on Thermal and Mechanical Properties of Natural Fiber-Reinforced Polylactic Acid Composites. Polymers 2022, 14, 4263. https://doi.org/10.3390/polym14204263
Yang J-Y, Kim D-K, Han W, Park J-Y, Kim K-W, Kim B-J. Effect of Nucleating Agents Addition on Thermal and Mechanical Properties of Natural Fiber-Reinforced Polylactic Acid Composites. Polymers. 2022; 14(20):4263. https://doi.org/10.3390/polym14204263
Chicago/Turabian StyleYang, Jae-Yeon, Dong-Kyu Kim, Woong Han, Jong-Yeon Park, Kwan-Woo Kim, and Byung-Joo Kim. 2022. "Effect of Nucleating Agents Addition on Thermal and Mechanical Properties of Natural Fiber-Reinforced Polylactic Acid Composites" Polymers 14, no. 20: 4263. https://doi.org/10.3390/polym14204263
APA StyleYang, J.-Y., Kim, D.-K., Han, W., Park, J.-Y., Kim, K.-W., & Kim, B.-J. (2022). Effect of Nucleating Agents Addition on Thermal and Mechanical Properties of Natural Fiber-Reinforced Polylactic Acid Composites. Polymers, 14(20), 4263. https://doi.org/10.3390/polym14204263

